Đề thi Violympic Toán lớp 7 vòng 16 năm 2016 - 2017
Đề thi Violympic Toán lớp 7 vòng 16
Đề thi Violympic Toán lớp 7 vòng 16 năm học 2016 - 2017 bao gồm đáp án chi tiết được VnDoc sưu tầm, biên soạn giúp các em học sinh ôn tập và củng cố kiến thức, nhằm đạt kết quả cao trong các vòng tiếp theo của cuộc thi Violympic giải Toán qua mạng lớp 7 năm học 2016 - 2017. Sau đây mời các em cùng tham khảo chi tiết.
Làm Đề thi Violympic Toán lớp 7 vòng 16 năm 2016 - 2017 online
Đề thi Violympic Toán lớp 7 vòng 16 năm 2016 - 2017
Bài 1: Đập dế
Câu 1: Biết đồ thị hàm số
đi qua điểm
(a là hằng số). Vậy a = ?
A. 2
B. 16
C. 9
D. 4
Câu 2: Tổng các giá trị của x thỏa mãn (x + 15) (x - 2) = 0 bằng bao nhiêu?
A. 13
B. 15
C. -13
D. -15
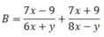
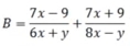
Câu 3: Tính tỉ số y/x biết
với x # 0, y # 25.
A. -5
B. 25
C. -25
D. 5
Câu 4: Thời gian (tính theo phút) thi giải toán nhanh của 20 học sinh lớp 7A được ghi lại ở bảng sau:
![]()
Mốt của dấu hiệu là bao nhiêu?
A. 5
B. 3
C. 6
D. 4
Câu 5: Cho tam giác ABC có góc A tù, AB =25cm, AC = 26cm, và đường cao AH = 24cm. Độ dài cạnh BC là?
A. 7cm
B. 17cm
C. 3cm
D. 13cm
Câu 6: Cho tam giác ABC cân tại A có AB = 10cm, M là trung điểm của BC, AM = 6cm. Phát biểu nào trong các phát biểu sau là sai?

Câu 7: Tính giá trị của biểu thức: A = 3x + 2y + z biết (x-3y)2 + (y-1)2 + (x + z)2 = 0
A. 6
B. -6
C. 8
D. -8
Câu 8: Cho biểu thức: Q(x) = ax2 + bx + c thỏa mãn Q(0) = 1; Q(1) = 6 và Q(2) = 5. Vậy b = ?
A. 6
B. 8
C. 9
D. 7
Câu 9: Số các giá trị của x thỏa mãn
là?
A. 3
B. 0
C. 1
D. 4
Câu 10: Số các chữ số của số a = 512. 46 là?
A. 13
B. 11
C. 12
D. 10
Bài 2: Điền kết quả thích hợp vào chỗ chấm
Câu 1: Cho góc xOy bằng 110 độ. Lấy hai điểm A và B thuộc tia Ox (OA < OB). Lấy các điểm C, D thuộc tia Oy sao cho OC = OA, OD = OB. Gọi G là giao điểm của AC và BC. Số đo góc GOx = ... độ?
Trả lời: ......
Câu 2: Độ dài cạnh góc vuông của một tam giác vuông cân có cạnh huyền bằng
là bao nhiêu m?
Trả lời: ......
Câu 3: Biết rằng y tỷ lệ thuận với x theo hệ số tỉ lệ -1/2; z tỉ lệ thuận với y theo hệ số tỉ lệ là -3/5. Vậy z tỉ lệ thuận với x theo hệ số tỉ lệ là bao nhiêu?
Trả lời: ......
Câu 4: Cho hàm số: f(x) = 5x2 - 6. Tập hợp các giá trị của x để f(x) = 14 là?
Trả lời: ......
Câu 5: Số đo cân nặng của các bạn học sinh (đơn vị: kg) trong một lớp được ghi lại ở bảng sau:
![]()
Số trung bình cộng của dấu hiệu bằng?
Trả lời: ......
Câu 6: Cho tam giác ABC, I là giao hai đường phân giác trong góc B và góc C, J là giao hai đường phân giác ngoài góc B và góc C. Biết góc BIC bằng 125 độ. Vậy số đo góc BJC là bao nhiêu?
Trả lời: ......
Câu 7: Chia số 640 thành 3 phần sao cho phần thứ nhất và phần thứ hai tỉ lệ nghịch với 5 và 2, phần thứ hai và phần thứ ba tỉ lệ nghịch với 3 và 7. Giá trị 3 phần lần lượt là?
Trả lời: ......
Câu 8: Tính tổng x + y biết x và y thỏa mãn ![]()
Trả lời: ......
Câu 9: Cho tam giác ABC vuông ở A (AB < AC), D là điểm trên cạnh AC sao cho góc DBC bằng 45 độ. Vẽ DE vuông góc với BC tại E. Tính số đo góc BAE bằng bao nhiêu độ?
Trả lời: ......
Câu 10:
Cho tam giác ABC vuông tại A. Kẻ AH vuông góc với BC (H thuộc BC). Biết HB = 9cm, HC =16cm. Tính độ dài AH bằng bao nhiêu cm?
Trả lời: ......
Bài 3: 12 con giáp
Câu 1: Độ dài 3 cạnh của một tam giác tỉ lệ với 4, 5, 6. Ba chiều cao tương ứng với ba cạnh đó tỉ lệ với ba số nào?
A. 12; 15; 18
B. 8; 10; 12
C. 15; 12; 10
D. 10; 12; 15
Câu 2: Cho hàm số: y = -1,5x. Biết điểm B(x0;y0) (x0 #2) là một điểm thuộc đồ thị hàm số. Khi đó giá trị của biểu thức K=
bằng bao nhiêu?
Trả lời: ......
Câu 3: Cho x và y thỏa mãn x - y = 9,6x + y # 0 và 8x - y # 0. Khi đó giá trị của biểu thức
bằng bao nhiêu?
Trả lời: ......
Câu 4: Một tam giác cân có góc ở đỉnh bằng 54 độ thì số đo góc ở đây là bao nhiêu độ?
Trả lời: ......
Câu 5: Cho tam giác ABC có góc B bằng 45 độ và tia phân giác ngoài góc A song song với BC. Vậy góc A bằng bao nhiêu độ?
Trả lời: ......
Câu 6: Giá trị của x thỏa mãn
là x = ?
Trả lời: ......
Câu 7: Tìm tất cả các giá trị x thỏa mãn
. Giá trị đó là ![]()
Trả lời: ......
Câu 8: Tìm các số nguyên n sao cho biểu thức
nhận giá trị nguyên. Các số nguyên đó là: n ϵ {....}
Trả lời: ......
Câu 9: Tìm các số nguyên n thỏa mãn
. Các số đó là n ϵ {....}
Trả lời: ......
Câu 10: Cho x và y thỏa mãn
và y - x = 4. Khi đó giá trị của x + y bằng bao nhiêu?
Trả lời: ......
Đáp án đề thi Violympic Toán lớp 7 vòng 16 năm 2016 - 2017
Bài 1: Đập dế
Câu 1: 16 Câu 6: C
Câu 2: -13 Câu 7: 8
Câu 3: -5 Câu 8: 8
Câu 4: 3 Câu 9: 0
Câu 5: 17 Câu 10: 13
Bài 2: Điền kết quả thích hợp vào chỗ chấm
Câu 1: 55 Câu 6: 55
Câu 2: 3 Câu 7: 140;350;150
Câu 3: 0,3 Câu 8: 210
Câu 4: -2,2 Câu 9: 45
Câu 5: 32,4 Câu 10: 12
Bài 3: 12 con giáp
Câu 1: 15; 12; 10 Câu 6: 1
Câu 2: -2/3 Câu 7: -1;0;1
Câu 3: 2 Câu 8: -4;0;2;6
Câu 4: 63 Câu 9: 3
Câu 5: 90 Câu 10: 24