Bài 1:
Tìm x biết a2x - ax + x = a3 + 1?
Rút gọn phân thức là phần nội dung Bài 3 Chương 2 Đại số 8. Để giúp các em củng cố kiến thức phần này, VnDoc gửi tới các bạn Trắc nghiệm Rút gọn phân thức. Đây là bài tập trắc nghiệm online cho các bạn trực tiếp làm bài và kiểm tra kết quả ngay sau khi làm xong. Bộ câu hỏi gồm 10 câu hỏi trắc nghiệm Toán 8 sẽ giúp các bạn học sinh ôn tập và củng cố kiến thức được học về Rút gọn phân thức, từ đó luyện giải Toán 8 hiệu quả. Sau đây mời các bạn làm bài.
Mời các bạn luyện thêm các bài trắc nghiệm khác tại chuyên mục Trắc nghiệm lớp 8 trên VnDoc nhé.
Điểm khả dụng: 0 điểm
Bạn sẽ dùng 50 điểm để đổi lấy 1 lượt làm bài.
Bạn không đủ điểm để đổi.
Bài 1:
Tìm x biết a2x - ax + x = a3 + 1?
Bài 2.
Kết quả của rút gọn biểu thức (6x2y2)/(8xy5) là ?
Bài 3.
Kết quả của rút gọn biểu thức (x2 - 16)/(4x - x2) ( x ≠ 0, x ≠ 4 ) là ?
Bài 4.
Rút gọn phân thức
được kết quả là?
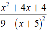
Bài 5.
Rút gọn biểu thức sau:

Bài 6.
Rút gọn biểu thức sau:

Bài 7.
Rút gọn biểu thức sau:

Bài 8:
Mẫu chung của hai phân thức
là
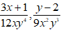
Bài 9:
Mẫu chung của hai phân thức
là
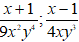
Bài 10:
Mẫu chung của hai phân thức
là
Theo Nghị định 147/2024/ND-CP, bạn cần xác thực tài khoản trước khi sử dụng tính năng này. Chúng tôi sẽ gửi mã xác thực qua SMS hoặc Zalo tới số điện thoại mà bạn nhập dưới đây: