Giải bài tập trang 122, 123 SGK Vật lý lớp 9: Ảnh của một vật tạo bởi thấu kính phân kì
Giải bài tập trang 122, 123 SGK Vật lý lớp 9: Ảnh của một vật tạo bởi thấu kính phân kì
Tài liệu hướng dẫn giải bài tập của VnDoc.com giúp các bạn học sinh nắm vững kiến thức về Ảnh của một vật được tạo bởi thấu kính phân kì và có thể hoàn thành tốt các bài tập trong SGK Vật lý 9 trang 122, 123. Hi vọng đây sẽ là tài liệu hữu ích cho các bạn trong quá trình học tập và nâng cao kiến thức, mời các bạn cùng tham khảo
Giải bài tập trang 111, 112 SGK Vật lý lớp 9: Quan hệ giữa góc tới và góc khúc xạ
Giải bài tập trang 113, 114, 115 SGK Vật lý lớp 9: Thấu kính hội tụ
Giải bài tập trang 116, 117, 118 SGK Vật lý lớp 9: Ảnh của một vật tạo bởi thấu kính hội tụ
Giải bài tập trang 119, 120, 121 SGK Vật lý lớp 9: Thấu kính phân kì
Tóm tắt kiến thức cơ bản: Ảnh của một vật tạo bởi thấu kính phân kì
- Đối với thấu kính phân ki:
- Vật sáng đặt ở mọi vị trí trước thấu kính phân kì luôn cho ảnh ảo, cùng chiều, nhỏ hơn vật và luôn nằm trong khoảng tiêu cự của thấu kính.
- Vật đặt rất xa thấu kính, ảnh ảo của vật có vị trí cách thấu kính một khoảng bằng tiêu cự
Giải bài tập trang 122, 123 SGK Vật lý lớp 9
Câu 1. Hãy làm thí nghiệm để chứng tỏ rằng không thể hứng được ảnh của vật trên màn với mọi vị trí của vật?
Hướng dẫn giải: Đặt 1 vật ở vị trí bất kì trước thấu kính phân kì. Đặt màn hứng ở sát thấu kính. Từ từ đưa màn ra xa thấu kính và quan sát xem có ảnh trên màn hay không. Thay đổi vị trí và cũng làm tương tự, ta vẫn thu được kết quả như trên.
Câu 2. Làm thế nào để quan sát được ảnh của vật tạo bởi thấu kính phân kì? Ảnh đó là ảnh thật hay ảnh ảo? Cùng chiều hay ngược chiều với vật?
Hướng dẫn giải: Để quan sát được ảnh của vật tạo bởi thấu kính phân kì, ta phải đặt mắt trên đường truyền của chùm tia ló. Ảnh của một vật tạo bởi thấu kính phân kì là ảnh ảo, cùng chiều với vật
Câu 3. Dựa vào kiến thức đã học ở bài trước, hãy nêu cách dựng ảnh của vật AB qua thấu kính phân kì, biết AB vuông góc với trục chính, A nằm trên trục chính.
Hướng dẫn giải: Muốn dựng ảnh của vật AB qua thấu kính phân kì, AB vuông góc với trục chính, A nằm trên trục chính ta làm như sau:
- Dựng ảnh B' của B qua thấu kính, ảnh này là điểm đồng quy khi kéo dài chùm tia ló.
- Từ B' hạ vuông góc xuống trục chính của thấu kính, cắt trục chính tại đâu thì đó chính là ảnh A' của điểm A
- A'B' là ảnh của vật AB tạo bởi thấu kính phân kì
Câu 4. Trên hình 45.2 cho biết vật AB được đặt vuông góc với trục chính của thấu kính phân kì có tiêu cự f = 12cm. Điểm A nằm trên trục chính và cách quang tâm O một khoảng OA = 24cm.
- Hãy dưng ảnh A'B' của vật AB tạo bởi thấu kính đã cho.
- Dựa vào hình vẽ, hãy lập luận để chứng tỏ rằng ảnh này luôn nằm trong khoảng tiêu cự của thấu kính.

