Giao diện mới của VnDoc Pro: Dễ sử dụng hơn - chỉ tập trung vào lớp bạn quan tâm. Vui lòng chọn lớp mà bạn quan tâm: Lưu và trải nghiệm
Đóng
Điểm danh hàng ngày
  • Hôm nay +3
  • Ngày 2 +3
  • Ngày 3 +3
  • Ngày 4 +3
  • Ngày 5 +3
  • Ngày 6 +3
  • Ngày 7 +5
Bạn đã điểm danh Hôm nay và nhận 3 điểm!
Nhắn tin Zalo VNDOC để nhận tư vấn mua gói Thành viên hoặc tải tài liệu Hotline hỗ trợ: 0936 120 169

Đề thi Violympic Toán lớp 8 vòng 17 năm 2015 - 2016

Lớp: Lớp 8
Môn: Toán
Loại File: Word + PDF
Phân loại: Tài liệu Tính phí

Đề thi Violympic Toán lớp 8 vòng 17

Đề thi Violympic Toán lớp 8 vòng 17 năm 2015 - 2016 là đề thi giải Toán qua mạng có đáp án đi kèm, hi vọng giúp các em học sinh ôn tập và củng cố kiến thức, nhằm đạt kết quả cao trong các vòng tiếp theo của cuộc thi Violympic giải Toán qua mạng năm học 2015 - 2016.

Đề thi Violympic Toán lớp 8 vòng 15 năm 2015 - 2016

Đề thi Violympic Toán lớp 8 vòng 16 năm 2015 - 2016

Mời làm: Đề thi Violympic Toán lớp 8 vòng 17 năm 2015 - 2016 trực tuyến

Bài 1: Cóc vàng tài ba

Câu 1.1: Tập hợp nghiệm của phương trình (x - 2)(3 - 2x) = 0 là:

a. {2; 2/3} b. (2; 3/2) c. {-2; -3/2} d. {2; 3/2}

Câu 1.2: Biết ΔABC đồng dạng với ΔMNP. Phát biểu nào sau đây là sai?

a. AC/AB = MP/NP

b. BC/AC = NP/MP

c. Góc M = Góc A

d. AC/MP = BC/NP

Câu 1.3: Cho ΔABC và ΔMNP có góc A = góc N và góc C = góc M thì kết luận nào sau đây là đúng?

a. ΔABC đồng dạng với ΔMNF

b. ΔABC đồng dạng với ΔMPN

c. ΔABC đồng dạng với ΔNPM

d. ΔABC đồng dạng NMP

Câu 1.4: Số giá trị của x thỏa mãn Ιx + 5Ι = x + 2 là .....

a. 2 b. 3 c. 0 d. 1

Câu 1.5: Một ô tô đi từ A đến B với vận tốc 25km/giờ. Lúc về từ B đến A người đó đi với vận tốc 30km/giờ. Thời gian đi và về là 3 giờ 40 phút. Độ dài quãng đường AB là:

a. 110km b. 50km c. 70km d. 90km

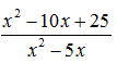
Câu 1.6: Với x nguyên, giá trị nhỏ nhất của biểu thứcĐề thi violympic toán lớp 8 vòng 17 là:

a. 0 b. -4 c. -6 d. 5

Câu 1.7: Giá trị nhỏ nhất của biểu thức A = Ιx2 + x + 1Ι + Ιx2 + 3x + 7Ι là:

a. 10 b. 8 c. 4 d. 6

Câu 1.8: Một tổ may dự định may mỗi ngày 50 áo. Nhưng khi thực hiện mỗi ngày may được 60 áo. Do đó đã hoàn thành trước thời hạn 2 ngày và còn làm thêm được 20 áo. Số lượng áo tổ may theo kế hoạch là:

a. 600 áo b. 500 áo c. 800 áo d. 700 áo

Câu 1.9: Dư của phép chia đa thức P(x) = x99 + x55 + x11 + x + 7 cho x2 - 1 là:

a. 6 b. 2x - 5 c. 4x + 7 d. 5x + 6

Câu 1.10: Tam giác ABC có AB = 12cm, AC = 14cm, BC = 16cm. Tia phân giác của góc ABC cắt AC tại M. Khi đó MC - MA =....
a. 2cm b. 4cm c. 0cm d. 3cm

Bài 2: Vượt chướng ngại vật

Câu 2.1: Biết AB/CD = 5/4 và AB = 12,5cm. Vậy CD = ........cm.

