Toán 11 Cánh Diều bài tập cuối chương 3
Từ năm học mới 2023 - 2024, Chương trình Toán lớp 11 sẽ được giảng dạy theo 3 bộ sách: Chân trời sáng tạo; Kết nối tri thức với cuộc sống và Cánh diều. Để giúp các thầy cô và các em học sinh làm quen với từng bộ sách mới, VnDoc xin giới thiệu tài liệu Toán 11 Cánh Diều bài tập cuối chương 3. Mời quý bạn đọc cùng tham khảo.
Giải Toán 11 Cánh Diều trang 79, 80
1. Bài tập 1 trang 79 sgk Toán 11 tập 1 Cánh diều
Cho hàm số y = f(x) xác định trên khoảng (a; b) và x0 ∈ (a; b). Điều kiện cần và đủ để hàm số y = f(x) liên tục tại x0 là:
A. limx→x0+fx=fx0;
B. limx→x0−fx=fx0;
C. limx→x0+fx=limx→x0−fx;
D. limx→x0+fx=limx→x0−fx=fx0.
Lời giải:
Chọn đáp án D
2. Bài tập 2 trang 79 sgk Toán 11 tập 1 Cánh diều
Tính các giới hạn sau:
a)
\(\lim \frac{2n^{2}+6n+1}{8n^{2}+5}\);
b)
\(\lim \frac{4n^{2}-3n+1}{-3n^{3}+6n^{2}-2}\);
c)
\(\lim \frac{\sqrt{4n^{2}-n+3}}{8n-5}\);
d)
\(\lim (4-\frac{2^{n+1}}{3^{n}})\);
e)
\(\lim \frac{4.5^{n}+2^{n+2}}{6.5^{n}}\);
g)
\(\lim \frac{2+\frac{4}{n^{3}}}{6^{n}}\).
Lời giải:
a)
\(\lim \frac{2n^{2}+6n+1}{8n^{2}+5}=\lim \frac{2+\frac{6}{n}+\frac{1}{n^{2}}}{8+\frac{5}{n^{2}}}=\frac{1}{4}\);
b)
\(\lim \frac{4n^{2}-3n+1}{-3n^{3}+6n^{2}-2}=\lim \frac{n^{2}(4-\frac{3}{n}+\frac{1}{n^{2}})}{n^{3}(-3+\frac{6}{n}-\frac{2}{n^{3}})}=\lim\frac{1}{n}.(-\frac{4}{3})=0\);
c)
\(\lim \frac{\sqrt{4n^{2}-n+3}}{8n-5}=\lim\frac{\sqrt{4-\frac{1}{n}+\frac{3}{n^{2}}}}{8-\frac{5}{n}}=\frac{1}{4}\);
d)
\(\lim (4-\frac{2^{n+1}}{3^{n}})=\lim(4-(\frac{2}{3})^{n}.2)=4\);
e)
\(\lim \frac{4.5^{n}+2^{n+2}}{6.5^{n}}=\lim (\frac{2}{3}+\frac{2}{3}.(\frac{2}{5})^{n})=\frac{2}{3}\);
g)
\(\lim \frac{2+\frac{4}{n^{3}}}{6^{n}}=\frac{2+0}{+\infty}=0\).
3. Bài tập 3 trang 79 sgk Toán 11 tập 1 Cánh diều
Tính các giới hạn sau:
a)
\(\lim_{x\rightarrow -3}(4x^{2}-5x+6)\);
b)
\(\lim_{x\rightarrow 2}\frac{2x^{2}-5x+2}{x-2}\);
c)
\(\lim_{x\rightarrow 4}\frac{\sqrt{x}-2}{x^{2}-16}\).
Lời giải:
a)
\(\lim_{x\rightarrow -3}(4x^{2}-5x+6)=57\);
b)
\(\lim_{x\rightarrow 2}\frac{2x^{2}-5x+2}{x-2}=\lim_{x\rightarrow 2}\frac{(x-2)(x-\frac{1}{2})}{x-2}=2-\frac{1}{2}=\frac{3}{2}\);
c)
\(\lim_{x\rightarrow 4}\frac{\sqrt{x}-2}{x^{2}-16}=\lim_{x\rightarrow 4}\frac{\sqrt{x}-2}{(\sqrt{x}-2)(\sqrt{x}+2)(x+4)}=\lim\frac{1}{(\sqrt{x}+2)(x+4)}=\frac{1}{32}\)
4. Bài tập 4 trang 79 sgk Toán 11 tập 1 Cánh diều
Tính các giới hạn sau:
a)
\(\lim_{x\rightarrow -\infty}\frac{6x+8}{5x-2}\);
b)
\(\lim_{x\rightarrow +\infty}\frac{6x+8}{5x-2}\);
c)
\(\lim_{x\rightarrow -\infty}\frac{\sqrt{9x^{2}-x+1}}{3x-2}\);
d)
\(\lim_{x\rightarrow +\infty}\frac{\sqrt{9x^{2}-x+1}}{3x-2}\);
e)
\(\lim_{x\rightarrow -2^{-}}\frac{3x^{2}+4}{2x+4}\);
g)
\(\lim_{x\rightarrow -2^{+}}\frac{3x^{2}+4}{2x+4}\).
Lời giải:
a)
\(\lim_{x\rightarrow -\infty}\frac{6x+8}{5x-2}=\frac{6}{5}\);
b)
\(\lim_{x\rightarrow +\infty}\frac{6x+8}{5x-2}=\frac{6}{5}\);
c)
\(\lim_{x\rightarrow -\infty}\frac{\sqrt{9x^{2}-x+1}}{3x-2}=1\);
d)
\(\lim_{x\rightarrow +\infty}\frac{\sqrt{9x^{2}-x+1}}{3x-2}=1\);
e)
\(\lim_{x\rightarrow -2^{-}}\frac{3x^{2}+4}{2x+4}=-\infty\);
g)
\(\lim_{x\rightarrow -2^{+}}\frac{3x^{2}+4}{2x+4}=+\infty\).
5. Bài tập 5 trang 79 sgk Toán 11 tập 1 Cánh diều
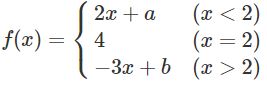
Cho hàm số

a) Với
\(a=0, b=1\), xét tính liên tục của hàm số tại
\(x=2\).
b) Với giá trị nào của
\(a, b\) thì hàm số liên tục tại
\(x=2\)?
c) Với giá trị nào của
\(a, b\) thì hàm số liên tục trên tập xác định?
Lời giải:
a) Ta có: a=0, b=1 thì 
Có:
\(f(2)=4\)
\(\lim_{x\rightarrow 2^{-}} f(x)=2.2=4\)
\(\lim_{x\rightarrow 2^{+}} f(x)=-3.2+1=-5\)
Do đó:
\(\lim_{x\rightarrow 2^{+}} f(x)\neq \lim_{x\rightarrow 2^{-}} f(x)=f(2)\)
Vậy hàm số không liên tục tại
\(x=2\).
b) Ta có:
\(f(2)=4\)
\(\lim_{x\rightarrow 2^{-}} f(x)=4+a\)
\(\lim_{x\rightarrow 2^{+}} f(x)=-6+b\)
Để hàm số liên tục tại
\(x=2\) thì:
\(4+a=-6+b=4\Leftrightarrow a=0; b=10\).
Vậy
\(a=10; b=0\) thì hàm số liên tục tại
\(x=2\).
c) TXĐ:
\(\mathbb{R}\)
Do
\(f(x)=2x+a\) nếu
\(x< 2\) nên hàm số liên tục trên khoảng
\((-\infty,2)\).
Do
\(f(x)=-3x+b\) nếu
\(x> 2\) nên hàm số liên tục trên khoảng
\((2,+\infty)\).
Nếu
\(a=0; b=10\) thì hàm số liên tại điểm
\(x=2\).
Do đó khi
\(a=0; b=10\) thì hàm số liên tục trên
\(\mathbb{R}\).
6. Bài tập 6 trang 80 sgk Toán 11 tập 1 Cánh diều
Từ độ cao 55, 8 m của tháp nghiêng Pisa nước Ý, người ta thả một quả bóng cao su chạm xuống đất (Hình 18). Giả sử mỗi lần chạm đất quả bóng lại nảy lên độ cao bằng
\(\frac{1}{10}\) độ cao mà quả bóng đạt được trước đó. Gọi
\(S_{n}\) là tổng độ dài quãng đường di chuyển của quả bóng tính từ lúc thả ban đầu cho đến khi quả bóng đó chạm đất
\(n\) lần. Tính
\(\lim S_{n}\).

Lời giải:
\(S_{n} = \frac{55,8\left [ 1-(1-\frac{1}{10})^{n} \right ]}{1-(1-\frac{1}{10})}=558(1-0,9^{n})\)
Suy ra:
\(\lim S_{n}= \lim 558(1-0,9^{n})=558\)
7. Bài tập 7 trang 80 sgk Toán 11 tập 1 Cánh diều
Cho một tam giác đều
\(ABC\) cạnh
\(a\). Tam giác
\(A_{1}B_{1}C_{1}\) có các đỉnh là trung điểm các cạnh của tam giác
\(ABC\), tam giác
\(A_{2}B_{2}C_{2}\) có các đỉnh là trung điểm các cạnh của tam giác
\(A_{1}B_{1}C_{1}\), ..., tam giác
\(A_{n+1}B_{n+1}C_{n+1}\) có các đỉnh là trung điểm các cạnh của tam giác
\(A_{n}B_{n}C_{n}\), ... Gọi
\(p_{1}, p_{2},\) ...,
\(p_{n}\), ... và
\(S_{1}, S_{2},\) ...,
\(S_{n}\), ... theo thứ tự là chu vi và diện tích của các tam giác
\(A_{1}B_{1}C_{1}, A_{2}B_{2}C_{2}\), ...,
\(A_{n}B_{n}C_{n}\), ... .
a) Tìm giới hạn của các dãy số (
\(p_{n}\)) và (
\(S_{n}\)).
b) Tìm các tổng
\(p_{1}+p_{2}+\)...
