Đề thi thử tốt nghiệp THPT 2025 môn Hóa bám sát đề minh họa - Đề 34
Thi THPT Quốc gia 2025
Lớp:
THPT Quốc gia
Môn:
Hóa Học
Dạng tài liệu:
Đề thi
Loại:
Tài liệu Lẻ
Loại File:
Word + PDF
Phân loại:
Tài liệu Tính phí

PHÁT TRIỂN TỪ ĐỀ MINH HỌA
ĐỀ 34
ĐỀ ÔN THI TỐT NGHIỆP THPT 2025
MÔN: HÓA
Thời gian: 50 phút
PHẦN I. Thí sinh trả lời từ câu 1 đến câu 18 . Mỗi câu hỏi thí sinh chỉ chọn một phương án.
Câu 1. (HH1.1- B)Trong ăn mo
̀
n ho
́
a ho
̣
c, loa
̣
i pha
̉
n ư
́
ng ho
́
a ho
̣
c xa
̉
y ra la
̀
phản ứng nào sau đây?
A. Phản ứng thê
́
. B. Phản ứng oxid ho
́
a- khư
̉
.
C. Phản ứng phân hu
̉
y. D. Phản ứng ho
́
a hợp.
YCCD: Nêu được khái niệm ăn mòn kim loại từ sự biến đổi của một số kim loại, hợp kim trong tự
nhiên.
- Câu 2. (HH1.2-B) Câu 2: Muối nào sau đây không tan trong nước?
B. Na
2
SO
4
B. MgSO
4
C. BeSO
4
D. BaSO
4
YCCD: Nêu được khả năng tan trong nước của các muối carbonate, sulfate, nitrate nhóm IIA.
Câu 3. (HH1.2-B) Chất có thể trùng hợp tạo ra polymer là
A. CH
3
OH. B. CH
2
=CH
2
. C. CH
3
COOH. D. HCOOCH
3
YCCD: Trình bày được phương pháp trùng hợp, trùng ngưng để tổng hợp một số polymer thường gặp.
Câu 4. (HH1.1-B) Phát biểu nào sau đây về liên kết kim loại là đúng?
A. Liên kết kim loại là liên kết được hình thành từ lực hút tĩnh điện giữa các cation kim loại và các
electron hóa trị tự do. Vì vậy, liên kết kim loại cũng chính là liên kết ion.
B. Liên kết kim loại được hình thành do giữa các nguyên tử kim loại có sự dùng chung các electron hóa
trị tự do. Vì vậy, liên kết kim loại cũng chính là liên kết cộng hóa trị.
C. Liên kết kim loại là liên kết được hình thành từ lực hút tĩnh điện giữa các cation kim loại và các
electron hóa trị tự do trong tinh thể kim loại.
D. Liên kết kim loại là liên kết được hình thành do sự xen phủ các orbital chứa electron hóa trị tự do của
các nguyên tử kim loại.
YCCD: Nêu được đặc điểm của liên kết kim loại
Câu 5. (HH1.6-H) Cấu hình electron ở phân lớp ngoài cùng của ion R
+
là 2p
6
. Nguyên tử R là
-YCCD: Dựa vào đặc điểm cấu hình electron lớp ngoài cùng của nguyên tử, dự đoán được tính chất hóa học cơ bản (kim loại
hay phi kim) của nguyên tố tương ứng.
A. Ne. B. Na. C. K. D. Ca.
Câu 6. (HH1.4-H) Cho các chất riêng biệt sau đây: Na
2
CO
3
; HCl ; NaOH, Ba(OH)
2
, Na
3
PO
4
. Số chất có
thể làm mềm nước cứng vĩnh cửu là
A. 2. B. 4. C. 5. D. 1.
YCCD: Đề xuất được cơ sở các phương pháp làm mềm nước cứng
Câu 7. (HH3.3-VD) Túi nylon, nhựa là các polymer tổng hợp có nguồn gốc từ dầu mỏ, thời gian phân hủy
trong môi trường lên đến hàng trăm năm, đang gây ô nhiễm môi trường nghiêm trọng. Sau khi học xong
chương Polymer (hóa học lớp 12), giáo viên đưa ra chủ đề “Chất thải nhựa: Tác hại và hành động của chúng
ta” cho lớp cùng thảo luận. Các bạn trong lớp đưa ra các ý kiến sau:
(1) Có thể tiêu hủy túi nylon và đồ nhựa bằng cách đem đốt chúng sẽ không gây nên sự ô nhiễm môi trường.
(2) Nếu đem đốt túi nylon và đồ làm từ nhựa có thể sinh ra chất độc, gây ô nhiễm: hydrochloric acid,
sulfuric acid, dioxin ảnh hưởng đến sức khỏe cộng đồng và làm hại tầng khí quyển.
(3) Túi nylon được làm từ nhựa PE, PP có thêm các chất phụ gia vào để làm túi nylon mềm, dẻo, dai, dễ bị
thuỷ phân trong môi trường nên được khuyến khích sử dụng thay cho các loại túi nylon khác.

(4) Cần có các vật liệu an toàn, dễ tự phân hủy hoặc bị phân hủy sinh học, thí dụ túi làm bằng vật liệu sản
xuất từ cellulose.
Có bao nhiêu ý kiến đúng?
A. 1. B. 2. C. 3. D. 4.
YCCD: Vận dụng tính chất của polymer vào cách sử dụng và bảo vệ môi trường .
Câu 8. (HH 1.6-H) Hiện tượng phú dưỡng là một biểu hiện của ao, hồ do dư thừa các chất dinh dưỡng như
nitrate và phosphate. Sự dư thừa dinh dưỡng chủ yếu do hàm lượng các ion nào sau đây vượt quá mức cho
phép?
A. Na
+
, K
+
. B. Ca
2+
, Mg
2+
. C. NO
3
-
, PO
4
3-
.
D. Cl
-
, SO
4
2-
.
YCCD: Giải thích được nguyên nhân, hệ quả của hiện tượng phú dưỡng
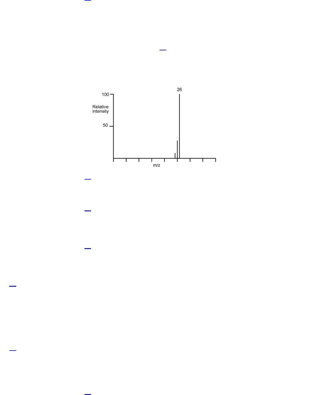
Câu 9. (HH1.7-B) Hydrocarbon nào sau đây sẽ có phổ khối như phổ cho dưới đây?
YCCD: Sử dụng được kết quả phổ khối lượng (MS) để xác định phân tử khối của hợp chất hữu cơ.
A. CH
4
. B. C
2
H
2
. C. C
2
H
4
. D. C
2
H
6
.
Câu 10. (HH1.1-B) Khi đun nóng ester X có công thức phân tử C
3
H
6
O
2
với dung dịch H
2
SO
4
đặc thu được
metanol. Công thức cấu tạo của X là
A. HCOOC
2
H
5
. B. CH
3
COOCH
3
. C. C
2
H
5
COOH. D. CH
3
COOC
2
H
5
.
YCCD: Viết được công thức cấu tạo và gọi được tên một số ester đơn giản (số nguyên tử C
trong phân tử ≤ 5) và thường gặp.
Câu 11. (HH1.3-B) Chất nào sau đây thuộc loại amine bậc ba và là chất khí ở điều kiện thường?
A. CH
3
NH
2
. B. (CH
3
)
3
N. C. CH
3
NHCH
3
. D. CH
3
CH
2
NHCH
3
.
YCCD: Nêu được khái niệm amine và phân loại amine (theo bậc của amine và bản chất gốc
hydrocarbon)..
Câu 12. (HH1.3-B) Tổng số nguyên tử trong 1 phân tử saccharose là
A. 45. B. 24. C. 22. D. 46.
YCCD: Viết được công thức cấu tạo dạng mạch hở, dạng mạch vòng và gọi được tên của saccharose
và maltose.
Câu 13.(HH 3.1-VD) Một hydrocarbon X mạch hở trong phân tử có phần trăm khối lượng carbon bằng
85,714%. Trên phổ khối lượng của X có peak ion phân tử ứng với giá trị m/z = 42. Công thức phù hợp
với X là
A. CH
2
=CHCH
3
. B. CH
3
CH
2
CH
3
. C. CH
3
CH
3
. D. CH≡CH.
YCCD: Lập được công thức phân tử hợp chất hữu cơ từ dữ liệu phân tích nguyên tố và phân tử
khối.
Câu 14. (HH1.2-B) Tên gọi của ester có công thức cấu tạo thu gọn CH
3
COOCH(CH
3
)
2
là
A. Propyl acetate. B. iso-propyl acetate. C. Sec-propyl acetate. D. Propyl formate.

YCCD: Viết được công thức cấu tạo và gọi tên của một số ester đơn giản (số nguyên tử C trong phân tử
≤ 5) và thường gặp.
Câu 15. (HH1.1-H) Tên thay thế của alanine là
A. α–aminopropionic acid. B. α–aminopropanoic acid.
C. 2–aminopropionic acid. D. 2–aminopropanoic acid.
YCCD: Gọi được tên một số amino acid thông dụng, nêu được đặc điểm cấu tạo phân tử của amino
acid.
Câu 16. (HH 3.3-VD) Thực hiện một thí nghiệm điện di ở pH = 6 để tách ba amino acid , cho bảng thông
tin dưới đây:
Cấu trúc
Tên (pH
I
)
Arginine
(10,76)
Glycine
(5,97)
Glutamic acid
(3,22)
Cho các phát biểu sau:
(a) Tại pH = 6 thì arginine tồn tại dạng anion.
(b) Tại pH = 6 thì glycine vẫn tồn tại dạng ion lưỡng cực thì có giá trị pH
I
gần bằng 6.
(c) Các vệt A, B, C lần lượt là glutamic acid, glycine, arginine.
(d) Tại pH = 6 thì glutamic acid tồn tại dạng cation và bị hút về cực dương.
Số phát biểu đúng là
A. 3. B. 1. C. 2. D. 4.
YCCD: Vận dụng tính điện di của amino acid để tách amino acid ra khỏi hỗn hợp.
Sử dụng thông tin ở bảng dưới đây để trả lời các câu 17 - 18:
Cho bảng giá trị thế điện cực chuẩn của các cặp oxi hóa - khử như sau:
Cặp oxi hóa - khử
Al
3+
/Al
Zn
2+
/Zn
Fe
2+
/Fe
Cu
2+
/Cu
Ag
+
/Ag
E
0
(V)
-1,676
-0,763
-0,440
0,340
0,799
Câu 17. (HH1.1-H) Dựa trên bảng thế điện cực chuẩn cho ở trên thì phản ứng nào cho dưới đây là sai?
A. Fe + Cu
2+
Fe
2+
+ Cu. B. Al + 3Ag
+
Al
3+
+ 3Ag.
C. Cu + Fe
2+
Fe + Cu
2+
.
D. Zn + Fe
2+
Zn
2+
+ Fe.
YCCD: Sử dụng bảng giá trị thế điện cực chuẩn để dự đoán được chiều hướng xảy ra phản ứng giữa hai
cặp oxi hóa – khử.
Câu 18. (HH1.1-H) Sức điện động chuẩn của pin Galvani thiết lập từ hai cặp oxid hóa - khử trong số các
cặp trên là 2,475 V. Hai cặp oxid hoá-khử hình thành pin lần lượt là
Đề thi thử bám sát đề minh họa 2025 môn Hóa - Đề 34
Đề thi thử tốt nghiệp THPT Quốc gia 2025 môn Hóa bám sát đề minh họa - Đề 34 có đáp án được VnDoc.com tổng hợp và xin gửi tới bạn đọc cùng tham khảo. Đề thi được tổng hợp gồm có 18 câu hỏi trắc nghiệm nhiều phương án lựa chọn, 4 câu hỏi trắc nghiệm đúng sai và 6 câu hỏi trắc nghiệm trả lời ngắn. Thí sinh làm bài trong thời gian 50 phút, đề có đáp án và lời giải chi tiết kèm theo. Mời các bạn cùng theo dõi đề thi dưới đây để có thêm tài liệu ôn thi kì thi THPT Quốc gia sắp tới nhé.