Câu 2.2: Số nghiệm của phương trình (x2 + 1)(x2 + 4x + 4) = 0 là: .............

Câu 2.3: Cho tam giác ABC và tam giác MNP đồng dạng với nhau theo tỉ số 2/3. Biết chu vi tam giác ABC bằng 30cm. Vậy chu vi tam giác MNP là ...... cm.

Câu 2.4: Cạnh bé nhất của một tam giác vuông bằng 6cm, cạnh huyền có độ dài lớn hơn cạnh còn lại 2cm. Vậy độ dài cạnh huyền là .......cm.

Câu 2.5: Tìm x < 0 thỏa mãn: Đề thi violympic toán lớp 8 vòng 17

Bài 3: Hãy điền số thích hợp vào chỗ chấm

Câu 3.1: Tập nghiệm của phương trình x2 + 10x + 21 = 0 là {.......}

Câu 3.2: Tứ giác ABCD có góc A = 65o; góc B = 117o; góc C = 75o. Vậy số đo góc ngoài tại D là ........o.

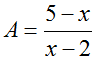
Câu 3.3: Số các giá trị của x để phân thứcĐề thi violympic toán lớp 8 vòng 17 có giá trị bằng 2 là .........

Câu 3.4: Phương trình x2 + y2 + 2x + 1 = 0 có nghiệm (x; y) = (.......)

Câu 3.5: Giá trị nhỏ nhất của biểu thức A = 2x2 + y2 - 2xy + 4x + 2y + 5 là ...........

Câu 3.6: Tìm k sao cho phương trình (2x + 1)(9x + 2k) - 5(x + 2) = 40 có nghiệm x = 2.

Câu 3.7: Số cặp số nguyên (x; y) thỏa mãn 2x2 + 3y2 + 4x = 19 là ........

Câu 3.8: Số nghiệm nguyên dương của phương trình x2 - 2y2 = 5 là ..........

Câu 3.9: Tìm x biết (x + 1)(x + 2)(x + 3)(x + 4) = 24

Câu 3.10: Biết xo; yo; zo là nghiệm nguyên dương của phương trình x2 + y2 + z2 = xy + 3y + 2x - 4. Khi đó xo + yo + zo = .....

Đáp án đề thi Violympic Toán lớp 8 vòng 17

Bài 1: Cóc vàng tài ba

Câu 1.1: d

Câu 1.2: a

Câu 1.3: c

Câu 1.4: c

Câu 1.5: b

Câu 1.6: b

Câu 1.7: d

Câu 1.8: d

Câu 1.9: c

Câu 1.10: a

Bài 2: Vượt chướng ngại vật

Câu 2.1: 10

Câu 2.2: 1

Câu 2.3: 45

Câu 2.4: 10

Câu 2.5: -1

Bài 3: Hãy điền số thích hợp vào chỗ chấm

Câu 3.1: -7 ; -3

Câu 3.2: 77

Câu 3.3: 1

Câu 3.4: -1; 0

Câu 3.5: -4

Câu 3.6: -3

Câu 3.7: 4

Câu 3.8: 0

Câu 3.9: -5; 0

Câu 3.10: 4

Chọn file muốn tải về:
Đóng Chỉ thành viên VnDoc PRO/PROPLUS tải được nội dung này!
Đóng
79.000 / tháng
Đặc quyền các gói Thành viên
PRO
Phổ biến nhất
PRO+
Tải tài liệu Cao cấp 1 Lớp
30 lượt tải tài liệu
Xem nội dung bài viết
Trải nghiệm Không quảng cáo
Làm bài trắc nghiệm không giới hạn
Mua cả năm Tiết kiệm tới 48%

Có thể bạn quan tâm

Xác thực tài khoản!

Theo Nghị định 147/2024/ND-CP, bạn cần xác thực tài khoản trước khi sử dụng tính năng này. Chúng tôi sẽ gửi mã xác thực qua SMS hoặc Zalo tới số điện thoại mà bạn nhập dưới đây:

Số điện thoại chưa đúng định dạng!
Số điện thoại này đã được xác thực!
Bạn có thể dùng Sđt này đăng nhập tại đây!
Lỗi gửi SMS, liên hệ Admin
Sắp xếp theo
🖼️

Toán 8

Xem thêm
🖼️

Gợi ý cho bạn

Xem thêm