Đề thi thử THPT Quốc gia 2025 môn Hóa bám sát đề minh họa - Đề 5
Thi THPT Quốc gia 2025
Lớp:
THPT Quốc gia
Môn:
Hóa Học
Dạng tài liệu:
Đề thi
Loại:
Tài liệu Lẻ
Loại File:
Word + PDF
Phân loại:
Tài liệu Tính phí

BÁM SÁT ĐỀ MINH HỌA
KỲ THI TỐT NGHIỆP THPT QUỐC GIA NĂM 2025
Bài thi môn: HÓA HỌC
ĐỀ 5
Thời gian làm bài: 50 phút, không kể thời gian phát đề
Cho biết nguyên tử khối: H = 1, C = 12, N = 14, O = 16, Na = 23, Mg = 24, Al = 27, S = 32, K = 39, Ca =
40, Fe = 56, Cu = 64, Zn = 65, Ag = 108.
PHẦN I. Thí sinh trả lời từ câu 1 đến câu 18 . Mỗi câu hỏi thí sinh chỉ chọn một phương án.
Câu 1. Phát biểu nào dưới đây không đúng?
A. Bản chất của ăn mòn kim loại là quá trình oxi hoá - khử.
B. Nguyên tắc chung để điều chế kim loại là khử ion kim loại thành nguyên tử kim loại.
C. Ăn mòn hoá học có phát sinh dòng điện.
D. Tính chất hoá học đặc trưng của kim loại là tính khử.
Câu 2. Dolomite là một trong những thành phần không thể thiếu được trong lĩnh vực chăn nuôi thủy sản,
đặc biệt là nuôi tôm. Thành phần chính của dolomite bao gồm muối calcium carbonate và muối X. Tên gọi
của muối X là
A. magnesium hydroxide. B. magnesium carbonate. C. sodium carbonate. D. calcium sulfate.
Câu 3. Polymer nào sau đây được tổng hợp bằng phương pháp trùng ngưng?
A. Poly(ethylene terephtalate). B. Polyethylene.
C. Poly(vinyl chloride). D. Polyacrylonitrile.
Câu 4. Phát biểu nào sau đây là đúng?
A. Trong mạng tinh thể kim loại, các electron hóa trị tự do chuyển động theo một chiều hướng xác định.
B. Khi áp một hiệu điện thế vào thanh kim loại thì các electron tự do trong mạng tinh thể kim loại
chuyển động thành dòng, có hướng từ cực âm sang cực dương.
C. Liên kết kim loại giống với liên kết cộng hóa trị ở số electron dùng chung.
D. Ở điều kiện thường, thủy ngân không có cấu trúc tinh thể nên không dẫn điện.
Câu 5. Nguyên tố X là nguyên tố thuộc nhóm kim loại kiềm thổ. Cấu hình của X có tổng số electron các
phân lớp p là 12. Nguyên tố X là nguyên tố nào sau đây?
A. Mg. B. Ba. C. Be. D. Ca.
Câu 6. Chất nào sau đây không dùng để làm mềm nước cứng tạm thời?
A. Na
2
CO
3
B.
NaOH
C.
Na
3
PO
4
D.
NaNO
3
Câu 7. Trong tự nhiên, khí sulfur dioxide (SO
2
) được phát sinh từ nhiều nguồn như hoạt động của núi lửa,
cháy rừng. Ngoài ra, tại các thành phố lớn với mật độ phương tiện giao thông cao, các khí SO
2
, NO
x
, … có
thể phát ra đáng kể từ khói thải của các phương tiện này. Để hiểu rõ hơn về nồng độ SO
2
tại các khu vực
khác nhau, một nghiên cứu đã được tiến hành để đo nồng độ khí SO
2
tại hai vùng A và B trong vòng 10
ngày. (Lưu ý: cả hai vùng này không có nhà máy công nghiệp đốt nhiên liệu hóa thạch và không ở vùng có
núi lửa hoạt động).

Phát biểu nào sau đây là không đúng?
A. Vùng A có nhiều phương tiện giao thông hơn vùng B.
B. Ngày thứ 6 tại vùng B có thể đã xảy ra cháy rừng.
C. Trong suốt khoảng thời gian khảo sát, vùng A có mức nồng độ SO
2
trung bình cao hơn vùng B.
D. Nguy cơ xuất hiện mưa acid ở vùng B lớn hơn vùng A.
Câu 8. Phân bón nào sau đây khi bón cho cây trồng có thể làm đất bị chua?
A. Potassium chloride. B. Potassium carbonate
C. Potassium nitrate. D. Urea
Câu 9. Phổ khối lượng (MS) là phương pháp hiện đa
̣
i để xác định phân tử khối của các hợp chất hữu cơ.
Kết quả phân tích phổ khối lượng cho thấy phân tử khối của hợp chất hữu cơ X là 74. Chất X có thể là
A. acetic acid. B. methyl acetate. C. acetone. D. trimethylamine.
Câu 10. Hợp chất Y có công thức phân tử C
4
H
8
O
2
. Khi cho Y tác dụng với dung dịch NaOH sinh ra chất
Z có công thức C
3
H
5
O
2
Na. Công thức cấu tạo của Y là
A. CH
3
COOC
2
H
5
. B. HCOOC
3
H
7
. C. C
2
H
5
COOCH
3
. D. C
2
H
5
COOC
2
H
5
.
Câu 11. Amine nào sau đây ở trạng thái lỏng ở nhiệt độ thường?
A. Methylamine. B. Ethylamine. C. Dimethylamine. D. Aniline.
Câu 12. Phần trăm khối lượng của nguyên tố oxygen trong 1 phân tử glucose là
A. 44,41%. B. 53,33%. C. 51,46%. D. 49,38%.
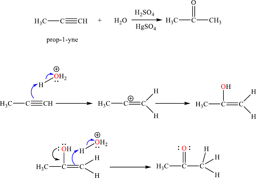
Câu 13. Phương trình hoá học cộng nước theo tỷ lệ 1: 1 của prop-1-yne có xúc tác là
Phản ứng trên diễn ra theo 2 giai đoạn được mô tả như sau:
Giai đoạn 1.
Giai đoạn 2.
Nhận định nào sau đây đúng?
A. Trong giai đoạn (1) sẽ bẻ gãy 2 liên kết π trong phân tử propyne.
B. Trong giai đoạn (1) sẽ hình thành liên kết π giữa C và O.
C. Trong giai đoạn (2) có sự hình thành liên kết σ giữa C với oxygen và hydrogen.
D. Giai đoạn 2 là giai đoạn chuyển liên kết C=C thành liên kết C=O.
Câu 14. Tên gọi của ester có công thức cấu tạo thu gọn CH
3
COOCH=CH
2
là
A. vinyl acetate. B. methyl formate. C. methyl acrylate. D. ethyl formate.
Câu 15. Leucine có công thức cấu tạo HOOCCH(NH
2
)CH
2
CH(CH
3
)
2
, là α-amino acid có khả năng điều
hoà sự tổng hợp protein của cơ thể. Tên theo danh pháp thay thế của leucine là

A. 2-aminoisohexanoic acid. B. 2-amino-4-methylpentanoic acid.
C. 4-amino-2-methylpentanoic acid. D. 2-amino-isohexanoic acid.
Câu 16. Alanine và glutamic acid tồn tại trong môi trường pH như sau:
pH
6,00
3,22
Dạng tồn tại
Cho các nhận định sau:
(a) Trong môi trường pH = 10, glutamic acid bị di chuyển về phía cực dương của điện trường.
(b) Trong môi trường pH = 10, alanine tồn tại chủ yếu dưới dạng anion.
(c) Trong môi trường pH = 6, glutamic acid tồn tại dưới dạng cation.
(b) Trong môi trường pH = 2, alanine bị di chuyển về phía cực âm của điện trường.
Số nhận định sai là
A. 1. B. 2. C. 3. D. 4.
Cho biết giá trị thế điện cực chuẩn của các cặp oxi hoá - khử sau:
Cặp oxi hoá – khử
2+
Zn /Zn
2+
Ni /Ni
+
2
2H /H
2+
Cu /Cu
3+ 2+
Fe /Fe
0
oxh/kh
E
(V)
0,763
0,257
0
0,340
0,771
Dựa vào bảng số liêu trên hãy trả lời câu 17, 18 sau đây.
Câu 17. Kim loại copper (Cu) có thể bị hoà tan trong dung dịch nào sau đây?
A. Dung dịch HCl 1 M. B. Dung dịch ZnCl
2
1 M.
C. Dung dịch NiCl
2
1 M. D. Dung dịch FeCl
3
1 M.
Câu 18. Sức điện động chuẩn của pin điện hoá Zn-Cu là
A. 0,920 V. B. 1,443 V. C. 0,423 V. D. 1,103 V.
PHẦN II. Thí sinh trả lời từ câu 1 đến câu 4 . Trong mỗi ý a), b), c), d) ở mỗi câu, thí sinh chọn đúng
hoặc sai.
Câu 1. Nhúng thanh Cu tinh khiết có khối lượng là m
1
(gam) vào dung dịch iron(III) chloride, sau một thời
gian, lấy thanh Cu ra cân lại thấy khối lượng là m
2
(gam). Cho các phát biểu sau:
a. Thí nghiệm trên có xảy ra ăn mòn điện hóa học.
b. Giá trị của m
2
lớn hơn m
1
.
c. Trên bề mặt thanh Cu có một lớp kim loại Fe bám vào.
d. Phương trình phản ứng xảy ra là: 3Cu
(s)
+ 2Fe
2+
(aq)
→ 2Fe
(s)
+3Cu²
+
(aq)
.
Câu 2. Salicin là một thuốc chống viêm được sản xuất từ vỏ cây liễu. Công thức cấu tạo của Salicin cho
dưới đây:
Về mặt hóa học, salicin có quan hệ gần gũi với aspirin và cũng có tác dụng tương tự trên cơ thể
người. Khi dùng, nó được chuyển hóa thành salicylic acid theo phản ứng sau :
Đề thi thử bám sát đề minh họa 2025 môn Hóa - Đề 5
Đề thi thử THPT Quốc gia 2025 môn Hóa bám sát đề minh họa - Đề 5 có đáp án tài liệu hữu ích giúp bạn đọc có thể trau dồi, luyện tập nội dung kiến thức để chuẩn bị thật tốt cho kì Thi THPT Quốc gia sắp tới nhé.
Đề được tổng hợp gồm có 18 câu hỏi trắc nghiệm nhiều phương án lựa chọn, 4 câu hỏi trắc nghiệm đúng sai và 6 câu hỏi trắc nghiệm trả lời ngắn. Thí sinh làm bài trong thời gian 50 phút, đề có đáp án và lời giải chi tiết kèm theo. Mời các bạn cùng theo dõi đề thi dưới đây.