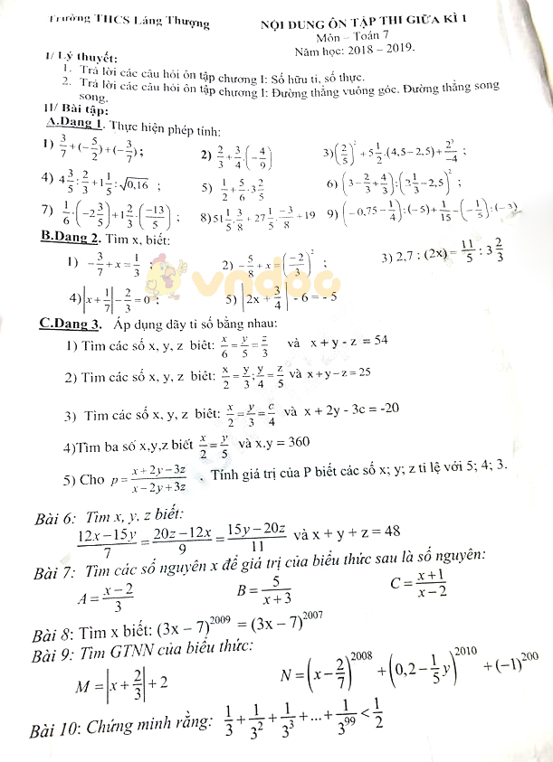
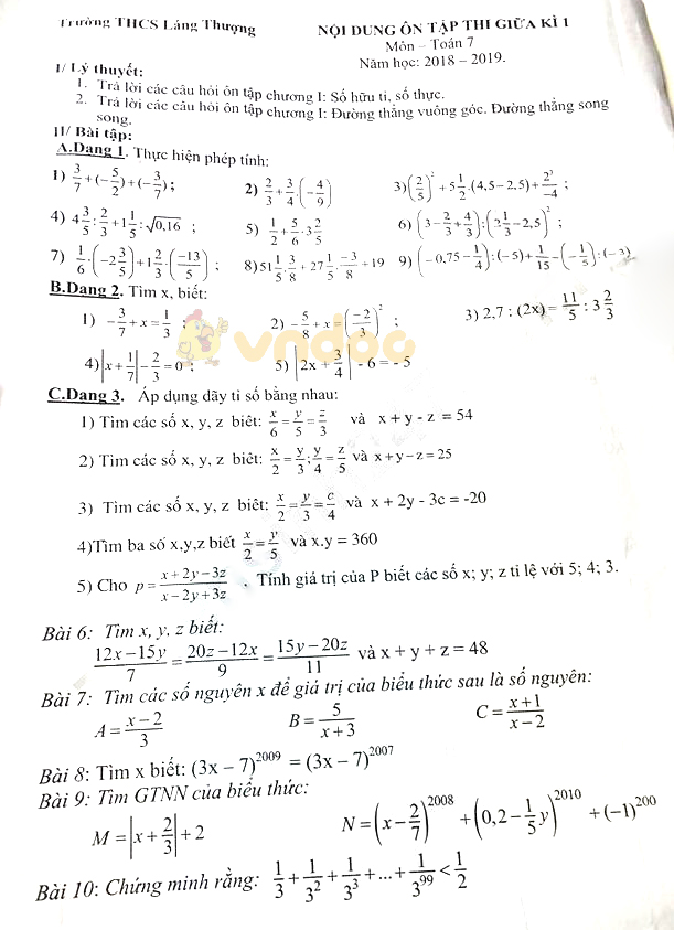
Đề thi giữa học kì 1 lớp 7 môn Toán trường THCS Láng Thượng năm học 2018 - 2019
Đề thi giữa học kì 1 môn Toán lớp 7 trường THCS Láng Thượng
Đề thi giữa học kì 1 lớp 7 môn Toán trường THCS Láng Thượng năm học 2018 - 2019 là tài liệu tham khảo hữu ích dành cho thầy cô trong quá trình giảng dạy, ôn luyện kiến thức đã học cho các em đồng thời cũng giúp học sinh làm quen nhiều dạng đề kiểm tra Toán 7 khác nhau. Mời các em tham khảo
Đề thi giữa học kì 1 lớp 7 môn Toán trường THCS Bắc Sơn năm học 2018 - 2019
Đề kiểm tra giữa học kì 1 môn Địa lý lớp 7 năm học 2014 - 2015 huyện Việt Yên, Bắc Giang
Đề kiểm tra giữa học kỳ I môn Toán lớp 7 trường THCS Nhân Mỹ năm 2014 - 2015


Mời các bạn tham khảo tài liệu sau: Toán lớp 7, Giải bài tập Toán lớp 7, Tài liệu học tập lớp 7, Đề thi giữa kì 1 lớp 7, Đề thi học kì 1 lớp 7