Đề thi Violympic Toán lớp 8 vòng 15 năm 2015 - 2016
Đề thi Violympic Toán lớp 8 vòng 15
Đề thi Violympic Toán lớp 8 vòng 15 năm 2015 - 2016 là đề thi giải Toán qua mạng có đáp án đi kèm, hi vọng giúp các em học sinh ôn tập và củng cố kiến thức, nhằm đạt kết quả cao trong các vòng tiếp theo của cuộc thi Violympic giải Toán qua mạng năm học 2015 - 2016.
Đề thi Violympic Toán lớp 8 vòng 13 năm 2015 - 2016
Đề thi Violympic Toán lớp 8 vòng 14 năm 2015 - 2016
Đề thi Violympic Toán lớp 8 vòng 15 năm 2016 - 2017
Mời làm: Đề thi Violympic Toán lớp 8 vòng 15 năm 2015 - 2016 trực tuyến
Bài 1: Đỉnh núi trí tuệ
Câu 1.1: Cho tam giác ABC với M, N lần lượt là trung điểm của AB, AC và MN = 5cm. Vậy độ dài BC là ............
a. 10cm b. 12cm c. 2,5cm d. 5cm
Câu 1.2: Kết quả rút gọn của phân thức
với x khác 0; 2 là:
a. -x b. 1/x c. -1/x d. x
Câu 1.3: Chọn khẳng định không đúng trong các khẳng định dưới đây:
a. Hình chữ nhật là hình bình hành có một góc vuông.
b. Hình bình hành có hai đường chéo vuông góc là hình thoi.
c. Hình vuông là tứ giác có hai đường chéo bằng nhau.
d. Hình thoi là tứ giác có bốn cạnh bằng nhau.
Câu 1.4: Kết quả của phép tính: 27x4y2 : 9x3y là:
a. 3x2 b. 3xy c. Xy d. 3x7y3
Câu 1.5: Rút gọn biểu thức: ![]()
a. A = 1 b. A = 0
c. A = a + b + c d. A = abc
Câu 1.6: Cho x + 1/x = a. Khi đó giá trị của biểu thức A = x2 + 1/x2 theo a là:
a. (a + 2)2 b. a2 + 2 c. a2 d. a2 - 2
Câu 1.7: Với n là số tự nhiên khác 0, kí hiệu n! là tích của n số tự nhiên liên tiếp từ 1 đến n. Với mọi n ≥ 2 thì giá trị của
bằng giá trị của biểu thức nào dưới đây
a. n(n + 1)(n + 2) b. (n + 2) c. 3! d. n!
Câu 1.8: Rút gọn biểu thức:
ta được: 
Câu 1.9: Cho abc = 2. Rút gọn biểu thức: ![]()
a. 2 b. 0 c. 3 d. 1
Câu 1.10: Cho x + 1/x = a. Giá trị của biểu thức x3 + 1/x3 theo a là:
a. a(a2 - 3) b. a3 - 2 c. a3 + 3 d. a(a2 + 3)
Bài 2: Vượt chướng ngại vật
Câu 2.1: Xác định a biết: 2x2 + ax + 1 chia cho x - 3 dư 4.
Câu 2.2: Giá trị của biểu thức: A = x2 - 2x + 5 tại x = 7 là A = ..........
Câu 2.3: Giá trị nguyên của x thỏa mãn 3x(x + 5) - 2x - 10 = 0 là x = ..........
Câu 2.4: Cho biểu thức A = x2 + 2xy + y2 - 4x - 4y + 1. Với mọi số x, y thỏa mãn: x + y = 3 thì giá trị của biểu thức A là A =......
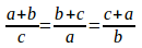
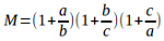
Câu 2.5: Cho các số a; b; c thỏa mãn a + b + c ≠ 0 và 
Khi đó giá trị của biểu thức:
là: M = ...........
Bài 3: Hãy điền số thích hợp vào chỗ chấm
Câu 3.1: Nếu x2 = 10 thì (2x)2 = ............
Câu 3.2: Kết quả của phép cộng hai phân thức:
với x khác 1 là: .............
Câu 3.3: Số giá trị của x để
bằng 0 là .............
Câu 3.4: Tổng 4 góc trong của một tứ giác lồi bằng ...........o.
Câu 3.5: Nếu x + y + 5 và xy = 6 thì x2 + y2 = ...........
Câu 3.6: So sánh A = 201520162 và B = 20152015 . 20152017 ta được A ......... B
Câu 3.7: Số giá trị của x thỏa mãn: 4x2 - 4x + 1 = 0 là: ............
Câu 3.8: Biết 9x2 + 4y2 = 20xy và 2y < 3x < 0. Khi đó giá trị của
là A = ...........
Câu 3.9: Cho x + y + z = 0 và x2 + y2 + z2 = 1. Khi đó giá trị của M = 2(x4 + y4 + z4) là M = ............
Câu 3.10: Biểu thức N = 4x - x2 đạt giá trị lớn nhất tại x = ..........
Đáp án đề thi Violympic Toán lớp 8 vòng 15
Bài 1: Đỉnh núi trí tuệ
Câu 1.1: a
Câu 1.2: c
Câu 1.3: c
Câu 1.4: b
Câu 1.5: b
Câu 1.6: d
Câu 1.7: a
Câu 1.8: c
Câu 1.9: d
Câu 1.10: a
Bài 2: Vượt chướng ngại vật
Câu 2.1: -5
Câu 2.2: 40
Câu 2.3: -5
Câu 2.4: -2
Câu 2.5: 8
Bài 3: Hãy điền số thích hợp vào chỗ chấm
Câu 3.1: 40
Câu 3.2: 1
Câu 3.3: 1
Câu 3.4: 360
Câu 3.5: 13
Câu 3.6: >
Câu 3.7: 1
Câu 3.8: -0,5
Câu 3.9: 1
Câu 3.10: 2