\(+p_{n}+\)... và
\(S_{1}+S_{2}+\)...
\(+S_{n}+\)... .
Lời giải:
a) Ta có:
\(p_{1}=\frac{a}{2}+\frac{a}{2}+\frac{a}{2}=\frac{3a}{2}\),
\(p_{2}=\frac{3a}{4}\),
\(p_{n}=\frac{3a}{2^{n}}\)
Suy ra:
\(\lim p_{n}=\lim 3a.\frac{1}{2^{n}}=0\)
Có:
\(S_{ABC}=\frac{a^{2}\sqrt{3}}{4}\),
\(S_{A_{1}B_{1}C_{1}}=\frac{S}{4}\),
\(S_{n}=\frac{a^{2}\sqrt{3}}{4}.(\frac{1}{4})^{n}\)
Suy ra:
\(\lim S_{n}=\lim \frac{a^{2}\sqrt{3}}{4}.(\frac{1}{4})^{n}=0\)
b)
\((p_{n})\) là cấp số nhân lùi vô hạn với công bội
\(q=\frac{1}{2}\), ta có:
\(p_{1}+p_{2}+\)...
\(+p_{n}+\)...=
\(\frac{p_{1}}{1-\frac{1}{2}}=2p_{1}=3a\)
(S_{n}) là cấp số nhân lùi vô hạn với công bội
\(q=\frac{1}{4}\)
\(S_{1}+S_{2}+\)...
\(+S_{n}+\)...=
\(\frac{S_{1}}{1-\frac{1}{4}}=\frac{4}{3}S_{1}=\frac{S}{3}=\frac{a^{2}\sqrt{3}}{12}\)
8. Bài tập 8 trang 80 sgk Toán 11 tập 1 Cánh diều
Một thấu kính hội tụ có tiêu cự là
\(f\). Gọi
\(d\) và
\(d'\) lần lượt là khoảng cách từ một vật thật
\(AB\) và từ ảnh
\(A'B'\) của nó tới quang tâm O của thấu kính như Hình 19. Công thức thấu kính là
\(\frac{1}{d}+\frac{1}{d'}=\frac{1}{f}\).
a) Tìm biểu thức xác đinh hàm số
\(d'=\varphi (d)\).
b) Tìm
\(\lim_{d\rightarrow f^{+}}\varphi (d), \lim_{d\rightarrow f^{-}}\varphi (d), \lim_{d\rightarrow f}\varphi (d)\). Giải thích ý nghĩa của các kết quả tìm được.

Lời giải:
a) Thấu kính hội tụ có tiêu cự f
\(\frac{1}{d}+\frac{1}{d'}=\frac{1}{f} \Rightarrow \frac{1}{d'}=\frac{1}{f}-\frac{1}{d}=\frac{d-f}{fd}\Rightarrow d'=\frac{fd}{d-f}=\varphi (d)\)
b) -
\(\lim_{d\rightarrow f^{+}}\varphi (d)=\lim_{d\rightarrow f^{+}}\frac{fd}{d-f}\)
Ta có:
\(\lim_{d\rightarrow f^{+}}(fd)=f^{2}\);
\(\lim_{d\rightarrow f^{+}}(d-f)=0\);
\(d-f> 0\) khi
\(d\rightarrow f^{+}\).
Suy ra:
\(\lim_{d\rightarrow f^{+}}\varphi (d)=+\infty\).
Ý nghĩa: Khi đặt vật nằm ngoài tiêu cự và tiến dần đến tiêu điểm thì cho ảnh thật ngược chiều với vật ở vô cùng.
-
\(\lim_{d\rightarrow f^{-}}\varphi (d)=\lim_{d\rightarrow f^{-}}\frac{fd}{d-f}=-\infty\)
Ý nghĩa: Khi đặt vật nằm trong tiêu cự và tiến dần đến tiêu điểm thì cho ảnh ảo cùng chiều với vật và nằm ở vô cùng.
-
\(\lim_{d\rightarrow +\infty}\varphi (d)=\lim_{d\rightarrow +\infty}\frac{fd}{d-f}=\lim_{d\rightarrow +\infty}\frac{f}{1-\frac{f}{d}}=f\)
Ý nghĩa: Khi vật được đặt ở xa vô cùng thì sẽ cho ảnh tại tiêu điểm.
-------------------
Trên đây VnDoc.com vừa gửi tới bạn đọc bài viết Toán 11 Cánh Diều bài tập cuối chương 3. Hi vọng qua bài viết này bạn đọc có thêm tài liệu để học tập tốt hơn môn Toán 11 Cánh Diều.