Giải Toán 10 Bài 2: Biểu thức tọa độ của các phép toán vectơ CD
Giải Toán 10 Chương 7 Bài 2: Biểu thức tọa độ của các phép toán vectơ CD
- Giải bài 1 trang 72 SGK Toán 10 Cánh diều tập 2
- Giải bài 2 trang 72 SGK Toán 10 Cánh diều tập 2
- Giải bài 3 trang 72 SGK Toán 10 Cánh diều tập 2
- Giải bài 4 trang 72 SGK Toán 10 Cánh diều tập 2
- Giải bài 5 trang 72 SGK Toán 10 Cánh diều tập 2
- Giải bài 6 trang 72 SGK Toán 10 Cánh diều tập 2
- Giải bài 7 trang 72 SGK Toán 10 Cánh diều tập 2
Giải Toán 10 Bài 2: Biểu thức tọa độ của các phép toán vectơ CD được VnDoc.com sưu tầm và xin gửi tới bạn đọc. Bài viết hướng dẫn bạn đọc trả lời các câu hỏi trong SGK Toán 10 Cánh diều tập 2. Mời các bạn cùng theo dõi bài viết dưới đây.
Giải bài 1 trang 72 SGK Toán 10 Cánh diều tập 2
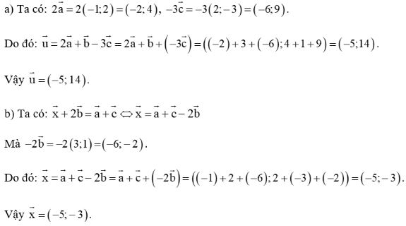
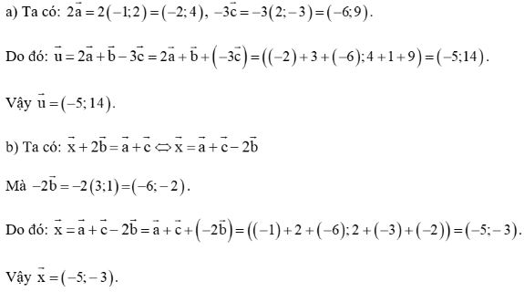
Trong mặt phẳng tọa độ Oxy, cho
\(\vec{a} =(-1;2), \vec{b}=(3,1) ,\vec{c} =(2,-3)\).
a) Tìm tọa độ vectơ
\(\vec{u}=2 \vec{a}+ \vec{b}- 3\vec{c}\).
b) Tìm tọa độ của vectơ
\(\vec{x}\) sao cho
\(\vec{x}+2 \vec{b}= \vec{a}+ \vec{c}\).
Lời giải:

Giải bài 2 trang 72 SGK Toán 10 Cánh diều tập 2
Trong mặt phẳng tọa độ Oxy, cho A(– 2; 3) ; B(4; 5); C(2; – 3).
a) Chứng minh ba điểm A, B, C không thẳng hàng.
b) Tìm tọa độ trọng tâm G của tam giác ABC.
c) Giải tam giác ABC (làm tròn các kết quả đến hàng đơn vị).
Lời giải:


Giải bài 3 trang 72 SGK Toán 10 Cánh diều tập 2
Trong mặt phẳng tọa độ Oxy, cho tam giác ABC có trung điểm các cạnh BC, CA, AB tương ứng là M(2; 0); N(4; 2); P(1; 3).
a) Tìm tọa độ các điểm A, B, C.
b) Trọng tâm hai tam giác ABC và MNP có trùng nhau không? Vì sao?
Lời giải:


Vậy trọng tâm hai tam giác ABC và MNP trùng nhau.
Giải bài 4 trang 72 SGK Toán 10 Cánh diều tập 2
Trong mặt phẳng tọa độ Oxy, cho tam giác ABC có A(2; 4); B(– 1; 1); C(– 8; 2).
a) Tính số đo góc ABC (làm tròn kết quả đến hàng đơn vị theo đơn vị độ).
b) Tính chu vi của tam giác ABC.
c) Tìm tọa độ điểm M trên đường thẳng BC sao cho diện tích của tam giác ABC bằng hai lần diện tích của tam giác ABM.
Lời giải:



Giải bài 5 trang 72 SGK Toán 10 Cánh diều tập 2
Cho ba điểm A(1; 1) ; B(4; 3) và C (6; – 2).
a) Chứng minh ba điểm A, B, C không thẳng hàng.
b) Tìm tọa độ điểm D sao cho tứ giác ABCD là hình thang có AB // CD và CD = 2AB.
Lời giải:

Vậy tọa độ điểm D là D(0; – 6).
Giải bài 6 trang 72 SGK Toán 10 Cánh diều tập 2
Chứng minh khẳng định sau:
Hai vectơ
\(\vec{u} =(x_{1} ,y_{1} ),\vec{v} =(x_{2} ,y_{2} )(\vec{v} \neq \vec{0} )\) cùng phương khi và chỉ khi có một số thực k sao cho x1 = kx2 và y1 = ky2.
Lời giải:

Vậy suy ra điều phải chứng minh.
Giải bài 7 trang 72 SGK Toán 10 Cánh diều tập 2
Một vật đồng thời bị ba lực tác động: lực tác động thứ nhất
\(\vec{F_{1} }\) có độ lớn là 1 500 N, lực tác động thứ hai
\(\vec{F_{2} }\) có độ lớn là 600 N, lực tác động thứ ba
\(\vec{F_{3} }\) có độ lớn là 800 N. Các lực này được biểu diễn bằng những vectơ như Hình 23, với
\((\vec{F_{1} } ,\vec{F_{2} } )=30^{0}\),
\((\vec{F_{1} } ,\vec{F_{3} } )=45^{0}\),
\((\vec{F_{2} } ,\vec{F_{3} } )=75^{0}\). Tính độ lớn lực tổng hợp tác động lên vật (làm tròn kết quả đến hàng đơn vị).

Lời giải:
Ta vẽ các hợp lực như hình sau:


---------------------
VnDoc.com vừa gửi tới bạn đọc bài viết Giải Toán 10 Bài 2: Biểu thức tọa độ của các phép toán vectơ. Hi vọng qua đây bạn đọc có thêm nhiều tài liệu để học tập nhé. Mời các bạn cùng tham khảo thêm tài liệu học tập các môn Ngữ văn 10 CD, Tiếng Anh 10...