Giải bài tập SGK Vật lý lớp 9 bài 5: Đoạn mạch song song
Bài 5: Đoạn mạch song song
Giải bài tập SGK Vật lý lớp 9 bài 5: Đoạn mạch song song. Đây là tài liệu tham khảo hay được VnDoc.com sưu tầm nhằm giúp quá trình ôn tập và củng cố kiến thức chuẩn bị cho kì thi học kì mới môn Vật lý của các bạn học sinh lớp 9 trở nên thuận lợi hơn. Mời các bạn tham khảo lời giải bài tập Vật lí 9 này
Giải bài tập SGK Vật lý lớp 9 bài 6: Bài tập vận dụng định luật Ôm
Giải bài tập SGK Vật lý lớp 9 bài 7: Sự phụ thuộc của điện trở vào chiều dài dây dẫn
Giải bài tập SGK Vật lý lớp 9 bài 8: Sự phụ thuộc của điện trở vào tiết diện dây dẫn
1. Bài C1 trang 14 sgk vật lí 9
C1. Quan sát sơ đồ mạch điện hình 5.1 và cho biết các điện trở R1 và R2 được mắc với nhau như thế nào. Nêu vai trò của vôn kế và ampe kế trong sơ đồ.

Hướng dẫn:
Trong sơ đồ mạch điện hình 5.1 sgk, các điện trở R1, R2 được mắc song song với nhau. Ampe kế dùng để đo cường độ dòng điện chạy trong mạch, vôn kế đo hiệu điện thế giữa hai đầu đoạn mạch.
2. Bài C2 trang 14 sgk vật lí 9
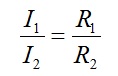
C2. Hãy chứng minh rằng đối với đoạn mạch gồm hai điện trở mắc song song, cường độ dòng điện chạy qua mỗi điện trở tỉ lệ nghịch với điện trở đó.
![]()
Hướng dẫn:
Đối với đoạn mạch gồm hai điện trở mắc song song, hiệu điện thế giữa hai đầu điện trở R1 bằng hiệu điện thế giữa hai đầu R2, tức là U1 = U2. Từ đó ta có I1R1 = I2R2,
suy ra ![]()
3. Bài C3 trang 15 sgk vật lí 9
C3. Hãy chứng minh công thức tính điện trở tương đương của đoạn mạch gồm hai điện trở R2, R3

Hướng dẫn:
Trong mạch gồm hai điện trở R2, R3 mắc song song, cường độ dòng điện chạy qua các điện trở là:

4. Bài C4 trang 15 sgk vật lí 9
C4. Trong phòng học đang sử dụng một bóng đèn dây tóc và một quạt trần có cùng hiệu điện của nguồn là 220V. Hiệu điện thế của nguồn là 2200V. Mỗi đồ dùng đều có công tắc và cầu chì bảo vệ riêng.
+ Đèn và quạt được mắc thế nào vào ngăn để chúng hoạt bình thường?
Vẽ sơ đồ mạch điện đó. Cho c kí hiệu sơ đồ của quạt là. ![]()
+ Nếu đèn không hoạt động thì quạt có hoạt động không?
Hướng dẫn:
+ Đèn và quạt được mắc song song vào nguồn 220V để chúng hoạt động bình thường.
+ Sơ đồ mạch điện như hình 5.6 
+ Nếu đèn không hoạt động thì hoạt động vì quạt vẫn được mắc vào hiệu điện thế đã cho.
5. Bài C5 trang 16 sgk vật lí 9
C5. Cho hai điện trở R1 = R2 = 30Ω được mắc như sơ đồ 5.2a.
a) Tính điện trở tương đương của đoạn mạch đó.
b) Nếu mắc thêm một điện trở R3 = 30Ω vào đoạn mạch trên sơ đồ hình 5.2b thì điện trở tương đương của đoạn mạch mới bằng bao nhiêu? So sánh điện trở đó với mỗi điện trở thành phần.