Bài 1.
Điền vào chỗ trống đa thức sao cho:

Tính chất của phân thức đại số là phần nội dung Bài 2 Chương 2 Đại số 8. Để giúp các em củng cố kiến thức phần này, VnDoc gửi tới các bạn Trắc nghiệm Tính chất của phân thức đại số. Đây là bài tập trắc nghiệm online cho các bạn trực tiếp làm bài và kiểm tra kết quả ngay sau khi làm xong. Bộ câu hỏi gồm 10 câu hỏi trắc nghiệm Toán 8 sẽ giúp các bạn học sinh ôn tập và củng cố kiến thức được học về Tính chất của phân thức đại số, từ đó luyện giải Toán 8 hiệu quả. Sau đây mời các bạn làm bài.
Mời các bạn luyện thêm các bài trắc nghiệm khác tại chuyên mục Trắc nghiệm lớp 8 trên VnDoc nhé.
Điểm khả dụng: 0 điểm
Bạn sẽ dùng 50 điểm để đổi lấy 1 lượt làm bài.
Bạn không đủ điểm để đổi.
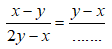
Bài 1.
Điền vào chỗ trống đa thức sao cho:

Bài 2.
Dùng quy tắc đổi dấu, hãy điền đa thức thích hợp vào chỗ trống để được đẳng thức:

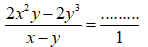
Bài 3:
Áp dụng tính chất cơ bản của phân số, điền đa thức thích hợp vào chỗ trống

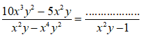
Bài 4.
Điền đa thức thích hợp vào chỗ trống sau:

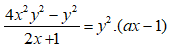
Bài 5.
Điền đa thức thích hợp vào chỗ trống sau:

Bài 6:
Tìm a biết:

Bài 7.
Dùng quy tắc đổi dấu, điền đa thức thích hợp vào chỗ trống

Bài 8:
Cho đẳng thức
. Đa thức A là đa thức nào sau đây?
Bài 9:
Đa thức cần điền vào chỗ trống trong đẳng thức
là:
Bài 10:
Cho đẳng thức
. Đa thức A là đa thức nào sau đây?
Đang tải...
Theo Nghị định 147/2024/ND-CP, bạn cần xác thực tài khoản trước khi sử dụng tính năng này. Chúng tôi sẽ gửi mã xác thực qua SMS hoặc Zalo tới số điện thoại mà bạn nhập dưới đây: