Bài 1:
Mẫu thức chung của các phân thức
là?
Quy đồng mẫu thức nhiều phân thức là phần nội dung Bài 4 Chương 2 Đại số 8. Để giúp các em củng cố kiến thức phần này, VnDoc gửi tới các bạn Trắc nghiệm Quy đồng mẫu thức nhiều phân thức. Đây là bài tập trắc nghiệm online cho các bạn trực tiếp làm bài và kiểm tra kết quả ngay sau khi làm xong. Bộ câu hỏi gồm 10 câu hỏi trắc nghiệm Toán 8 sẽ giúp các bạn học sinh ôn tập và củng cố kiến thức được học về Quy đồng mẫu thức nhiều phân thức, từ đó luyện giải Toán 8 hiệu quả. Sau đây mời các bạn làm bài.
Mời các bạn luyện thêm các bài trắc nghiệm khác tại chuyên mục Trắc nghiệm lớp 8 trên VnDoc nhé.
Điểm khả dụng: 0 điểm
Bạn sẽ dùng 50 điểm để đổi lấy 1 lượt làm bài.
Bạn không đủ điểm để đổi.
Bài 1:
Mẫu thức chung của các phân thức
là?
Bài 2:
Mẫu thức chung của các phân thức
là?
Bài 3:
Đa thức nào sau đây là mẫu thức chung của các phân thức
?
Bài 4:
Đa thức nào sau đây là mẫu thức chung của các phân thức
?
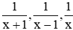
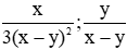
Bài 5:
Các phân thức
có mẫu chung là?
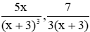
Bài 6:
Các phân thức
có mẫu chung là?
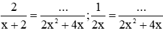
Bài 7:
Cho
. Điền vào chỗ trống để được các phân thức có cùng mẫu. Hãy chọn câu đúng?
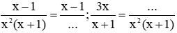
Bài 8:
Cho
. Điền vào chỗ trống để được các phân thức có cùng mẫu. Hãy chọn câu đúng?
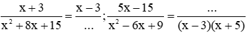
Bài 9:
Để có các phân thức có cùng mẫu, ta cần điền vào các chỗ trống:

Các đa thức lần lượt là?
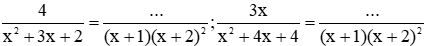
Bài 10:
Để có các phân thức có cùng mẫu, ta cần điền vào các chỗ trống

Các đa thức lần lượt là?
Đang tải...
Theo Nghị định 147/2024/ND-CP, bạn cần xác thực tài khoản trước khi sử dụng tính năng này. Chúng tôi sẽ gửi mã xác thực qua SMS hoặc Zalo tới số điện thoại mà bạn nhập dưới đây: