Giải bài tập trang 116, 117, 118 SGK Vật lý lớp 9: Ảnh của một vật tạo bởi thấu kính hội tụ
Giải bài tập trang 116, 117, 118 SGK Vật lý lớp 9: Ảnh của một vật tạo bởi thấu kính hội tụ
Tài liệu: Giải bài tập Vật lý lớp 9 trang 116, 117, 118: Ảnh của một vật tạo bởi thấu kính hội tụ giúp các bạn học sinh nắm vững lại những kiến thức cơ bản của bài học và có thể hoàn thành tốt các bài tập trang 116, 117, 118 SGK Vật lý 9. Hi vọng đây sẽ là tài liệu hữu ích cho các bạn trong quá trình học tập và nâng cao kiến thức, mời các bạn cùng tham khảo.
Giải bài tập trang 108, 109, 110 SGK Vật lý lớp 9: Hiện tượng khúc xạ ánh sáng
Giải bài tập trang 111, 112 SGK Vật lý lớp 9: Quan hệ giữa góc tới và góc khúc xạ
Giải bài tập trang 113, 114, 115 SGK Vật lý lớp 9: Thấu kính hội tụ
Tóm tắt kiến thức cơ bản: Ảnh của một vật tạo bởi thấu kính hội tụ
- Đối với thấu kính hội tụ:
- Vật đặt ngoài khoảng tiêu cự cho ảnh thật, ngược chiều với vật. Khi vật đặt rất xa thấu kính thì ảnh thật có vị trí cách thấu kính một khoảng bằng tiêu cự
- Vật đặt trong khoảng tiêu cự cho ảnh ảo, lớn hơn vật và cùng chiều với vật
- Muốn dựng ảnh A'B' của AB qua thấu kính (AB vuông góc với trục chính của thấu kính, A nằm trên trục chính), chỉ cần dựng ảnh B' của B bằng cách vẽ đường truyền của hai tia sáng đặc biệt, sau đó từ B' hạ vuông góc xuống trục chính ta có ảnh A' của A
Giải bài tập trang 116, 117, 118 SGK Vật lý lớp 9
Câu 1. Đặt vật ở xa thấu kính và màn ở sát thấu kính. Từ từ dịch chuyển màn ra xa thấu kính cho đến khi xuất hiện ảnh rõ nét của vật ở trên màn, đó là ảnh thật. Ảnh thật cùng chiều hay ngược chiều với vật?
Hướng dẫn giải:
- Đối với thấu kính hội tụ, vật đặt ngoài khoảng tiêu cự và trong khoảng tiêu cự có cho ảnh không giống nhau
- Vật đặt ngoài khoảng tiêu cự cho ảnh thật, ngược chiều với vật. Khi vật đặt rất xa thấu kính thì ảnh thật có vị trí cách thấu kính một khoảng bằng tiêu cự
Câu 2. Dịch vật vào gần thấu kính hơn. Tiến hành thí nghiệm như trên, có thu được ảnh của vật trên màn nữa không? Ảnh thật hay ảo? Ảnh cùng chiều hay ngược chiều với vật?
Hướng dẫn giải: Vật đặt trong khoảng tiêu cự cho ảnh ảo, lớn hơn vật và cùng chiều với vật
Câu 3. Hãy chứng minh rằng không hứng được ảnh của vật ở trên màn. Hãy quan sát ảnh của vật qua thấu kính và cho biết đó là ảnh thật hay ảo, cùng chiều hay ngược chiều, lớn hơn hay nhỏ hơn vật.
Hướng dẫn giải: Đặt vật trong khoảng tiêu cự,màn ở sát thấu kính. Từ từ di chuyển màn ra xa thấu kính, không hứng được ảnh ở trên màn. Đặt mắt trên đường truyền của chòm tia ló, ta quan sát thấy ảnh cùng chiều, lớn hơn vật. Đó là ảnh ảo và không hứng được trên màn.
Câu 4. Hãy dựng ảnh S' của điểm sáng S trên hình 43.3 (SGK)
Hướng dẫn giải: Để tìm ảnh S' của điểm sáng S qua thấu kính hội tụ ta vẽ đường truyền của hai trong ba tia đặc biệt từ vật đến thấu kính

Câu 5. Vật sáng AB được đặt vuông góc với trục chính của thấu kính hội tụ có tiêu cự f = 12cm. Điểm A nằm trên trục chính.
Hãy dựng ảnh A'B' của AB và nhận xét đặc điểm của hai ảnh A'B' trong hai trường hợp:
- Vật AB cách thấu kính một khoảng d = 36cm (hình 43.4a)
- Vật AB cách thấu kính một khoảng d = 8cm (hình 43.4b)

Hướng dẫn giải:

Nhận xét:
- Vật AB cách thấu kính 36cm, ngoài khoảng tiêu cự, ảnh thật, ngược chiều vật
- Khi vật AB cách thấu kính 8cm, trong khoảng tiêu cự, ảnh là ảo, cùng chiều vật và lớn hơn vật
Câu 6. Vận dụng kiến thức hình học, hãy tính khoảng cách từ ảnh đến thấu kính và chiều cao của ảnh trong hai trường hợp ở câu 5. Cho biết vật AB có chiều cao h = 1cm
Hướng dẫn giải:
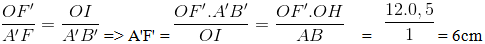
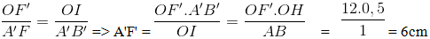
Vật AB cạch thấu kính 36cm:
Tam giác ABF đồng dạng với tam giác OHF, cho ta:
![]()
Ta nhận thấy OH = h', chính là chiều cao của ảnh.
Tam giác A'B'F' đồng dạng với tam giác OIF', cho ta:
![]()
Khoảng cách từ ảnh đến thấu kính là
OA' = OF' + A'F' = 12 + 6 = 18cm
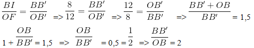
Vật AB cách thấu kính 8cm:
Tam giác BB'I đồng dạng với tam giác OB'F' cho ta:

Tam giác OAB đồng dạng với tam giác OA'B', cho ta:

Thay vào (*), ta có:
= 3 => OA' = 3. OA = 3.8 = 24 cm
= 3 => A'B' = 3. AB = 3. 1 = 3 cm
Vậy ảnh có độ cao là 3cm, khoảng cách từ ảnh đến thấu kính là 24 cm
Câu 7. Trả lời câu hỏi nêu ra ở đầu bài?
Hướng dẫn giải:
- Đặt một thấu kính hội tụ sát vào một trang sách, khi ấy các dòng chữ (coi là vật) sẽ nằm trong khoảng tiêu cự của thấu kính, cho hình ảnh các dòng chữ (là ảnh) sẽ cùng chiều và lớn hơn vật, do đó sẽ dễ đọc hơn. Từ từ dịch chuyển thấu kính ra xa, ảnh càng to và càng dễ đọc.
- Tuy nhiên, khi dịch chuyển đến một vị trí nào đó, ta lại nhìn thấy ảnh của dòng chữ ngược chiều với vật. Đó là ảnh thật của dòng chữ tạo bởi thấu kính hội tụ. Vị trí đó trùng với tiêu điểm của thấu kính hội tụ, nên khi tiếp tục dịch chuyển ra xa thì dòng chữ (vật) nằm ngoài khoảng tiêu cự, cho ta ảnh ngược chiều, khó đọc