Giải Toán 10 Bài 4: Nhị thức Newton CD
Giải Toán 10 Bài 4: Nhị thức Newton
Giải Toán 10 Bài 4: Nhị thức Newton CD được VnDoc.com sưu tầm và xin gửi tới bạn đọc. Bài viết hướng dẫn bạn đọc trả lời các câu hỏi trong SGK Toán 10 Cánh diều tập 2. Mời các bạn cùng theo dõi bài viết dưới đây.
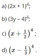
Giải bài 1 trang 19 SGK Toán 10 Cánh diều tập 2
Khai triển các biểu thức sau:

Lời giải:

Giải bài 2 trang 19 SGK Toán 10 Cánh diều tập 2
Khai triển các biểu thức sau:
a) (x + 1)5;
b) (x – 3y)5.
Lời giải:
a) (x + 1)5 = x5 + 5 . x4 . 1 + 10 . x3 . 12 + 10 . x2 . 13 + 5 . x . 14 + 15
= x5 + 5x4 + 10x3 + 10x2 + 5x + 1.
b) (x – 3y)5 = [x + (– 3y)]5
= x5 + 5 . x4 . (– 3y) + 10 . x3 . (– 3y)2 + 10 . x2 . (– 3y)3 + 5 . x . (– 3y)4 + (– 3y)5
= x5 – 15x4y + 90x3y2 – 270x2y3 + 405xy4 – 243y5.
Giải bài 3 trang 19 SGK Toán 10 Cánh diều tập 2
Xác định hệ số của x4 trong khai triển biểu thức (3x + 2)5.
Lời giải:
Số hạng chứa x4 trong khai triển biểu thức (3x + 2)5 là
\(C_{5}^{1}\) .3x4.2 .
Ta có:
\(C_{5}^{1}\).(3x)4.2 = 5.81.2.x4 = 810x4
Vậy hệ số của x4 trong khai triển biểu thức (3x + 2)5 là 810.
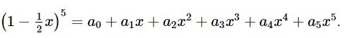
Giải bài 4 trang 19 SGK Toán 10 Cánh diều tập 2
Cho

Tính:
a) a3;
b) a0 + a1 + a2 + a3 + a4 + a5.
Lời giải:
Áp dụng nhị thức Newton ta có:

a) a3 chính là hệ số của x3 trong khai triển biểu thức
\(\begin{pmatrix} 1-\frac{1}{2} x \end{pmatrix} ^{5}\) .
Do đó,
\(a_{3} =\frac{-5}{4}\) .
b) Tương tự câu a, ta có: a0 = 1,
\(a_{1} =\frac{-5}{2}\) ,
\(a_{2} =\frac{5}{2}\),
\(a_{4} =\frac{5}{16}\),
\(a_{5} =\frac{-1}{32}\).
Do đó, ![]()
Vậy a0 + a1 + a2 + a3 + a4 + a5 =
\(\frac{1}{32}\)
Giải bài 5 trang 19 SGK Toán 10 Cánh diều tập 2
Cho tập hợp A có 5 phần tử. Số tập hợp con của A là bao nhiêu?
Lời giải:
Mỗi cách trích ra một tập con gồm a phần tử trong 5 phần tử của A chính là một tổ hợp chập a của 5, hay số tập con gồm a phần tử của A là
\(C_{5}^{a}\).
Số tập hợp con có 0 phần tử của A là
\(C_{5}^{0}\)
Số tập hợp con có 1 phần tử của A là
\(C_{5}^{1}\).
Số tập hợp con có 2 phần tử của A là
\(C_{5}^{2}\).
Số tập hợp con có 3 phần tử của A là
\(C_{5}^{3}\).
Số tập hợp con có 4 phần tử của A là
\(C_{5}^{4}\).
Số tập hợp con có 5 phần tử của A là
\(C_{5}^{5}\).
Do đó, số tập hợp con của A là:
\(C_{5}^{0}+C_{5}^{1}+C_{5}^{2}+C_{5}^{3}+C_{5}^{4}+C_{5}^{5}=32\).
Vậy tập hợp A có 32 tập hợp con.
---------------------
VnDoc.com vừa gửi tới bạn đọc bài viết Giải Toán 10 Bài 4: Nhị thức Newton CD. Hi vọng qua đây bạn đọc có thêm nhiều tài liệu để học tập nhé. Mời các bạn cùng tham khảo thêm tài liệu học tập các môn Ngữ văn 10 CD, Tiếng Anh 10...