Giải Toán 10 Bài 5: Phương trình đường tròn CD
Giải Toán 10 Chương 7 Bài 5: Phương trình đường tròn CD
- Giải bài 1 trang 91 Toán 10 Cánh diều tập 2
- Giải bài 2 trang 91 Toán 10 Cánh diều tập 2
- Giải bài 3 trang 91 Toán 10 Cánh diều tập 2
- Giải bài 4 trang 92 Toán 10 Cánh diều tập 2
- Giải bài 5 trang 92 Toán 10 Cánh diều tập 2
- Giải bài 6 trang 92 Toán 10 Cánh diều tập 2
- Giải bài 7 trang 92 Toán 10 Cánh diều tập 2
Giải Toán 10 Bài 5: Phương trình đường tròn Cánh Diều được VnDoc.com sưu tầm và xin gửi tới bạn đọc. Bài viết hướng dẫn bạn đọc trả lời các câu hỏi trong SGK Toán 10 Cánh diều tập 2. Mời các bạn cùng theo dõi lời giải bài 5: Phương trình đường tròn Toán 10 Cánh diều tập 2 dưới đây.
Giải bài 1 trang 91 Toán 10 Cánh diều tập 2
Phương trình nào sau đây là phương trình đường tròn?
a) x2 + y2 – 2x + 2y – 7 = 0;
b) x2 + y2 – 8x + 2y + 20 = 0.
Lời giải:
a) x2 + y2 – 2x + 2y – 7 = 0
⇔ (x2 – 2x + 1) + (y2 + 2y + 1) – 1 – 1 – 7 = 0
⇔ (x – 1)2 + (y + 1)2 = 9
Đây là phương trình đường tròn với tâm I(1; – 1) và bán kính R = √9 = 3.
b) x2 + y2 – 8x + 2y + 20 = 0
⇔ (x2 – 8x + 16) + (y2 + 2y + 1) – 16 – 1 + 20 = 0
⇔ (x – 4)2 + (y – 1)2 = – 3
Do – 3 < 0 nên đây không phải là phương trình đường tròn.
Giải bài 2 trang 91 Toán 10 Cánh diều tập 2
Tìm tâm và bán kính của đường tròn trong mỗi trường hợp sau:
a) Đường tròn có phương trình (x + 1)2 + (y – 5)2 = 9;
b) Đường tròn có phương trình x2 + y2 – 6x – 2y – 15 = 0.
Lời giải:
a) Ta có: (x + 1)2 + (y – 5)2 = 9 ⇔ (x – (– 1))2 + (y – 5)2 = 32.
Do đó, đường tròn đã cho có tâm I(– 1; 5) và bán kính R = 3.
b) Ta có: x2 + y2 – 6x – 2y – 15 = 0
⇔ (x2 – 6x + 9) + (y2 – 2y + 1) – 9 – 1 – 15 = 0
⇔ (x – 3)2 + (y – 1)2 = 25
Do đó, đường tròn đã cho có tâm I(3; 1) và bán kính R = √25 = 5.
Giải bài 3 trang 91 Toán 10 Cánh diều tập 2
Lập phương trình đường tròn trong mỗi trường hợp sau:
a) Đường tròn có tâm I(- 3 ; 4) bán kính R = 9;
b) Đường tròn có tâm I(5 ;-2) và đi qua điểm M(4;- 1);
c) Đường tròn có tâm I(1;- 1) và có một tiếp tuyến là A: 5x- 12y – 1 = 0;
d) Đường tròn đường kính AB với A(3;-4) và B(-1; 6);
e) Đường tròn đi qua ba điểm A(1;1), B(3; 1), C(0; 4).
Lời giải:
a) Phương trình đường tròn là: (x + 3)2 + (y − 4)2 = 81

