Bài tập Vật lý 9 Bài 5: Đoạn mạch song song
Đoạn mạch song song Vật lý 9 - Có đáp án
Mời quý thầy cô cùng các em học sinh tham khảo tài liệu Bài tập Vật lý 9 Bài 5: Đoạn mạch song song do VnDoc.com biên soạn và đăng tải. Tài liệu Đoạn mạch nối tiếp học này với các bài tập vận dụng được xây dựng trên lý thuyết trọng tâm bài học, hỗ trợ quá trình củng cố bài học và ôn luyện nâng cao khả năng làm bài tập môn Vật lý 9. Mời thầy cô cùng các bạn học sinh tham khảo.
Để tiện trao đổi, chia sẻ kinh nghiệm về giảng dạy và học tập các môn học lớp 9, VnDoc mời các thầy cô giáo, các bậc phụ huynh và các bạn học sinh truy cập nhóm riêng dành cho lớp 9 sau: Nhóm Tài liệu học tập lớp 9. Rất mong nhận được sự ủng hộ của các thầy cô và các bạn.
Bản quyền thuộc về VnDoc.
Nghiêm cấm mọi hình thức sao chép nhằm mục đích thương mại.
I. Nhắc lại kiến thức cơ bản
- Định luật Ôm: Cường độ dòng điện chạy qua dây dẫn tỉ lệ thuận với hiệu điện thế đặt vào hai đầu dây và tỉ lệ nghịch với điện trở của dây.
- Công thức định luật Ôm:
\(I=\frac{U}{R}\)
- Đoạn mạch gồm n điện trở
\({{R}_{1}},{{R}_{2}},{{R}_{3}},....,{{R}_{n}}\) mắc song song, ta có các tính chất sau:
+ Cường độ dòng điện chạy qua đoạn mạch bằng tổng cường độ dòng điện chạy qua từng điện trở
\({{I}_{AB}}={{I}_{1}}+{{I}_{2}}+....+{{I}_{n}}\)
+ Hiệu điện thế giữa hai đoạn mạch gồm các điện trở mắc song song bằng hiệu điện thế giữa hai đầu mỗi điện trở thành phần
\({{U}_{AB}}={{U}_{1}}={{U}_{2}}=....={{U}_{n}}\)
- Điện trở tương đương của đoạn mạch song song bằng tổng các điện trở thành phần:
\(\frac{1}{{{R}_{td}}}=\frac{1}{{{R}_{1}}}+\frac{1}{{{R}_{2}}}+...+\frac{1}{{{R}_{n}}}\)
II. Bài tập về Đoạn mạch song song
Bài 1: Đặt một hiệu điện thế U = 60Vvào hai đầu đoạn mạch mắc song song gồm 2 điện trở
\({{R}_{1}},{{R}_{2}}\). Dòng điện trong đoạn mạch chính có cường độ I = 2,5A, biết rằng
\({{R}_{1}}=2{{R}_{2}}\) thì
\({{R}_{1}},{{R}_{2}}\) có điện trở bằng bao nhiêu?
Hướng dẫn giải
\({{R}_{td}}=\frac{U}{I}=\frac{60}{2,5}=24\Omega\) (1)
Do các điện trở mắc song song với nhau nên ta có:
\({{R}_{td}}=\frac{{{R}_{1}}.{{R}_{2}}}{{{R}_{1}}+{{R}_{2}}}\) (2)
Mặt khác,
\({{R}_{1}}=2{{R}_{2}}\) (3)
Từ (1), (2), (3) ta có:
\({{R}_{td}}=24\Leftrightarrow \frac{2{{R}_{2}}.{{R}_{2}}}{2{{R}_{2}}+{{R}_{2}}}=24\Leftrightarrow \frac{2}{3}{{R}_{2}}=24\Rightarrow {{R}_{2}}=36\Omega \Rightarrow {{R}_{1}}=\frac{{{R}_{2}}}{2}=18\Omega\)
Bài 2: Khi mắc nối tiếp hai điện trở
\({{R}_{1}},{{R}_{2}}\) vào hiệu điện thế 24V thì dòng điện chạy qua chúng có cường độ 0,24A
a. Tính điện trở tương đương của đoạn mạch nối tiếp
b. Nếu mắc song song hai điện trở trên thì dòng điện chạy qua điện trở
\({{R}_{1}}\) có cường độ
\({{I}_{1}}\) gấp 2 lần cường độ
\({{I}_{2}}\) của dòng điện chạy qua điện trở
\({{R}_{2}}\). Tính giá trị điện trở
\({{R}_{1}},{{R}_{2}}\)
Hướng dẫn giải
a.
