Giải Toán 10 Bài 4: Vị trí tương đối và góc giữa hai đường thẳng. Khoảng cách từ một điểm đến một đường thẳng CD
Giải Toán 10 Chương 7 Bài 4: Vị trí tương đối và góc giữa hai đường thẳng. Khoảng cách từ một điểm đến một đường thẳng
- Giải bài 1 trang 86 SGK Toán 10 Cánh diều tập 2
- Giải bài 2 trang 86 SGK Toán 10 Cánh diều tập 2
- Giải bài 3 trang 86 SGK Toán 10 Cánh diều tập 2
- Giải bài 4 trang 86 SGK Toán 10 Cánh diều tập 2
- Giải bài 5 trang 86 SGK Toán 10 Cánh diều tập 2
- Giải bài 6 trang 86 SGK Toán 10 Cánh diều tập 2
- Giải bài 7 trang 86 SGK Toán 10 Cánh diều tập 2
Giải Toán 10 Bài 4: Vị trí tương đối và góc giữa hai đường thẳng. Khoảng cách từ một điểm đến một đường thẳng CD được VnDoc.com sưu tầm và xin gửi tới bạn đọc. Bài viết hướng dẫn bạn đọc trả lời các câu hỏi trong SGK Toán 10 CD. Mời các bạn cùng theo dõi bài viết dưới đây.
Giải bài 1 trang 86 SGK Toán 10 Cánh diều tập 2
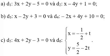
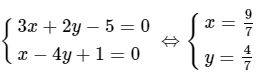
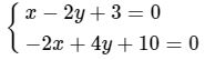
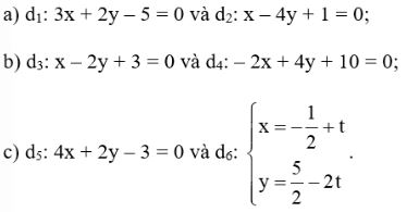
Xét vị trí tương đối của mỗi cặp đường thẳng sau

Bài giải
a) Tọa độ giao điểm của hai đường thẳng d1, d2 là nghiệm của hệ phương trình:

Hệ phương trình có nghiệm duy nhất nên 2 đường thẳng cắt nhau.
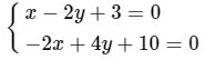
b) Tọa độ giao điểm của hai đường thẳng d3, d4 là nghiệm của hệ phương trình:

Hệ phương trình vô nghiệm.nên 2 đường thẳng song song với nhau
c) Tọa độ giao điểm của hai đường thẳng d5, d6 tương ứng với t thỏa mãn phương trình:
![]()
Phương trình này có nghiệm với mọi t. Do đó d5 ≡ d6
Giải bài 2 trang 86 SGK Toán 10 Cánh diều tập 2
Tính số đo góc giữa hai đường thẳng d1: 2x – y + 5 = 0 và d2: x – 3y + 3 = 0.
Bài giải

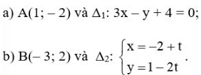
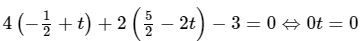
Giải bài 3 trang 86 SGK Toán 10 Cánh diều tập 2
Tính khoảng cách từ một điểm đến một đường thẳng trong mỗi trường hợp sau:

Bài giải

Giải bài 4 trang 86 SGK Toán 10 Cánh diều tập 2
Với giá trị nào của tham số m thì hai đường thẳng sau đây vuông góc?
Δ1: mx − y + 1 = 0 và Δ2: 2x − y + 3=0.
Bài giải
Vecto pháp tuyến của là:
\(\vec{n_{1} }=(m,-1)\)
Vecto pháp tuyến của là:
\(\vec{n_{2} }=(2,-1)\)
Vậy hai đường thẳng Δ1, Δ2 vuông góc với nhau khi và chỉ khỉ
\(\vec{n_{1} },\vec{n_{2} }\) vuông góc với nhau tức là
\(\vec{n_{1} }.\vec{n_{2} }=0 \Leftrightarrow 2m+1=0\Leftrightarrow m=-\frac{1}{2}\)
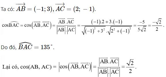
Giải bài 5 trang 86 SGK Toán 10 Cánh diều tập 2
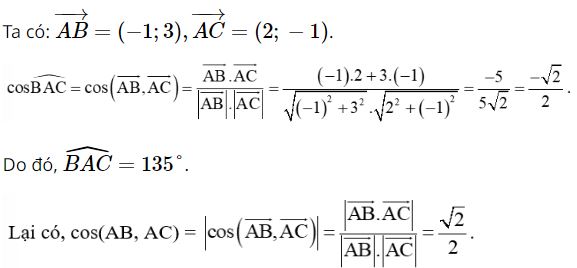
Cho ba điểm A(2; -1), B(1; 2) và C(4; -2). Tính số đo góc BAC và góc giữa hai đường thẳng AB, AC.
Bài giải

Do đó, (AB, AC) = 45°.
Giải bài 6 trang 86 SGK Toán 10 Cánh diều tập 2
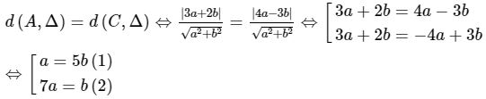
Cho ba điểm A(2;4), B(-1; 2) và C(3;-1). Viết phương trình đường thẳng đi qua B đồng thời cách đều A và C.
Bài giải
Gọi ΔΔ là đường thẳng đi qua B và có vecto pháp tuyến là
\(\vec{n} =(a;b)\)
Vậy phương trình Δ là: a(x + 1) + b(y − 2)=0 ⇔ ax + by + (a − 2b) = 0a
Ta có:

Từ (1) ta có thể chọn được 1 vecto pháp tuyến là:
\(\vec{n} =(5;1)\). Vậy phương trình đường thẳng Δ là: 5x + y + 3 = 0
Từ (2) ta có thể chọn được 1 vecto pháp tuyến là:
\(\vec{n} =(1;7)\). Vậy phương trình đường thẳng Δ là: x + 7y − 13 = 0
Giải bài 7 trang 86 SGK Toán 10 Cánh diều tập 2
Có hai con tàu A và B cùng xuất phát từ hai bến, chuyển động đều theo đường thẳng ngoài biển. Trên màn hình ra đa của trạm điều khiển (được coi như mặt phẳng toạ độ Oxy với đơn vị trên các trục tính theo ki-lô-mét), sau khi xuất phát t (giờ) (t ≥ 0), vị trí của tàu A có toạ độ được xác định bởi công thức
\(\left\{\begin{matrix} x=3-35t \\ y=-4+25t \end{matrix}\right.\), vị trí của tàu B có toạ độ là (4 – 30t; 3 – 40t).
a) Tính côsin góc giữa hai đường đi của hai tàu A và B.
b) Sau bao lâu kể từ thời điểm xuất phát hai tàu gần nhau nhất?
c) Nếu tàu A đứng yên ở vị trí ban đầu, tàu B chạy thì khoảng cách ngắn nhất giữa hai tàu bằng bao nhiêu?
Bài giải
a) Tàu A di chuyển theo hướng vecto
\(\vec{u_{1} }=(-35;25)\)
Tàu B di chuyển theo hướng vecto
\(\vec{u_{2} }=(-30;-40)\)
Gọi α là góc giữa hai đường đi của hai tàu, ta có:

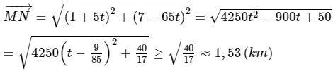
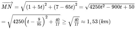
b) Sau t giờ, vị trí của tàu A là điểm M có tọa độ là: M(3−35t; −4+25t)
Sau t giờ, vị trí của tàu B là điểm N có tọa độ là: N(4−30t; 3−40t)
Do đó:

Suy ra MN nhỏ nhất xấp xỉ 1,53 km khi
\(t=\frac{9}{85}\)
Vậy sau
\(\frac{9}{85}\) giờ kể từ thời điểm xuất phát thì hai tàu gần nhau nhất và cách nhau 1,53km
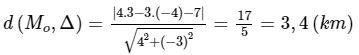
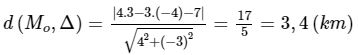
c) Vị trí ban đầu của tàu A tại Mo ứng với t = 0, khi đó Mo(3;−4)
Tàu B di chuyển theo đường thẳng có vecto pháp tuyến
\(\vec{n}=(40;-30)\) và đi qua điểm K(4;3) Phương trình tổng quát của là: 40(x − 4) − 30 (y − 3) = 0 ⇔ 4x − 3y − 7 = 0 Δ
Ta có: 
Vậy nếu tàu A đứng yên ở vị trí ban đầu còn tàu B di chuyển thì khoảng cách ngắn nhất giữa hai tàu bằng 3,4km.
---------------------
VnDoc.com vừa gửi tới bạn đọc bài viết Giải Toán 10 Bài 4: Vị trí tương đối và góc giữa hai đường thẳng. Khoảng cách từ một điểm đến một đường thẳng CD. Hi vọng qua đây bạn đọc có thêm nhiều tài liệu để học tập nhé. Mời các bạn cùng tham khảo thêm tài liệu học tập các môn Ngữ văn 10 CD, Tiếng Anh 10...