Giải Toán 10 Bài 1: Tọa độ của vectơ CD
Giải Toán 10 Chương 7 Bài 1: Tọa độ của vectơ CD
- Giải bài 1 trang 65 SGK Toán 10 Cánh diều tập 2
- Giải bài 2 trang 65 SGK Toán 10 Cánh diều tập 2
- Giải bài 3 trang 65 SGK Toán 10 Cánh diều tập 2
- Giải bài 4 trang 65 SGK Toán 10 Cánh diều tập 2
- Giải bài 5 trang 66 SGK Toán 10 Cánh diều tập 2
- Giải bài 6 trang 66 SGK Toán 10 Cánh diều tập 2
- Giải bài 7 trang 66 SGK Toán 10 Cánh diều tập 2
Giải Toán 10 Bài 1: Tọa độ của vectơ CD được VnDoc.com sưu tầm và xin gửi tới bạn đọc. Bài viết hướng dẫn bạn đọc trả lời các câu hỏi trong SGK Toán 10 Cánh diều tập 2. Mời các bạn cùng theo dõi bài viết dưới đây.
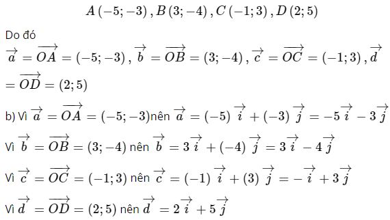
Giải bài 1 trang 65 SGK Toán 10 Cánh diều tập 2
Tìm tọa độ của các vecto trong Hình 16 và biểu diễn mỗi vecto đó qua hai vecto
\(\vec{i} ,\vec{j}\)

Lời giải chi tiết

Dựa vào hình vẽ, ta thấy tọa độ của 4 điểm A, B, C, D là:

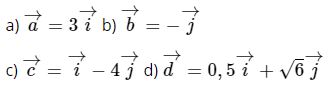
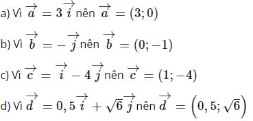
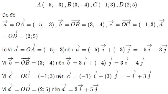
Giải bài 2 trang 65 SGK Toán 10 Cánh diều tập 2
Tìm tọa độ của các vecto sau:

Lời giải chi tiết

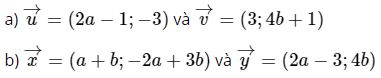
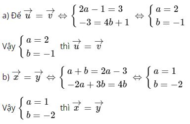
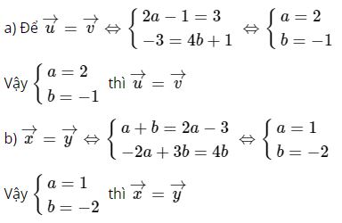
Giải bài 3 trang 65 SGK Toán 10 Cánh diều tập 2
Tìm các cặp số thực a và b sao cho mỗi cặp vecto sau bằng nhau:

Lời giải chi tiết

Giải bài 4 trang 65 SGK Toán 10 Cánh diều tập 2
Trong mặt phẳng toạ độ Oxy, cho ba điểm A(2;3), B(-1; 1), C(3;- 1).
a) Tìm toạ độ điểm M sao cho
\(\vec{AM} =\vec{BC}\).
b) Tìm toạ độ trung điểm N của đoạn thẳng AC. Chứng minh
\(\vec{BN} =\vec{NM}\).
Lời giải chi tiết

Giải bài 5 trang 66 SGK Toán 10 Cánh diều tập 2
Trong mặt phẳng toạ độ Oxy, cho điểm M(-1; 3).
a) Tìm toạ độ điểm A đối xứng với điểm M qua gốc O.
b) Tìm toạ độ điểm B đối xứng với điểm M qua trục Ox.
c) Tìm toạ độ điểm C đối xứng với điểm M qua trục Oy.
Lời giải chi tiết
a) Dựa vào hình vẽ ta thấy A(1; −3)

b) Dựa vào hình vẽ ta thấy B(−1; −3)

c) Dựa vào hình vẽ ta thấy C(1; 3)

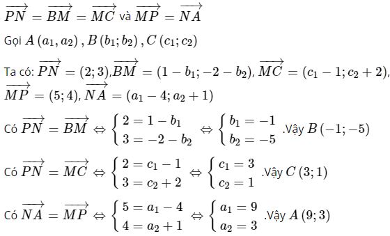
Giải bài 6 trang 66 SGK Toán 10 Cánh diều tập 2
Trong mặt phẳng toạ độ Oxy, cho ba điểm không thẳng hàng A(- 3 ; 1), B(-1; 3), I(4;2). Tìm toạ độ của hai điểm C, D sao cho tứ giác ABCD là hình bình hành nhận I làm tâm đối xứng.
Lời giải chi tiết

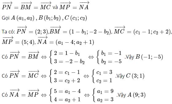
Giải bài 7 trang 66 SGK Toán 10 Cánh diều tập 2
Trong mặt phẳng toạ độ Oxy, cho tam giác ABC. Các điểm M(1;- 2), N(4;- 1) và P(6 ; 2) lần lượt là trung điểm của các cạnh BC, CA, AB. Tìm toạ độ của các điểm A, B, C.
Lời giải chi tiết
Theo tích chất đường trung bình trong một tam giác ta có:

---------------------
VnDoc.com vừa gửi tới bạn đọc bài viết Giải Toán 10 Bài 1: Tọa độ của vectơ CD. Hi vọng qua đây bạn đọc có thêm nhiều tài liệu để học tập nhé. Mời các bạn cùng tham khảo thêm tài liệu học tập các môn Ngữ văn 10 CD, Tiếng Anh 10...