\({{R}_{td}}=\frac{U}{I}=\frac{24}{0,24}=100\Omega\)
b. Do
\({{R}_{1}}//{{R}_{2}}\) nên
\({{U}_{1}}={{U}_{2}}\Rightarrow {{I}_{1}}.{{R}_{1}}={{I}_{2}}.{{R}_{2}}\Rightarrow \frac{{{R}_{1}}}{{{R}_{2}}}=\frac{{{I}_{2}}}{{{I}_{1}}}=\frac{1}{2}\Rightarrow {{R}_{2}}=2{{R}_{1}}\)( do
\({{I}_{1}}=2{{I}_{2}}\))
\({{R}_{td}}=\frac{U}{I}=\frac{24}{0,24}=100\Omega\) Do đoạn mạch mắc song song nên
\(\begin{align}
& {{R}_{td}}=\frac{{{R}_{1}}.{{R}_{2}}}{{{R}_{1}}+{{R}_{2}}}=100\Rightarrow \frac{{{R}_{1}}.2{{R}_{1}}}{{{R}_{1}}+2{{R}_{1}}}=100 \\
& \Leftrightarrow \frac{2}{3}{{R}_{1}}=100\Rightarrow {{R}_{1}}=150\Omega \Rightarrow {{R}_{2}}=2{{R}_{1}}=300\Omega \\
\end{align}\)
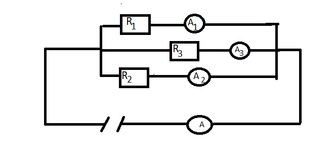
Bài 3: Điện trở các Ampe kế không đáng kể. Biết số chỉ
\({{A}_{1}}\) gấp 2 lần số chỉ
\({{A}_{3}}\), số chỉ
\({{A}_{2}}\) gấp 3 lần số chỉ
\({{A}_{3}}\), điện trở
\({{R}_{3}}=4\Omega\)
a. Số chỉ A gấp mấy lần số chỉ
\({{A}_{2}}\)
b. Tính
\({{R}_{1}},{{R}_{2}}\)
c. Nếu
\(U=12V\) thì số chỉ các Ampe kế là bao nhiêu?

Hướng dẫn giải
a. Ta có:
\(\left\{ \begin{matrix}
{{I}_{1}}=2{{I}_{3}}\Rightarrow {{I}_{1}}=2.\dfrac{1}{3}{{I}_{2}}=\dfrac{2}{3}{{I}_{2}} \\
{{I}_{2}}=3{{I}_{3}}\Rightarrow {{I}_{3}}=\dfrac{1}{3}{{I}_{2}} \\
\end{matrix} \right.\)
Do các điện trở mắc song song với nhau nên
\(I={{I}_{A}}={{I}_{1}}+{{I}_{2}}+{{I}_{3}}\Leftrightarrow {{I}_{A}}=\dfrac{2}{3}{{I}_{2}}+{{I}_{2}}+\dfrac{1}{3}{{I}_{2}}=2{{I}_{2}}\Rightarrow {{I}_{A}}=2{{I}_{2}}\)
Ta có:
\({{U}_{1}}={{U}_{2}}={{U}_{3}}\) do 3 điện trở song song
Vậy ta sẽ có:
\(\left\{ \begin{matrix}
{{U}_{1}}={{U}_{3}} \\
{{I}_{1}}=2{{I}_{3}} \\
\end{matrix}\Rightarrow \frac{{{R}_{1}}}{{{R}_{3}}}=\frac{{{I}_{3}}}{{{I}_{1}}}=\frac{1}{2}\Rightarrow {{R}_{1}}=\frac{{{R}_{3}}}{2}=\frac{4}{2}=2\Omega \right.\)
Tương tự ta tìm được
\({{R}_{2}}=\frac{{{R}_{3}}}{3}=\frac{4}{3}\Omega\)
c.
\(\begin{align}
& \frac{1}{{{R}_{td}}}=\frac{1}{{{R}_{1}}}+\frac{1}{{{R}_{2}}}+\frac{1}{{{R}_{3}}} \\
& \Rightarrow {{R}_{td}}=\frac{{{R}_{1}}.{{R}_{2}}.{{R}_{3}}}{{{R}_{1}}.{{R}_{2}}+{{R}_{2}}.{{R}_{3}}+{{R}_{1}}.{{R}_{3}}} \\
& \Rightarrow {{R}_{td}}=\frac{2.\dfrac{4}{3}.4}{2.\dfrac{4}{3}+\dfrac{4}{3}.4+2.4}=\frac{2}{3}\Omega \\
& \Rightarrow {{I}_{A}}=\frac{U}{{{R}_{td}}}=\frac{24}{\frac{2}{3}}=36A \\
\end{align}\)
Bài 4: Cho mạch điện như hình vẽ bài 3. Điện trở
\({{R}_{1}}=2\Omega\), số chỉ
\({{A}_{1}}\) là 1A, số chỉ
\({{A}_{3}}\) gấp 2 lần số chỉ
\({{A}_{2}}\), số chỉ A là 1,25A. Tính:
a. Số chỉ
\({{A}_{2}},{{A}_{3}}\)
b. Điện trở
\({{R}_{2}},{{R}_{3}}\)
(Học sinh làm tương tự như bài 3)
Bài 5: Cho hai điện trở
\({{R}_{1}},{{R}_{2}}\) mắc song song với nhau, biết U = 40V biết cường độ dòng điện là 2A. Biết một trong hai điện trở gấp đôi điện trở còn lại. Tìm giá trị hai điện trở
\({{R}_{1}},{{R}_{2}}\)
Hướng dẫn giải
Do hai điện trở có vai trò như nhau, giả sử
\({{R}_{1}}=2{{R}_{2}}\)
Do hai điện trở mắc song song nên ta có:
\({{R}_{td}}=\frac{{{R}_{1}}.{{R}_{2}}}{{{R}_{1}}+{{R}_{2}}}=\frac{2{{R}_{2}}.{{R}_{2}}}{2{{R}_{2}}+{{R}_{2}}}=\frac{2}{3}{{R}_{2}}\) (1)
Mà
\({{R}_{td}}=\frac{U}{I}=\frac{40}{2}=20\Omega\) (2)
Từ (1) và (2)
\(\Rightarrow \frac{2}{3}{{R}_{2}}=20\Rightarrow {{R}_{2}}=30\Omega \Rightarrow {{R}_{1}}=2{{R}_{2}}=2.30=60\Omega\)
-------------------------------------------------------
Ngoài Bài tập Vật lý 9 Bài 5: Đoạn mạch song song. Mời các bạn học sinh còn có thể tham khảo thêm Giải Vở BT Vật Lý 9, Giải bài tập Vật Lí 9, Trắc nghiệm Vật lý 9 hoặc đề thi học học kì 1 lớp 9, đề thi học học kì 2 lớp 9 các môn Toán, Văn, Anh, Hóa, Lý, Địa, Sinh mà chúng tôi đã sưu tầm và chọn lọc. Với đề thi học kì 2 lớp 9 này giúp các bạn rèn luyện thêm kỹ năng giải đề và làm bài tốt hơn. Chúc các bạn học tốt