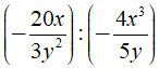
Bài 1.
Cho 
Biểu thức thích hợp điền vào chỗ trống là:
Phép chia các phân thức đại số là phần nội dung Bài 8 Chương 2 Đại số 8. Để giúp các em củng cố kiến thức phần này, VnDoc gửi tới các bạn Trắc nghiệm Phép chia các phân thức đại số. Đây là bài tập trắc nghiệm online cho các bạn trực tiếp làm bài và kiểm tra kết quả ngay sau khi làm xong. Bộ câu hỏi gồm 10 câu hỏi trắc nghiệm Toán 8 sẽ giúp các bạn học sinh ôn tập và củng cố kiến thức được học về Phép chia các phân thức đại số, từ đó luyện giải Toán 8 hiệu quả. Sau đây mời các bạn làm bài.
Mời các bạn luyện thêm các bài trắc nghiệm khác tại chuyên mục Trắc nghiệm lớp 8 trên VnDoc nhé.
Điểm khả dụng: 0 điểm
Bạn sẽ dùng 50 điểm để đổi lấy 1 lượt làm bài.
Bạn không đủ điểm để đổi.
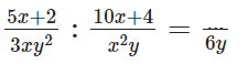
Bài 1.
Cho 
Biểu thức thích hợp điền vào chỗ trống là:
Bài 2:
Cho 
Đa thức thích hợp điền vào chỗ trống là
Bài 3:
Tính giá trị biểu thức 
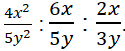
Bài 4:
Tìm phân thức P biết : 
Bài 5:
Điền một phân thức vào chỗ trống của đẳng thức:

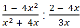
Bài 6:
Làm tính chia phân thức:
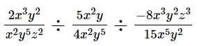
Bài 7:
Thực hiện phép tính sau: 
Bài 8:
Kết quả của phép chia
là ?
Câu 9:
Chọn câu trả lời đúng
Tìm M biết
Câu 10:
Chọn câu trả lời đúng
Đang tải...
Theo Nghị định 147/2024/ND-CP, bạn cần xác thực tài khoản trước khi sử dụng tính năng này. Chúng tôi sẽ gửi mã xác thực qua SMS hoặc Zalo tới số điện thoại mà bạn nhập dưới đây: