Đề thi thử tốt nghiệp THPT 2025 môn Hóa lần 2 trường THPT Hải Lăng, Quảng Trị
Thi THPT Quốc gia 2025
Lớp:
THPT Quốc gia
Môn:
Hóa Học
Dạng tài liệu:
Đề thi
Loại:
Tài liệu Lẻ
Loại File:
Word + PDF
Phân loại:
Tài liệu Tính phí

Trang 1/7 - Mã đề 0001
TRƯỜNG THPT HẢI LĂNG
ĐỀ CHÍNH THỨC
(Đề thi có 06 trang)
KỲ THI KHẢO SÁT CHẤT LƯỢNG LẦN 2
NĂM HỌC 2024-2025
BÀI KHẢO SÁT MÔN: HÓA HỌC
Thời gian: 50 phút (Không kể thời gian phát đề)
Họ và tên thí sinh: ………………………………………………………; SBD:………………
Mã đề: 0001
Cho nguyên tử khối của một số nguyên tố: H = 1; C = 12; N = 14; O = 16; Na = 23; Mg = 24; Al = 27; P = 31;
S = 32; Cl = 35,5; K = 39; Ca = 40; Fe = 56; Cu = 64; Zn = 65; Br = 80; Ag = 108; Ba = 137.
Giả thiết các khí sinh ra không tan trong nước.
PHẦN I. Câu hỏi trắc nghiệm nhiều phương án lựa chọn: Thí sinh trả lời từ câu 1 đến câu 18. Mỗi
câu hỏi thí sinh chỉ chọn một phương án.
Câu 1: Công thức phân tử của dimethylamine là
A. C
2
H
6
N
2
. B. C
2
H
8
N
2
. C. C
4
H
11
N. D. C
2
H
7
N.
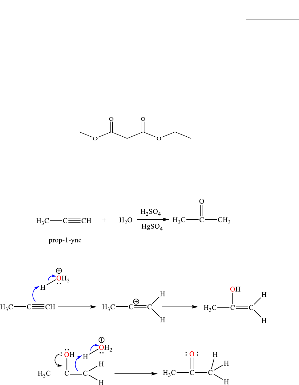
Câu 2: Cho sơ đồ chuyển hóa sau:
X
(l)
+2NaOH
(aq)
CH₂(COONa)
2(aq)
+ CH
3
OH
(aq)
+ C
2
H
5
OH
(aq)
Nhận xét nào sau đây sai về chất (X)?
A. Công thức cấu tạo của (X) là:
B. (X) là ester no có hai nhóm chức có công thức phân tử C
6
H
10
O
4
C. Tên của X là ethyl methyl malonate.
D. (X) có nhiệt độ sôi cao vì có liên kết hydrogen giữa các phân tử.
Câu 3: Thành phần chính của phân urea là hợp chất nào sau đây?
A. (NH
2
)
2
CO. B. NH
3
. C. (NH
4
)
2
SO
4
. D. (NH
4
)
2
HPO
4
.
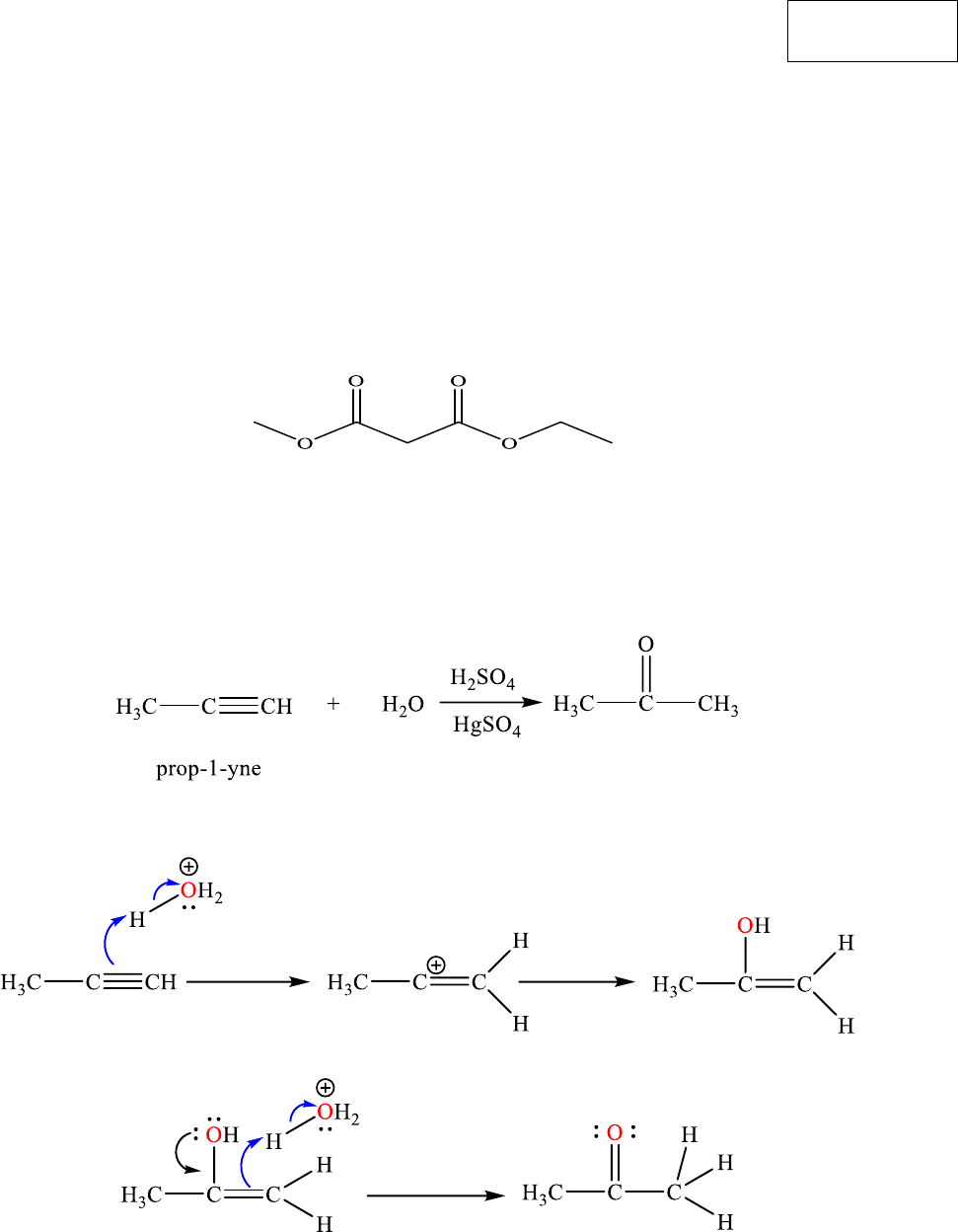
Câu 4: Phương trình hoá học cộng nước theo tỷ lệ 1: 1 của prop-1-yne có xúc tác là
Phản ứng trên diễn ra theo 2 giai đoạn được mô tả như sau:
Giai đoạn 1.
Giai đoạn 2.
Nhận định nào sau đây đúng?
A. Giai đoạn 2 là giai đoạn chuyển liên kết C=C thành liên kết C=O.
B. Trong giai đoạn (1) sẽ hình thành liên kết π giữa C và O.
C. Trong giai đoạn (1) sẽ bẻ gãy 2 liên kết π trong phân tử propyne.

Trang 2/7 - Mã đề 0001
D. Trong giai đoạn (2) có sự hình thành liên kết σ giữa C với oxygen và hydrogen.
Câu 5: Cho biết số thứ tự của Mg trong bảng tuần hoàn là 12. Vị trí của Mg trong bảng tuần hoàn là
A. chu kì 3, nhóm IIA. B. chu kì 3, nhóm IIIA.
C. chu kì 3, nhóm IIIB. D. chu kì 2, nhóm IIB.
Câu 6: Leucine là một amino acid thiết yếu (tức là cơ thể người không tổng hợp được mà phải lấy từ thức
ăn). Leucine là loại amino acid duy nhất có khả năng điều hòa sự tổng hợp protein của cơ, là amino acid
quan trọng nhất trong việc rèn luyện cơ bắp, leucine còn được biết đến là thành phần cơ bản trong các thực
phẩm bổ xung chế độ ăn kiêng. Leucine có CTCT như sau: (CH
3
)
2
CHCH
2
CH(NH
2
)COOH
Chọn phát biểu sai về Leucine trong các phát biểu sau?
A. Leucine có CTPT C
6
H
13
O
2
N.
B. Leucine là một loại amino acid mà cơ thể người không tự tổng hợp được, đóng vai trò quan trọng trong
việc phát triển cơ bắp ở người.
C. Ở pH = 3, Leucine tồn tại ở dạng anion và sẽ di chuyển về cực dương trong điện trường.
D. Leucine là một loại amino acid.
Câu 7: Xà phòng hóa ester X có công thức phân tử C
4
H
8
O
2
bằng dung dịch NaOH dư thu được muối Y và
alcohol Z (bậc II). Công thức cấu tạo thu gọn của X là
A. CH
3
CH
2
COOCH
3
. B. HCOOCH
2
CH
2
CH
3
.
C. CH
3
COOC
2
H
5
. D. HCOOCH(CH
3
)
2
.
Câu 8: Cho phương trình nhiệt hóa học: CO
(g)
+
1
2
O
2(g)
CO
2(g)
o
r 298
H 283,0 kJ
Biết nhiệt tạo thành chuẩn của CO
2(g)
là
o
f 298
H 393,5 kJ / mol
. Nhiệt tạo thành chuẩn của CO
(g)
là
A. +110,5 kJ/mol. B. -141,5 kJ/mol. C. -221,0 kJ/mol. D. -110,5 kJ/mol.
Câu 9: Cho các cặp oxi hóa – khử và thế điện cực chuẩn tương ứng:
Cặp oxi hóa – khử
+
2
2H /H
2+
Cu /Cu
2+
Fe /Fe
+
Ag /Ag
Thế điện cực chuẩn (V)
0,00
+0,34
-0,44
+0,799
Khi điện phân dung dịch chứa đồng thời bốn loại cation ở trên với nồng độ mol bằng nhau, cation đầu tiên bị
điện phân đầu tiên ở cathode là
A. Cu
2+
. B. Fe
2+
. C. Ag
+
. D. H
+
.
Câu 10: Kí hiệu cặp oxi hoá - khử ứng với quá trình khử: Fe
3+
+ le → Fe
2+
là
A. Fe
3+
/Fe
2+
. B. Fe
2+
/Fe
3+
. C. Fe
2+
/Fe. D. Fe
3+
/Fe.
Câu 11: Poly(methyl methacrylate) cho ánh sáng truyền qua trên 90%, được sử dụng làm thuỷ tinh hữu cơ.
Thực hiện phản ứng trùng hợp monomer nào sau đây thu được poly(methyl methacrylate)?
A. CH
2
=CHCOOCH
3
. B. CH
2
=C(CH
3
)COOCH
3
.
C. CH
2
=CHCl. D. CH
2
=CHC
6
H
5
.
Câu 12: Trong công nghiệp, kim loại nào sau đây được điều chế bằng phương pháp nhiệt luyện?
A. Al. B. Fe. C. Na. D. Mg.
Câu 13: Nước cứng gây nhiều trở ngại cho đời sống thường ngày. Các nguồn nước ngầm hoặc nước ở các
ao hồ, sông suối thường có độ cứng cao bởi quá trình hòa tan các ion Ca
2+
, Mg
2+
có trong thành phần của
lớp trầm tích đá vôi. Cho các phát biểu sau:
(a) Nước tự nhiên có chứa ion Ca
2+
, Mg
2+
, Cl
-
, SO
4
2-
gọi là nước có tính cứng toàn phần.
(b) Nước không chứa hoặc chứa ít các ion Ca
2+
và Mg
2+
được gọi là nước mềm.
(c) Có thể dùng Na
3
PO
4
để làm mềm nước có tính cứng vĩnh cửu.
(d) Phương pháp trao đổi ion có thể làm mềm tất cả các loại nước cứng.
Số phát biểu đúng là
A. 3. B. 2. C. 1. D. 4.
Câu 14: Công thức nào sau đây không phải là chất béo?
A. (C
17
H
33
COO)
3
C
3
H
5
. B. (C
17
H
35
COO)
3
C
3
H
5
.
C. (C
15
H
31
COO)
3
C
3
H
5
. D. (CH
3
COO)
3
C
3
H
5
.

Trang 3/7 - Mã đề 0001
Câu 15: Cho các dung dịch: (1) mật ong, (2) nước mía, (3) nước ép quả nho chín, (4) nước ép củ cải đường.
