Đề thi Violympic Toán lớp 8 vòng 8 năm 2015 - 2016
Đề thi Violympic Toán lớp 8 vòng 8
Đề thi Violympic Toán lớp 8 vòng 8 năm 2015 - 2016 là đề thi giải Toán qua mạng có đáp án đi kèm, hi vọng giúp các em học sinh ôn tập và củng cố kiến thức, nhằm đạt kết quả cao trong các vòng tiếp theo của cuộc thi Violympic giải Toán qua mạng năm học 2015 - 2016.
Đề thi Violympic Toán lớp 8 vòng 6 năm 2015 - 2016
Bài 1: Hãy điền chỗ thích hợp vào chỗ (....)
Câu 1.1: Cho a + b = 17 và a.b = 72. Vậy a2 + b2 = ..............
Câu 1.2: Số đường chéo xuất phát từ một đỉnh của lục giác là ............... đường chéo.
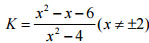
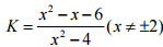
Câu 1.3: Với x ≠ ±1, giá trị a thỏa mãn
là: a = .............
Câu 1.4: Tam giác ABC vuông tại A có độ dài hai cạnh góc vuông là 7cm và 6cm. Diện tích tam giác ABC là: ............. cm2.
Câu 1.5: Hình vuông có diện tích 64cm2 thì độ dài đường chéo hình vuông đó là √a cm. Vậy a = .............
Câu 1.6: Cho hình chữ nhật ABCD có diện tích 8cm2. Độ dài cạnh AB = 4cm. AC cắt BD tại O. Diện tích ΔAOD là: ..............cm2.
Câu 1.7: Cho tam giác ABC vuông tại A, góc B = 60o. Kẻ đường cao AH và trung tuyến AM. Khi đó số đo CAM = .................o
Câu 1.8: Phân thức:
đạt giá trị bằng 3 tại x = ...............
Câu 1.9: Cho hình chữ nhật ABCD có diện tích bằng 72cm2. BC = 2AB. Khi đó độ dài đoạn BC = .............. cm.
Câu 1.10: Số nghiệm của phương trình 3x(x + 1) - 2x(x + 2) + x + 1 = 0 là: ..............
Bài 2: Cóc vàng tài ba
Câu 2.1: Giá trị của x để x2 - 6x + 10 đạt giá trị nhỏ nhất là:
A. x = 3 B. x = 1 C. x = -3 D. x = 10
Câu 2.2: Giá trị x lớn nhất thỏa mãn x4 - 20x2 + 64 = 0 là:
A. x = 2 B. x = -2 C. x = -4 D. x = 4
Câu 2.3: Giá trị của a để đa thức A = 2x3 + 7x2 + ax + 3 chia hết cho đa thức B = (x + 1)2 là:
A. a = 6 B. a = 4 C. a = 8 D. a = 7
Câu 2.4: Số nghịch đảo của số 36/√121 là:
A. 36/11 B. 11/36 C. 1/36 D. 1/6
Câu 2.5: Giá trị của x để biểu thức A = 4x2 + 12x + 5 đạt giá trị nhỏ nhất là:
A. -3/2 B. 3/2 C. -3/4 D. 3/4
Câu 2.6: Giá trị của biểu thức
khi a + b + c = 1 và a ≠ -b; b ≠ -c; c ≠ -a là:
A. 1 B. 0 C. 2 D. -1
Câu 2.7: Giá trị của x để phân thức
có giá trị bằng 0 là:
A. x = 1 B. x = 2 C. x = 3 D. x = 0
Câu 2.8: Số dư của phép chia đa thức x3 - 9x2 + 6x + 10 cho đa thức x + 1 là:
A. -7 B. -6 C. 6 D. 7
Câu 2.9: Cho tam giác ABC có góc A = 120o, AB = 4, AC = 6. Độ dài đường trung tuyến AM bằng:
A. √7 B. 2√2 C. 2 D. 2√6
Câu 2.10: Giá trị lớn nhất của biểu thức:
là:
A. 7 B. 1 C. 2 D. 14
Bài 3: Vượt chướng ngại vật
Câu 3.1: Diện tích hình chữ nhật sẽ thay đổi như thế nào nếu tăng chiều dài lên 4 lần và giảm chiều rộng đi 2 lần.
A. Diện tích hình chữ nhật giảm đi 8 lần
B. Diện tích hình chữ nhật tăng lên 8 lần
C. Diện tích hình chữ nhật giảm đi 2 lần
D. Diện tích hình chữ nhật tăng lên 2 lần
Câu 3.2: AC, BD là hai đường kính của đường tròn tâm O thì tứ giác ABCD là hình:
A. Hình chữ nhật
B. Hình thang cân
C. Hình thoi
D. Hình bình hành
Câu 3.3: Giá trị lớn nhất của biểu thức
là:
A. 1/2 B. 1/4 C. 4/7 D. 7/4
Câu 3.4: Số dư trong phép chia (x3 - 10x2 + 10x + 1) : (x - 9) là: ................
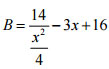
Câu 3.5: Cho

Tỉ số A/B = ...............
Đáp án đề thi Violympic Toán lớp 8 vòng 8
Bài 1: Hãy điền chỗ thích hợp vào chỗ (....)
Câu 1.1: 145 Câu 1.2: 3 Câu 1.3: 1 Câu 1.4: 21 Câu 1.5: 128
Câu 1.6: 2 Câu 1.7: 30 Câu 1.8: 1,5 Câu 1.9: 12 Câu 1.10: 0
Bài 2: Cóc vàng tài ba
Câu 2.1: A Câu 2.2: D Câu 2.3: C Câu 2.4: B Câu 2.5: A
Câu 2.6: A Câu 2.7: D Câu 2.8: B Câu 2.9: A Câu 2.10: C
Bài 3: Vượt chướng ngại vật
Câu 3.1: D Câu 3.2: A Câu 3.3: C Câu 3.4: 10 Câu 3.5: -2012