Câu 1, Có bao nhiêu cách chọn ra 3 học sinh từ một nhóm có 5 học sinh?
Luyện đề minh họa 2021 môn Toán trực tuyến giúp bạn dễ dàng đánh giá trực tiếp khả năng của bản thân thông qua bài thi, để có định hướng học tập và ôn luyện thi THPT Quốc gia môn Toán.
Điểm khả dụng: 0 điểm
Bạn sẽ dùng 50 điểm để đổi lấy 1 lượt làm bài.
Bạn không đủ điểm để đổi.
Câu 1, Có bao nhiêu cách chọn ra 3 học sinh từ một nhóm có 5 học sinh?
Câu 2.
Cho cấp số cộng (Câu 3

Câu 4
Câu 5
Câu 6.
Tiệm cận đứng của đồ thị hàm số y=Câu 7
Câu 8.
Đồ thị của hàm số y=Câu 9
Câu 10
Đạo hàm của hàm số y=Câu 11.
Với a là số thực dương tùy ý,Câu 12.
Nghiệm của phương trình =25 là:
Câu 13.
Nghiệm của phương trình log2, (3x)=3 là:
Câu 14
Câu 15
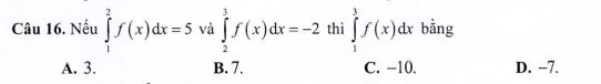
Câu 16
Câu 17
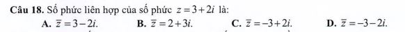
Câu 18.
![]()
Câu 19
Cho hai số phức z=3+i và w=2+3i. Số phức z-w bằngCâu 20.
Trên mặt phẳng tọa độ, điểm biểu diễn số phức 3–2i có tọa độ làCâu 21.
Một khối chóp có diện tích đáy bằng 6 và chiều cao bằng 5. Thể tích của khối chóp đó bằngCâu 22.
Thể tích của khối hộp chữ nhật có ba kích thước 2;3;7 bằngCâu 23
Công thức tính thể tích V của khối nón có bán kính đáy r và chiều cao h là:Câu 24.
Một hình trụ có bán kính đáy r = 4cm và độ dài đường sinh 1 = 3 cm. Diện tích xung quanh của hình trụ đó bằngCâu 25.
Trong không gian Oxyz, cho hai điểm A(1;1;2) và B(3;1;0). Trung điểm của đoạn thẳng AB có tọa độ là
Câu 26
Trong không gian Oxyz, mặt cầu (S):x2 +(y-1)2 + z2 = 9 có bán kính bằng
Câu 27
Trong không gian Oxyz, mặt phẳng nào dưới đây đi qua điểm M(1;-2;1)?
Câu 28
Câu 29
Chọn ngẫu nhiên một số trong 15 số nguyên dương đầu tiên. Xác suất để chọn được số chẵn bằngCâu 30
Câu 31
Đang tải...
Theo Nghị định 147/2024/ND-CP, bạn cần xác thực tài khoản trước khi sử dụng tính năng này. Chúng tôi sẽ gửi mã xác thực qua SMS hoặc Zalo tới số điện thoại mà bạn nhập dưới đây: