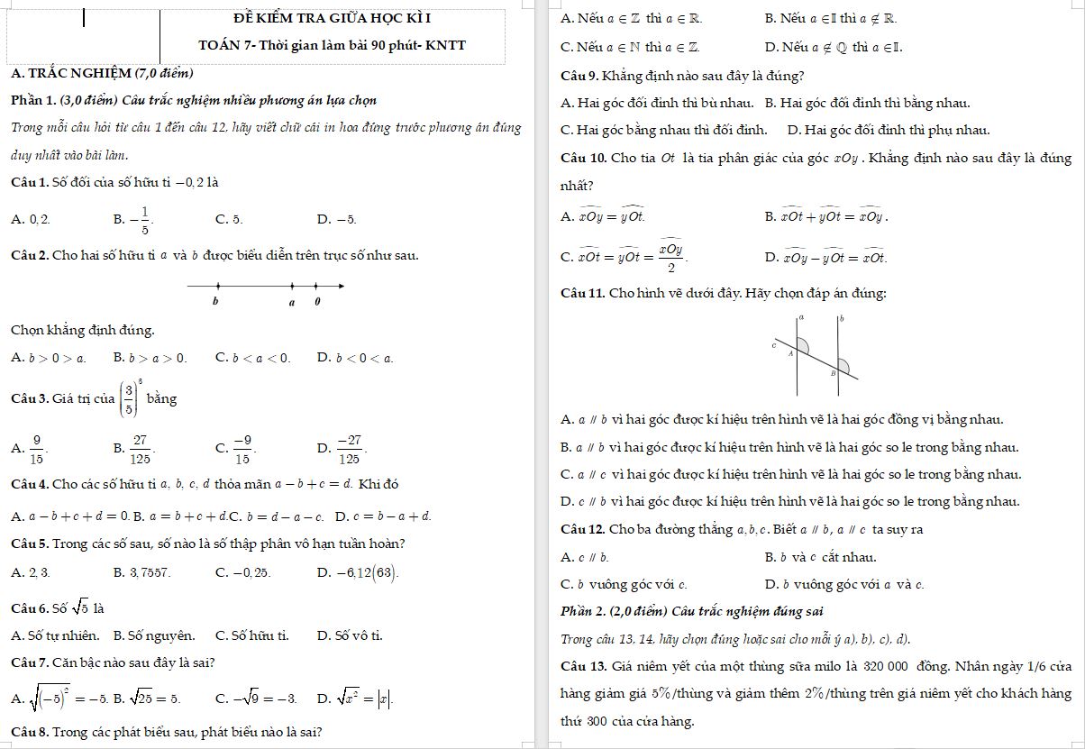
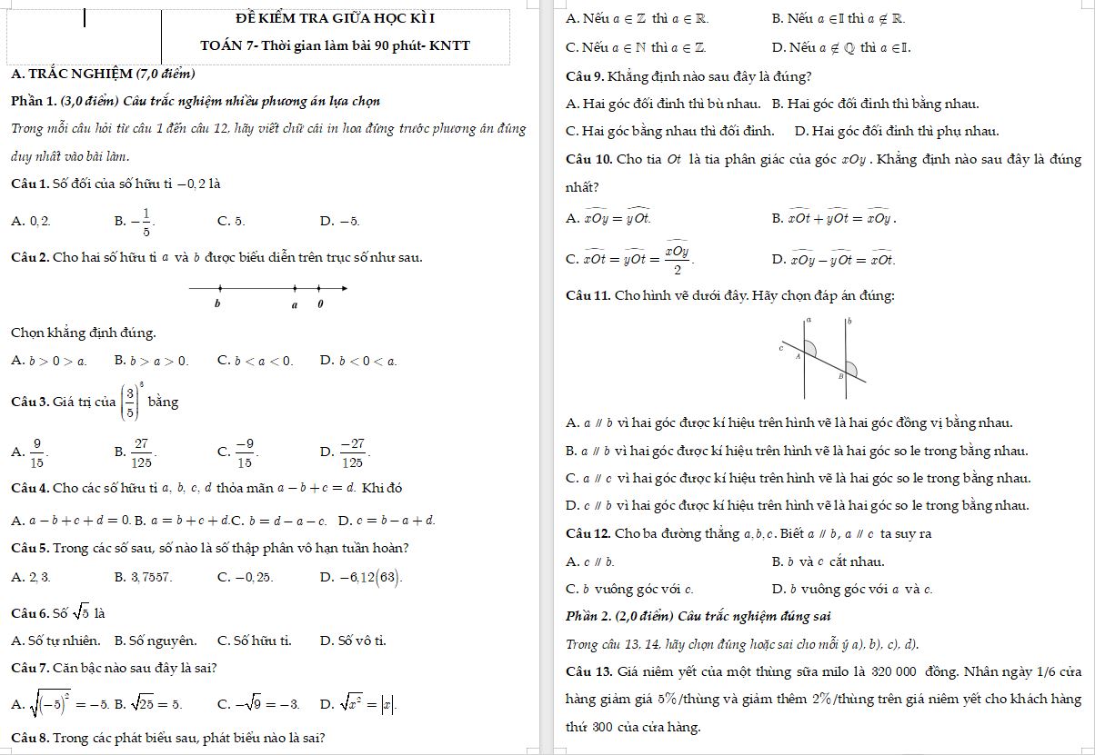
Đề thi giữa kì 1 Toán 7 Kết nối tri thức - Đề 2 cấu trúc mới
Đề thi giữa học kì I Toán 7 Đề 2 –Kết nối tri thức được biên soạn bám sát chương trình sách giáo khoa, có kèm theo đáp án, ma trận và bảng đặc tả. Tài liệu này giúp giáo viên dễ dàng tham khảo, xây dựng đề kiểm tra phù hợp, đồng thời đảm bảo tính khoa học và khách quan trong đánh giá năng lực học sinh.
Với học sinh, đề thi là nguồn luyện tập hữu ích, vừa giúp củng cố kiến thức, vừa rèn luyện kỹ năng giải toán, từ đó chuẩn bị tâm thế vững vàng cho kì thi chính thức. Đây là tài liệu đáng tham khảo cho cả dạy và học, mời tham khảo.
Đề thi giữa kì 1 Toán 7 Kết nối tri thức - Đề 2 cấu trúc mới năm 2025-2026

Để xem một phần của Đề thi giữa học kì I Toán 7 KNTT - Đề 1 cấu trúc mới kèm đáp án, ma trận và bảng đặc tả, mời các bạn kích vào nút Xem thử, để xem toàn bộ tài liệu này hãy kích vào nút Tải về dưới đây.