Giao diện mới của VnDoc Pro: Dễ sử dụng hơn - chỉ tập trung vào lớp bạn quan tâm. Vui lòng chọn lớp mà bạn quan tâm: Lưu và trải nghiệm
Đóng
Điểm danh hàng ngày
  • Hôm nay +3
  • Ngày 2 +3
  • Ngày 3 +3
  • Ngày 4 +3
  • Ngày 5 +3
  • Ngày 6 +3
  • Ngày 7 +5
Bạn đã điểm danh Hôm nay và nhận 3 điểm!
Nhắn tin Zalo VNDOC để nhận tư vấn mua gói Thành viên hoặc tải tài liệu Hotline hỗ trợ: 0936 120 169

Luyện thi Violympic Toán lớp 8 vòng 17 năm 2015 - 2016

Lớp: Lớp 8
Môn: Toán
Loại File: PDF + Word
Phân loại: Tài liệu Tính phí

Đề luyện thi Violympic Toán lớp 8 vòng 17

Luyện thi Violympic Toán lớp 7 vòng 17 năm 2015 - 2016 được VnDoc sưu tầm và giới thệu tới các em học sinh tham khảo để củng cố và rèn luyện kiến thức chuẩn bị cho vòng thi 17 (bắt đầu mở từ ngày 23/03/2016) của Cuộc thi giải Toán qua mạng lớp 7 năm 2015 - 2016 sắp tới đây.

Mời làm: Luyện thi Violympic Toán lớp 8 vòng 17 năm 2015 - 2016 trực tuyến

Bài 1: Cóc vàng tài ba

Câu 1.1: Nghiệm của phương trình:Luyện thi violympic toán lớp 8 vòng 17là x = .............

a. -8/35 b. 35/8 c. 8/35 d. -35/8

Câu 1.2: Biểu thức A = -(3 - 2x)2 - (4x + 1)2 + 6 đạt giá trị lớn nhất tại x = ...........

a. 19/5 b. 1/10 c. -1/10 d. -19/5

Câu 1.3: Giá trị m thỏa mãn đa thức P(x) = 6x4 - 10x3 + mx2 + 5x - 4 chia hết cho đa thức Q(x) = 2x - 1 là m = ...........

a. 19/2 b. -25/2 c. -19/2 d. 25/2

Câu 1.4: Giá trị của biểu thức: Luyện thi violympic toán lớp 8 vòng 17 tại x = 759; y = 742; z = 850 là A = .......

a. A = 2/91 b. A = 1/108 c. A = 1/91 d. A = -1/91

Câu 1.5: Cho phương trình (m + 3)2x2 - (2m2 + m - 15)x + m2 - 5m = 24 (1). Với m ≠ - 3, phương trình (1) luôn có hai nghiệm, trong đó có một nghiệm là x = 1 và một nghiệm còn lại là x = .........

Luyện thi Violympic Toán lớp 8

Câu 1.6: Hình chữ nhật ABCD có AH vuông góc với BD. Biết BH = 9,75cm; DH = 56,16cm. Vậy diện tích hình chứ nhật ABCD là ..............
a. 1524,294cm2 b. 385,58cm2 c. 771,147cm2 d. 1542,294cm2

Câu 1.7: Tổng các nghiệm của phương trình: (x2 + 4x - 1)2 - 3(x2 + 4x) - 1 = 0 là:

a. 8 b. 10 c. -8 d. -10

Câu 1.8: Biết a < b < 0 và a, b thỏa mãn: a(a + 2) + b(b - 2) - 2ab = 63. Vậy b - a = ..........

a. -9 b. 7 c. 9 d. -7

Câu 1.9: Điều kiện của hệ số a để phương trình ẩn x:Luyện thi violympic toán lớp 8 vòng 17có nghiệm duy nhất là .......

a. a ≠ ± 1; a ≠ -2; a ≠ 0

b. a ≠ ± 1; a ≠ 0; a ≠ ± 2

c. a ≠ 1; a ≠ 0; a ≠ ± 2

d. a ≠ ± 1; a ≠ ± 2

Câu 1.10: Cho tam giác ABC cân tại A, trung tuyến BM, CN cắt nhau tại O. Lấy D là điểm đối ứng với O qua BC. Gọi P là giao điểm của OD và BC. Tứ giác BOCD là hình vuông nếu ...........

a. BC = 2/3 AP

b. BC = 3/2 AP

c. BC = 1/2 AP

d. BC = 2AP

Bài 2: Vượt chướng ngại vật

Câu 2.1: Cho hình thang cân ABCD. Đáy nhỏ AB = 12cm. Cạnh bên AD = 10,4cm. Đường cao AH = 9,6cm. Vậy diện tích tam giác ADC là .........cm2.

Câu 2.2: Biết a, b là hai số thỏa mãn phép chia đa thức A(x) = 6x3 - 5x2 + ax + b cho đa thức B(x) = 2x2 - x + 5 được dư là đa thức C(x) = 3x - 7. Vậy a - b = ...........

Câu 2.3: Tổng các nghiệm của phương trình:Luyện thi violympic toán lớp 8 vòng 17

Câu 2.4: Cho 3 số a, b, c thỏa mãn: a + b + c = 0 và abc ≠ 0. Vậy giá trị biểu thứcLuyện thi violympic toán lớp 8 vòng 17 là A = .........

Câu 2.5: Giá trị biểu thức: Luyện thi violympic toán lớp 8 vòng 17là A = ............

Bài 3: Hãy điền số thích hợp vào chỗ chấm.

Câu 3.1: Tập hợp nghiệm của phương trình:Luyện thi violympic toán lớp 8 vòng 17 là: {.......}

Câu 3.2: Giá trị lớn nhất của biểu thức A = -(x - 1)2 + 2Ix - 1I + 5 là ...........

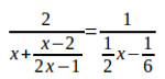
Câu 3.3: Nghiệm của phương trìnhLuyện thi violympic Toán lớp 8 vòng 17 là x = ............

Câu 3.4: Cho tam giác ABC có diện tích bằng 54cm2. Trên cạnh AB lấy điểm P sao cho AP = 2/3 AB. Trên AC lấy điểm Q sao cho AQ = 1/4AC. Nối P với Q. Tính diện tích tứ giác BPQC.

Câu 3.5: Giá trị lớn nhất của biểu thức A = -x2 - 2xy + 4y + 2 - 2y2 bằng ...........

Câu 3.6: Cho tam giác ABC vuông tại A có phân giác AD và đường cao AH. Biết BD = 9cm và CD = 12cm. Độ dài đoạn thẳng DH là .......... cm.

Câu 3.7: Hai lớp 8A và 8B có tổng cộng 94 học sinh. Biết rằng 25% số học sinh 8A đạt loại giỏi, 20% số học sinh 8B đạt loại giỏi và tổng số học sinh giỏi của hai lớp là 21. Vậy số học sinh lớp 8B là ..........

Câu 3.8: Tìm một số tự nhiên có sáu chữ số, biết rằng chữ số tận cùng của nó bằng 4 và nếu chuyển chữ số 4 đó lên vị trí chữ số đầu tiên thì số phải tìm tăng gấp 4 lần.

Câu 3.9: Tổng tất cả các nghiệm của phương trình (x - 1)5 + (x + 3)5 = 242(x + 1) là .........

Câu 3.10: Tập hợp các giá trị nguyên của x thỏa mãn bất phương trình x4 - 3x3 - x + 3 ≤ 0 là {........}

Đáp án đề luyện thi Violympic Toán lớp 8 vòng 17

Bài 1: Cóc vàng tài ba

Câu 1.1: b

Câu 1.2: b

Câu 1.3: a

Câu 1.4: a

Câu 1.5: d

Câu 1.6: d

Câu 1.7: c

Câu 1.8: c

Câu 1.9: a

Câu 1.10: a

Bài 2: Vượt chướng ngại vật

Câu 2.1: 96

Câu 2.2: 31

Câu 2.3: -8

Câu 2.4: -3/2

Câu 2.5: 1/401

Bài 3: Hãy điến số thích hợp vào chỗ chấm

Câu 3.1: -10; 3

Câu 3.2: 6

Câu 3.3: 1,4

Câu 3.4: 45

Câu 3.5: 6

Câu 3.6: 1,44

Câu 3.7: 50

Câu 3.8: 102564

Câu 3.9: -3

Câu 3.10: 1; 2; 3

Chọn file muốn tải về:
Đóng Chỉ thành viên VnDoc PRO/PROPLUS tải được nội dung này!
Đóng
79.000 / tháng
Đặc quyền các gói Thành viên
PRO
Phổ biến nhất
PRO+
Tải tài liệu Cao cấp 1 Lớp
30 lượt tải tài liệu
Xem nội dung bài viết
Trải nghiệm Không quảng cáo
Làm bài trắc nghiệm không giới hạn
Mua cả năm Tiết kiệm tới 48%

Có thể bạn quan tâm

Xác thực tài khoản!

Theo Nghị định 147/2024/ND-CP, bạn cần xác thực tài khoản trước khi sử dụng tính năng này. Chúng tôi sẽ gửi mã xác thực qua SMS hoặc Zalo tới số điện thoại mà bạn nhập dưới đây:

Số điện thoại chưa đúng định dạng!
Số điện thoại này đã được xác thực!
Bạn có thể dùng Sđt này đăng nhập tại đây!
Lỗi gửi SMS, liên hệ Admin
Sắp xếp theo
🖼️

Toán 8

Xem thêm
🖼️

Gợi ý cho bạn

Xem thêm