Giải bài tập trang 126, 127 SGK Vật lý lớp 9: Sự tạo ảnh trong máy ảnh
Giải bài tập trang 126, 127 SGK Vật lý lớp 9: Sự tạo ảnh trong máy ảnh
Mời các bạn cùng tham khảo tài liệu hướng dẫn giải bài tập trang 126, 127 SGK Vật lý lớp 9: Sự tạo ảnh trong máy ảnh do VnDoc.com sưu tầm và tổng hợp. Tài liệu nhằm hệ thống lại kiến thức về sự tạo ảnh trong máy ảnh. Đồng thời giúp các bạn nắm được cách giải các bài tập trong SGK một cách nhanh chóng và hiệu quả.
Giải bài tập trang 113, 114, 115 SGK Vật lý lớp 9: Thấu kính hội tụ
Giải bài tập trang 116, 117, 118 SGK Vật lý lớp 9: Ảnh của một vật tạo bởi thấu kính hội tụ
Giải bài tập trang 119, 120, 121 SGK Vật lý lớp 9: Thấu kính phân kì
Giải bài tập trang 122, 123 SGK Vật lý lớp 9: Ảnh của một vật tạo bởi thấu kính phân kì
Tóm tắt kiến thức cơ bản: Sự tạo ảnh trong máy ảnh
- Mỗi máy ảnh đều có vật kính, buồng tối và chỗ đặt màn hứng ảnh.
- Vật kính của máy ảnh là một thấu kính hội tụ.
- Ảnh trên màn hứng ảnh là ảnh thật, nhỏ hơn vật và ngược chiều với vật.
Giải bài tập trang 126, 127 SGK Vật lý lớp 9
Câu 1. Ảnh của vật trên tấm kính mở (đóng vai trò của phim) là ảnh thật hay ảnh ảo? Cùng chiều hay ngược chiều với vật? To hơn hay nhỏ hơn vật?
Hướng dẫn giải: Ảnh của vật trên phim là ảnh thật, ngược chiều với vật và nhỏ hơn vật.
Câu 2. Hiện tượng nào chứng tỏ vật kính của máy ảnh là thấu kính hội tụ?
Hướng dẫn giải: Hiện tượng thu được ảnh thật trên phim của vật thật chứng tỏ vật kính của máy ảnh là thấu kính hội tụ.
Câu 3. Vẽ ảnh của vật AB đặt vuông góc trục chính của vật kính, O là quang tâm, PQ là vị trí đặt phim, khoảng cách từ vật đến vật kính là 2 m, từ phim đến vật kính là 5 cm. Hình vẽ không cần đúng tỉ lệ.

Hướng dẫn giải:

Vẽ ảnh của vật AB cụ thể là:
- Kẻ tia sáng từ B qua quang tâm O truyền thẳng tới cắt phim PQ tại ảnh B' của B
- Từ B kẻ tia tới BI song song với trục chính tia ló IB'. Tia ló này cắt trục chính tại tiêu điểm F
- Hạ B' vuông góc với trục chính thì A'B' là ảnh của AB tạo bởi vật kính
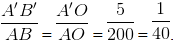
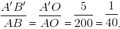
Câu 4. Dựa vào hình vẽ ở câu 3, hãy tính tỉ số giữa chiều cao của ảnh với chiều cao của vật để khẳng định những nhận xét trong câu 2.
Hướng dẫn giải: Tỉ số giữa chiều cao của ảnh và chiều cao của vật là:
![]()
Câu 5. Một người cao 1,6 m được chụp ảnh và đứng cách vật kính của máy ảnh là 3 m. Phim cách vật kính 6 m. Hỏi người ấy trên ohim cao bao nhiêu?
Hướng dẫn giải: Ta áp dụng kết quả của câu 4, ta có:
![]()