Đề thi thử THPT quốc gia môn Toán năm 2018, trường THPT Yên Lạc, Vĩnh Phúc (Lần 1)
Đề thi thử THPT quốc gia môn Toán năm 2018
VnDoc.com mời các bạn học sinh tham khảo tài liệu: Đề thi thử THPT quốc gia môn Toán năm 2018, trường THPT Yên Lạc, Vĩnh Phúc (Lần 1), tài liệu gồm 50 câu hỏi trắc nghiệm kèm theo đáp án sẽ giúp các bạn học sinh rèn luyện cách giải bài tập Toán 12 hiệu quả nhất. Mời các bạn học sinh và thầy cô cùng tham khảo.
Đề thi thử THPT quốc gia môn Toán năm 2018, trường THPT Chuyên Nguyễn Đình Chiểu, Đồng Tháp
Đề thi thử THPT quốc gia môn Toán năm học 2017 - 2018, trường THPT Chuyên Thái Bình (Lần 1)
Đề thi thử THPT quốc gia môn Toán năm 2018, trường THPT Yên Lạc, Vĩnh Phúc (Lần 1)
|
SỞ GD-ĐT VĨNH PHÚC TRƯỜNG THPT YÊN LẠC |
ĐỀ THI KSCL ÔN THI THPT QUỐC GIA LỚP 12 - LẦN 1 NĂM HỌC 2017 - 2018 ĐỀ THI MÔN: TOÁN Thời gian làm bài 90 phút; Không kể thời gian giao đề. |
Họ tên thí sinh .......................................................Số báo danh: .....................
Câu 1: Tìm hoành độ các giao điểm của đường thẳng y = 2x - 13/4 với đồ thì hàm số y = x2 - 1/x+2.
A.
\(x\ =\ 2\pm\frac{\sqrt{2}}{2}\)
B. x = -14/1; x = 2
C. x = 1; x = 2; x = 3
D. x = -11/4
Câu 2: Tìm giá trị nhỏ nhất của hàm số
\(y\ =\ \frac{2x+1}{1-x}\) trên đoạn [2;3]
A. 1
B. – 2
C. 0
D. – 5
Câu 3: Một tổ học sinh có 7 nam và 3 nữ. Chọn ngẫu nhiên 2 người. Tính xác suất sao cho 2 người được chọn đều là nữ.
A. 1/5
B. 7/15
C. 8/15
D. 1/5
Câu 4: Nghiệm của phương trình cosx = –1/2 là:

A.
\(y\ =\ \frac{2x+1}{x+1}\)
B.
\(y\ =\ \frac{x+3}{1-x}\)
C.
\(y\ =\ \frac{x+2}{x+1}\)
D.
\(y\ =\ \frac{x-1}{x+1}\)
Câu 10: Cho một cấp số cộng (Un) có U1 = 1/3; Us = 26. Tìm công sai d
A. d = 11/3
B. d= 10/3
C. d = 3/10
D. d = 3/11
Câu 11: Đồ thị hàm số
\(y\ =\frac{x^2+x+1}{-5x^2-2x+3}\) có bao nhiêu đường tiệm cận?
A. 4
B. 3
C. 2
D. 1
Câu 12: Cho tứ diện đều ABCD, M là trung điểm của cạnh BC. Khi đó cos(AB,DM) bằng:
A.
\(\frac{\sqrt{3}}{6}\)
B.
\(\frac{\sqrt{2}}{2}\)
C.
\(\frac{\sqrt{3}}{2}\)
D. 1/2
Câu 13: Trong các hàm số sau, hàm số nào đồng biến trên R.
A. y = x4 + x2 + 1
B. y = x3 + 1
C. y = x4 + 1/x + 2
D. y = tanx
Câu 14: Cho hình chóp S.ABCD có đáy ABCD là hình vuông cạnh a. Biết SA ⊥ (ABCD) và SA = a
\(\sqrt{3}\). Thể tích của khối chóp S.ABCD là:
A.
\(a^3\sqrt{3}\)
B.
\(\frac{a^3\sqrt{3}}{12}\)
C.
\(\frac{a^3\sqrt{3}}{3}\)
D.
\(\frac{a^3}{4}\)
Câu 15: Chọn kết quả đúng của limx→+oo
\(\frac{1+3x}{\sqrt{2x^2+3}}\)
A.
\(-\frac{3\sqrt{2}}{2}\)
B.
\(-\frac{\sqrt{2}}{2}\)
C.
\(\frac{3\sqrt{2}}{2}\)
D.
\(\frac{\sqrt{2}}{2}\)
Câu 16: Cho hai đường thẳng a và b chéo nhau.Có bao nhiêu mặt phẳng chứa a và song song với b?
A. 0
B. 2
C. Vô số
D. 1
Câu 17: Cho khối lăng trụ ABC.A’B’C’ có thể tích là V, thể tích của khối chóp C’.ABC là:
A. 2V
B. 1/2V
C. 1/3V
D. 1/6V
Câu 18: Công thức tính số tổ hợp là:

A. Chỉ (III)
B. Chỉ (I)
C. Chỉ (I) và (II)
D. Chỉ (I) và (III)
Câu 23: Khẳng định nào sau đây đúng
A. Nếu hai mặt phẳng (P) và (Q) lần lượt chứa hai đường thẳng song song thì song song với nhau.
B. Nếu hai mặt phẳng song song thì mọi đường thẳng nằm trên mặt phẳng này đều song song với mọi đường thẳng nằm trên mặt phẳng kia.
C. Hai mặt phẳng phân biệt không song song thì cắt nhau.
D. Hai mặt phẳng cùng song song với một đường thẳng thì song song với nhau.
Câu 24: Cho khối chóp S.ABC, trên ba cạnh SA, SB, SC lần lượt lấy ba điểm A’, B’, C’ sao cho SA' = 1/2 SA, SB' = 1/3 SB, SC' = 1/4 SC. Gọi V và V’ lần lượt là thể tích của các khối chóp S.ABC và S.A’B’C’. Khi đó tỉ số V'/Vlà:
A. 12
B.1/12
C. 24
D. 1/24
Câu 25: Nghiệm của phương trình là: A3n = 20n là:
A. n = 6
B. n = 5
C. n = 8
D. Không tồn tại
Câu 26: Cho hàm số y = sin2x. Khẳng định nào sau đây là đúng?
A. y2 = (y/)2 = 4
B. 4y + y// = 0
C. 4y – y// = 0
D. y = y/tan2x
Câu 27: Hàm số f(x) =
\(f\left(x\right)=\frac{x^2+x+1}{x+1}\) có bao nhiêu điểm cực trị ?
A. 3
B. 2
C. 1
D. 0
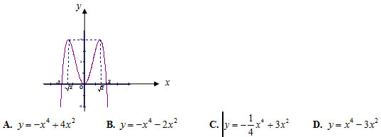
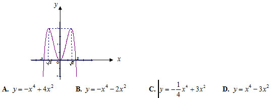
Câu 28: Đồ thị sau đây là của hàm số nào?

Câu 29: Cho hình chóp S.ABC có SA= SB = SC và tam giác ABC vuông tại B. Vẽ SH ⊥ (ABC), H∈(ABC). Khẳng định nào sau đây đúng?
A. H trùng với trực tâm tam giác ABC
B. H trùng với trọng tâm tam giác ABC
C. H trùng với trung điểm của AC
D. H trùng với trung điểm của BC
Câu 30: Trong khai triển
\(\left(x+\frac{2}{\sqrt{x}}\right)^6\) với hệ số (x > 0) là:
A. 60
B. 80
C. 160
D. 240
Câu 31: Cho khối lăng trụ đứng tam giác ABC.A’B’C’ có đáy là một tam giác vuông cân tại A, góc giữa AC’ và mặt phẳng bằng. Thể tích khối lăng trụ ABC.A’B’C’ là?
![]()
Câu 32: Đồ thị sau đây là của hàm số y = x2 - 3x2 - 3. Với giá trị nào của m thì phương trình x4 - 3x + m = 0 có ba nghiệm phân biệt?

Câu 37: Một chất điểm chuyển động theo quy luật S(t) = 1 + 3t2 - t3. Vận tốc của chuyển động đạt giá trị lớn nhất khi t bằng bao nhiêu?
A. t = 2
B. t = 1
C. t = 3
D. t = 4
Câu 38: Cho đồ thị (C) của hàm số: y = (1 - x)(x + 2)2 Trong các mệnh đề sau, tìm mệnh đề sai:
A. (C) có 2 điểm cực trị
B. (C) có một điểm uốn
C. (C) có một tâm đối xứng
D. (C) có một trục đối xứng
Câu 39: Một cửa hàng bán bưởi Đoan Hùng của Phú Thọ với giá bán mỗi quả là 50.000 đồng. Với giá bán này thì của hàng chỉ bán được khoảng 40 quả bưởi. Cửa hàng này dự định giảm giá bán, ước tính nếu cửa hàng cứ giảm mỗi quả 5000 đồng thì số bưởi bán được tăng thêm là 50 quả. Xác định giá bán để của hàng đó thu được lợi nhuận lớn nhất, biết rằng giá nhập về ban đầu mỗi quả là 30.000 đồng.
A. 44.000đ
B. 43.000đ
C. 42.000đ
D. 41.000đ

Câu 42: Cho hình chóp đều S.ABC có cạnh đáy bằng a, góc giữa một mặt bên và mặt đáy bằng 600. Tính độ dài đường cao SH.

Câu 45: Cho lăng trụ có đáy là tam giác đều cạnh a. Hình chiếu vuông góc của điểm lên mặt phẳng trùng với trọng tâm tam giác . Biết khoảng cách giữa hai đường thẳng và bằng
\(\frac{a\sqrt{3}}{4}\). Khi đó thể tích của khối lăng trụ là?
![]()
Câu 46: Hằng ngày, mực nước của con kênh lên xuống theo thủy triều. Độ sâu của mực nước trong kênh tính theo thời gian được cho bởi công thức h = 3cos
\(\left(\frac{\pi t}{6}+\frac{\pi}{3}\right)+\ 12\)
Khi nào mực nước của kênh là cao nhất với thời gian ngắn nhất ?
A. t = 22 (h)
B. t = 15 (h)
C. t = 14 (h)
D. t = 10 (h)
Câu 47: Cho lăng trụ đứng tam giác ABC.A’B’C’ có đáy là một tam giác vuông cân tại B, AB = BC = a, AA' =
\(a\sqrt{2}\). M là trung điểm BC. Tính khoảng cách giữa hai đường thẳng AM và B'C?
D. a
\(\sqrt{3}\)
Câu 48: Có bao nhiêu số tự nhiên có sáu chữ số khác nhau từng đôi một, trong đó chữ số 5 đứng liền giữa hai chữ số 1 và 4?
A. 249
B. 1500
C. 3204
D. 2942
Câu 49: Anh Minh muốn xây dựng một hố ga không có nắp đạy dạng hình hộp chữ nhật có thể tích chứa được 3200cm3, tỉ số giữa chiều cao và chiều rộng của hố ga bằng 2. Xác định diện tích đáy của hố ga để khi xây hố tiết kiệm được nguyên vật liệu nhất.
A. 170 cm2
B. 160 cm2
C. 150 cm2
D. 140 cm2
Câu 50: Trong mặt phẳng Oxy, tìm phương trình đường tròn (C’) là ảnh của đường tròn (C): x2 + y2 = 1 qua phép đối xứng tâm I(1; 0)
A. (x + 2)2 + y2 = 1
B. x2 + (y + 2)2 = 1
C. (x – 2)2 + y2 = 1
D. x2 + (y – 2)2 = 1
Đáp án đề thi thử THPT quốc gia môn Toán năm 2018
|
Câu |
Đáp án |
Câu |
Đáp án |
|
1 |
B |
26 |
B |
|
2 |
D | 27 | B |
|
3 |
A | 28 | A |
|
4 |
A | 29 | C |
|
5 |
A | 30 | A |
|
6 |
D | 31 | B |
|
7 |
B | 32 | C |
|
8 |
D | 33 | C |
|
9 |
A | 34 | B |
|
10 |
A | 35 | A |
|
11 |
B | 36 | D |
|
12 |
A | 37 | B |
|
13 |
B | 38 | D |
|
14 |
C | 38 | C |
|
15 |
C | 40 | A |
|
16 |
D | 41 | C |
|
17 |
C | 42 | C |
|
18 |
B | 43 | C |
|
19 |
D | 44 | C |
|
20 |
D | 45 | A |
|
21 |
A | 46 | D |
|
22 |
D | 47 | A |
|
23 |
C | 48 | B |
|
24 |
D | 49 | B |
|
25 |
A | 50 | C |