Vậy phương trình đường tròn đi qua 3 điểm A,B, C là: (x − 2)2 + (y − 3)2 = 5
Giải bài 4 trang 92 Toán 10 Cánh diều tập 2
Lập phương trình tiếp tuyến tại điểm có hoành độ bằng 3 thuộc đường tròn
(x + 2)2 + (y + 7)2 = 169.
Lời giải:
Ta có: (x + 2)2 + (y + 7)2 = 169 ⇔ (x – (–2))2 + (y – (–7))2 = 132.
Do đó, đường tròn đã cho có tâm I(– 2; – 7) và bán kính R = 13.
Hoành độ của tiếp điểm là 3 hay x = 3, thay vào phương trình đường tròn ta được:
(3 + 2)2 + (y + 7)2 = 169 ⇔ (y + 7)2 = 144 ⇔ (y + 7)2 = 122
Suy ra y + 7 = 12 hoặc y + 7 = – 12
Suy ra y = 5 hoặc y = – 19.
Do đó ta tìm được các điểm thuộc đường tròn có hoành độ bằng 3 là A(3; 5) và B(3; – 19).
Phương trình tiếp tuyến của đường tròn tâm I(– 2; – 7) tại điểm A(3; 5) là
(3 + 2)(x – 3) + (5 + 7)(y – 5) = 0
⇔ 5x – 15 + 12y – 60 = 0
⇔ 5x + 12y – 75 = 0.
Phương trình tiếp tuyến của đường tròn tại B(3; – 19) là
(3 + 2)(x – 3) + (– 19 + 7)(y – (– 19)) = 0
⇔ 5x – 15 – 12y – 228 = 0
⇔ 5x – 12y – 243 = 0.
Vậy các phương trình tiếp tuyến thỏa mãn là 5x + 12y – 75 = 0; 5x – 12y – 243 = 0.
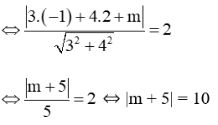
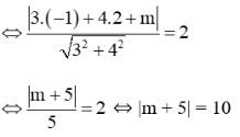
Giải bài 5 trang 92 Toán 10 Cánh diều tập 2
Tìm m sao cho đường thẳng 3x + 4y + m = 0 tiếp xúc với đường tròn
(x + 1)2 + (y – 2)2 = 4.
Lời giải:
Ta có: (x + 1)2 + (y – 2)2 = 4 ⇔ (x – (– 1))2 + (y – 2)2 = 22.
Đường tròn đã cho có tâm I(– 1; 2) và bán kính R = 2.
Gọi đường thẳng d có phương trình 3x + 4y + m = 0, đường thẳng này tiếp xúc với đường tròn đã cho khi và chỉ khi khoảng cách từ tâm I của đường tròn đến đường thẳng bằng bán kính của đường tròn hay d(I, d) = R

Suy ra m + 5 = 10 hoặc m + 5 = – 10
Suy ra m = 5 hoặc m = – 15.
Vậy m = 5, m = – 15 thì thỏa mãn yêu cầu bài toán.
Giải bài 6 trang 92 Toán 10 Cánh diều tập 2
Hình 46 mô phỏng một trạm thu phát sóng điện thoại di động đặt ở vị trí I có toạ độ (– 2; 1) trong mặt phẳng toạ độ (đơn vị trên hai trục là ki-lô-mét).

a) Lập phương trình đường tròn mô tả ranh giới bên ngoài của vùng phủ sóng, biết rằng trạm thu phát sóng đó được thiết kế với bán kính phủ sóng 3 km.
b) Nếu người dùng điện thoại ở vị trí có toạ độ (– 1; 3) thì có thể sử dụng dịch vụ của trạm này không? Giải thích.
c) Tính theo đường chim bay, xác định khoảng cách ngắn nhất để một người ở vị trí có toạ độ (– 3; 4) di chuyển được tới vùng phủ sóng theo đơn vị ki-lô-mét (làm tròn kết quả đến hàng phần mười).
Lời giải:
a) Đường tròn mô tả ranh giới bên ngoài của vùng phủ sóng có tâm I(– 2; 1) và bán kính R = 3.
Do đó, phương trình đường tròn cần lập là (x + 2)2 + (y – 1)2 = 9.
b) Khoảng cách từ tâm I của đường tròn ranh giới tới vị trí có tọa độ (– 1; 3) là
![]()
Vì √5 < 3 nên d < R.
Do đó, vị trí có tọa độ (-1; 3) nằm bên trong đường tròn mô tả ranh giới bên ngoài của vùng phủ sóng.
Vậy người dùng điện thoại ở vị trí có tọa độ (-1; 3) có thể sử dụng dịch vụ của trạm này.
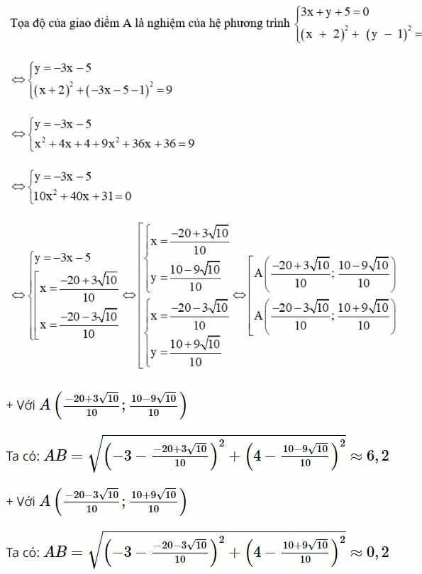
c) Gọi vị trí người đó đang đứng là B(– 3; 4).
Ta có:
\(\vec{BI}=(-2-(-3);1-4)=(1;-3)\),
\(BI=\sqrt{1^{2}+(-3)^{2} } =\sqrt{10}\).
BI > R nên B nằm ngoài đường tròn ranh giới, giả sử đường thẳng BI cắt đường tròn tại điểm A, khi đó AB là khoảng cách ngắn nhất từ B đến vùng phủ sóng.
Ta cần tìm tọa độ điểm A.
Đường thẳng BI có một vectơ chỉ phương là vectơ
\(\vec{BI}\) nên nó có một vectơ pháp tuyến là
\(\vec{n}=(3;1)\). Do đó, phương trình đường thẳng BI là 3(x + 3) + 1(y – 4) = 0 hay 3x + y + 5 = 0.

Do 0,2 < 6,2 nên ta chọn kết quả 0,2.
Vậy tính theo đường chim bay, khoảng cách ngắn nhất để một người ở vị trí có toạ độ (– 3; 4) di chuyển được tới vùng phủ sóng là 0,2 km.
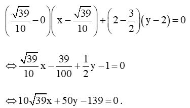
Giải bài 7 trang 92 Toán 10 Cánh diều tập 2
Ném đĩa là một môn thể thao thi đấu trong Thế vận hội Olympic mùa hè. Khi thực hiện cú ném, vận động viên thường quay lưng lại với hướng ném, sau đó xoay ngược chiều kim đồng hồ một vòng rưỡi của đường tròn để lấy đà rồi thả tay ra khỏi đĩa. Giả sử đĩa chuyển động trên một đường tròn tâm
\(I(0;\frac{3}{2})\) bán kính 0,8 trong mặt phẳng tọa độ Oxy (đơn vị trên hai trục là mét). Đến điểm
\(M(\frac{\sqrt{39} }{10};2)\), đĩa được ném đi (Hình 47). Trong những giây đầu tiên ngay sau khi được ném đi, quỹ đạo chuyển động của chiếc đĩa có phương trình như thế nào?

Lời giải:
Đĩa chuyển động trên một đường tròn tâm I(0;32)I0;32 bán kính 0,8; đến điểm
\(M(\frac{\sqrt{39} }{10};2)\), đĩa được ném đi, do đó trong những giây đầu tiên sau khi ném đi, đĩa chuyển động trên một đường thẳng là tiếp tuyến của đường tròn tâm I, bán kính 0,8 tại tiếp điểm M.
Phương trình tiếp tuyến của đường tròn tâm I tại tiếp điểm M là

Vậy trong những giây đầu tiên ngay sau khi được ném đi, quỹ đạo chuyển động của chiếc đĩa có phương trình là 10√39x + 50y − 139 = 0.
---------------------
VnDoc.com vừa gửi tới bạn đọc bài viết Giải Toán 10 Bài 5: Phương trình đường tròn CD. Hi vọng qua đây bạn đọc có thêm nhiều tài liệu để học tập nhé. Mời các bạn cùng tham khảo thêm tài liệu học tập các môn Ngữ văn 10 CD, Tiếng Anh 10...