Số dung dịch có khả năng hòa tan Cu(OH)
2
là
A. 1. B. 4. C. 2. D. 3.
Câu 16: Biết độ tan trong nước của monosodium glutamate (mì chính hay bột ngọt) ở 60
o
C là 112 g/100 g
nước; ở 25
o
C là 74 g/ 100 g nước. Có bao nhiêu gam monosodium glutamate kết tinh khi làm nguội 2000 g
dung dịch monosodium glutamate bão hoà ở 60
o
C xuống 25
o
C? (giả thiết lượng nước bay hơi không đáng
kể)
A. 38 gam. B. 179,24 gam. C. 358,49 gam. D. 145,67 gam.
Câu 17: Sodium chloride là hợp chất có sẵn trong tự nhiên và có nhiều ứng dụng quan trong trong cuộc
sống như làm gia vị thức ăn và trong công nghiệp như sản xuất sodium hydoxyde, chlorine,. Công thức của
sodium chloride là
A. NaOH. B. NaClO.
C. NaCl. D. KCl.
Câu 18: Thực tế, một số biện pháp để hạn chế sự ăn mòn điện hóa tác động đến các vật dụng bằng kim loại
như sau:
(a) Máy bay hết hạn sử dụng được bảo quản ở sa mạc.
(b) Quét sơn kín bề mặt hàng rào bằng thép.
(c) Hàn khối kẽm lên mặt ngoài của vỏ tàu biển (phần chìm dưới nước).
(d) Rửa sạch và lau khô dao bằng thép sau khi thái, cắt hoa quả.
(e) Tráng kẽm lên vật liệu thép để sản xuất tấm tôn lợp nhà.
Trong số các biện pháp trên, những trường hợp nào có mục đích hạn chế (hoặc ngăn cản) sự tiếp xúc của
kim loại với dung dịch điện ly?
A. (a), (b), (d) và (e). B. (b) và (e).
C. (b), (c), (d) và (e). D. (b), (c) và (d).
PHẦN II. Câu hỏi trắc nghiệm đúng sai. Thí sinh trả lời từ câu 1 đến câu 4. Trong mỗi ý a), b), c), d) ở
mỗi câu thí sinh chọn đúng hoặc sai.
Câu 1. Trong công nghiệp, quá trình điện phân dung dịch NaCl thường được tiến hành trong thùng điện
phân có anode bằng than chì và cathode bằng Iron (giữa hai điện cực có màng ngăn xốp) dùng để sản xuất
NaOH, khí Cl
2
. Sơ đồ quá trình điện phân dung dịch NaCl trong công nghiệp như hình vẽ sau:
Dung dịch NaCl bão hòa có nồng độ 300 g L
-1
bơm vào chỉ được điện phân một phần thành dung dịch NaCl
có nồng độ 200 g L
-1
, dung dịch này sau đó được dẫn ra khỏi thùng điện phân, trong khi nước muối mới
được bơm vào. Việc làm này giúp hạn chế sự tạo thành sản phẩm không mong muốn. Dung dịch NaOH thu
được ở cathode có nồng độ 32% được chuyển sang thiết bị cô đặc để sản xuất dung dịch NaOH có nồng độ
theo ý muốn.
a) Khí Cl
2
thoát ra ở anode, khí H
2
thoát ra ở cathode.
b) Màng ngăn xốp có tác dụng ngăn không cho khí Cl
2
chuyển sang cathode phản ứng với OH
-
.
c) Tại cathode xảy ra sự oxi hóa H
2
O thành khí H
2
và OH
-
, tại anode xảy ra sự khử ion Cl
-
thành khí Cl
2
.
d) Giả sử NaOH không bị thất thoát trong quá trình cô đặc, thể tích dung dịch NaCl không thay đổi trong
quá trình điện phân. Để sản xuất được một thùng 20 lít dung dịch NaOH 45% thương phẩm có khối lượng
Đề thi thử tốt nghiệp môn Hóa trường Hải Lăng, Quảng Trị
Đề thi thử tốt nghiệp THPT Quốc gia 2025 môn Hóa lần 2 trường THPT Hải Lăng, Quảng Trị có đáp án là tài liệu hữu ích giúp bạn đọc có thể trau dồi nội dung kiến thức, chuẩn bị thật tốt cho kì Thi THPT Quốc gia sắp tới nhé. Đề thi gồm có 18 câu hỏi trắc nghiệm nhiều phương án lựa chọn, 4 câu hỏi trắc nghiệm đúng sai và 6 câu hỏi trắc nghiệm trả lời ngắn. Thí sinh làm bài trong thời gian 50 phút. Đề có đáp án và lời giải chi tiết kèm theo. Mời các bạn cùng theo dõi đề thi dưới đây.