Hướng dẫn giải:
- Ảnh A'B' của vật AB tạo bởi thấu kính đã cho:

- Ta dựa vào tia đi song song trục chính và tia đi qua quang tâm để dựng ảnh A'B' của AB. Khi tịnh tiến AB luôn vuông góc với trục chính thì tại mọi vị trí, tia BI luôn không đổi, cho tia ló IK cũng không đổi. Do đó tia BO luôn cắt tia IK kéo dài tại B' nằm trong đoạn FI. Chính vì vậy, ảnh A'B' luôn nằm trong khoảng tiêu cự của thấu kính.
Câu 5. Đặt vật AB trước một thấu kính có tiêu cự f = 12cm. Vật AB cách thấu kính một khoảng d = 8cm, A nằm trên trục chính. Hãy dựng ảnh A'B' của AB. Dựa vào hình vẽ để nêu nhận xét về độ lớn của ảnh so với vật trong hai trường hợp:
- Thấu kính là hội tụ.
- Thấu kính là phân kì.
Hướng dẫn giải:
- Thấu kính là hội tụ: Ảnh của vật AB (hình 45.4) tạo bởi thấu kính hội tụ lớn hơn vật.

- Thấu kính là phân kì: Ảnh của vật AB(hình 45.5) tạo bởi thấu kính phân kì nhỏ hơn vật.

Câu 6. Từ bài toán trên, hãy cho biết ảnh ảo của một vật tạo bởi thấu kính hội tụ và thấu kính phân kì có đặc điểm gì giống nhau, khác nhau. Từ đó hãy nên cách nhận biết nhanh chóng một thấu kính là hội tụ hay phân kì.
Hướng dẫn giải:
* Phân biệt
- Giống nhau: Cùng chiều với vật.
- Khác nhau:
- Đối với thấu kính hội tụ thì ảnh lớn hơn vật và ở xa thấu kính hơn vật.
- Đối với thấu kính phân kì thì ảnh nhỏ hơn vật và ở gần thấu kính hơn vật.
* Cách nhận biết nhanh chóng một thấu kính là hội tụ hay phân kì: Đưa thấu kính lại gần dòng chữ trên trang sách. Nếu nhìn qua thấu kính thấy hình ảnh dòng chữ cùng chiều, to hơn so với khi nhìn trực tiếp thì đó là thấu kính hội tụ. Nếu nhìn thấy ảnh dòng chữ cùng chiều, nhỏ hơn so với khi nhìn trực tiếp thì đó là thấu kính phân kì.
Câu 7. Vận dụng kiến thức hình học, tính khoảng cách từ ảnh đén thấu kính và chiều cao của ảnh trong hai trường hợp ở câu 5 khi vật có chiều cao h = 6mm.
Hướng dẫn giải:
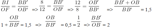
Tam giác BB'I đồng dạng với tam giác OB'F' cho ta:

Tam giác OAB đồng dạng với tam giác OA'B', cho ta:

Vậy ảnh có độ cao là 3cm, khoảng cách từ ảnh đến thấu kính là 24cm.
Với thấu kính phân kì:
Tam giác FB'O đồng dạng với tam giác IB'B, cho ta:
![]()
Tam giác OAB đồng dạng với tam giác OA'B', cho ta:

Vậy ảnh cao 0,36 cm và cách thấu kính 4,8 cm.
Câu 8. Hãy trả lời câu hỏi nêu ra ở phần mở bài?
Hướng dẫn giải: Nếu Đông bỏ kính ra, ta nhìn thấy mắt bạn to hơn khi nhìn mắt bạn lúc đeo kính, vì kính của bạn ấy là thấu kính phân kì. Khi ta nhìn mắt bạn qua thấu kính phân kì, ta đã nhìn thấy ảnh ảo của mắt, nhỏ hơn mắt khi không đeo kính.