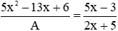
Bài 1:
Thực hiện phép tính:
Để giúp các em củng cố kiến thức được học trong chương 2 Đại số 8, VnDoc gửi tới các bạn Trắc nghiệm Ôn tập Chương 2 Phân thức đại số. Đây là bài tập trắc nghiệm online cho các bạn trực tiếp làm bài và kiểm tra kết quả ngay sau khi làm xong. Bộ câu hỏi gồm 10 câu hỏi trắc nghiệm Toán 8 sẽ giúp các bạn học sinh ôn tập và củng cố kiến thức được học về Phép chia các phân thức đại số, từ đó luyện giải Toán 8 hiệu quả. Sau đây mời các bạn làm bài.
Mời các bạn luyện thêm các bài trắc nghiệm khác tại chuyên mục Trắc nghiệm lớp 8 trên VnDoc nhé.
Điểm khả dụng: 0 điểm
Bạn sẽ dùng 50 điểm để đổi lấy 1 lượt làm bài.
Bạn không đủ điểm để đổi.
Bài 1:
Thực hiện phép tính:
Bài 2:
Tìm các giá trị của của x để giá trị phân thức
sau có giá trị bằng 0?
Bài 3:
Rút gọn biểu thức 
Bài 4:
Tính giá trị biểu thức
biết x 2 - 4x + 1 = 0
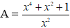
Bài 5.
Cho biểu thức
. Rút gọn A
Bài 6:
Tìm đa thức M thỏa mãn 
Bài 7.
Dùng định nghĩa hai phân thức bằng nhau, hãy tìm đa thức A biết
?
Bài 8.
Biểu thức nào sau đây không phải là phân thức đại số ?
Bài 9:
Với giá trị nào của x thì hai phân thức (x - 2)/(x2 - 5x + 6) và 1/(x - 3) bằng nhau ?
Bài 10:
Giá trị lớn nhất của phân thức
Theo Nghị định 147/2024/ND-CP, bạn cần xác thực tài khoản trước khi sử dụng tính năng này. Chúng tôi sẽ gửi mã xác thực qua SMS hoặc Zalo tới số điện thoại mà bạn nhập dưới đây: