Không khí - Sự cháy
Chuyên đề Hóa học lớp 8: Không khí - Sự cháy được VnDoc sưu tầm và giới thiệu tới các bạn học sinh cùng quý thầy cô tham khảo. Nội dung tài liệu sẽ giúp các bạn học sinh học tốt môn Hóa học lớp 8 hiệu quả hơn. Mời các bạn tham khảo.
Chuyên đề: Không khí - Sự cháy
A/ Lý thuyết bài: Không khí - Sự cháy
1. Không khí
a. Thành phần chính
Không khí là một hỗn hợp khí trong đó oxi chiếm khoảng 1/5 thể tích. Cự thể oxi chiếm 21% thể tích, phần còn lại hầy hết là nitơ
b. Thành phần khác
Các khí khác (hơi nước, CO2, khí hiếm, bụi khói,…) chiếm tỉ lệ rất nhỏ, chỉ khoảng 1%
c. Bảo vệ không khí trong lanh, tránh ô nhiễm
- Xử lí chất thải
- Bảo vệ rừng, trồng rừng
2. Sự cháy và sự oxi hóa chậm
a. Sự cháy
- Là sự oxi hóa có tỏa nhiệt và phát sáng
- Sự khác nhau giữa sự cháy trong oxi và trong không khí: cháy trong không khí diễn ra chậm hơn, tạo nhiệt độ thấp hơn trong oxi. Do trong không khí còn có nito với thể tích gấp 4 lần oxi, làm diện tích tiếp xúc của vật với oxi ít nên sự cháy diễn ra chậm hơn. Đồng thời, nhiệt tiêu hao còn dùng để đốt nóng khí nitơ nên nhiệt độ đạt được thấp hơn
b. Sự oxi hóa chậm
- Là sự oxi hóa có tỏa nhiệt nhưng không phát sáng
- VD: sắt để lâu trong không khí bị gỉ
- Trong điều kiện nhất định, sựu oxi hóa chậm có thể chuyển thành sự cháy
c. Điều kiện phát sinh và các biện pháp dập tắt sự cháy
Điều kiện phát sinh:
- Cần nóng đến nhiệt độ cháy
- Có đủ oxi
Cách dập tắt:
- Hạ nhiệt độ của chất cháy xuống dưới nhiệt độ cháy
- Cách li chất cháy với oxi
B/ Trắc nghiệm bài: Không khí - Sự cháy
Câu 1: Trong không khí Oxi chiếm bao nhiêu phần trăm thể tích?
A. 21% B. 79% C. 21% D. 0%
Câu 2: Phương pháp nào để dập tắt lửa do xăng dầu?
A. Quạt
B. Phủ chăn bông hoặc vải dày
C. Dùng nước
D. Dùng cồn
Câu 3: Chọn đáp án đung nhất. Bản chất của phản ứng cháy là:
A. Cần có Oxi
B. Sản phẩm tạo ra có CO2
C. Là phản ứng oxi hóa – khử
D. Là phản ứng tỏa nhiệt
Câu 4: Để bảo vệ không khí trong lành chúng ta nên làm gì?
A. Chặt cây xây cầu cao tốc
B. Đổ chất thải chưa qua xử lí ra môi trường
C. Trồng cây xanh
D. Xây thêm nhiều khu công nghiệp
Câu 5: Thành phần các chất trong không khí:
A. 9% Nitơ, 90% Oxi, 1% các chất khác
B. 91% Nitơ, 8% Oxi, 1% các chất khác
C. 50% Nitơ, 50% Oxi
D. 21% Oxi, 78% Nitơ, 1% các chất khác
Câu 6: Điều kiện phát sinh phản ứng cháy là:
A. Chất phải nóng đến nhiệt độ cháy
B. Phải đủ khí oxi cho sự cháy.
C. Cần phải có chất xúc tác cho phản ứng cháy
D. Cả A & B
Câu 7: Chọn đáp án đúng nhất
A. Phản ứng oxi hóa chính là phản ứng cháy
B. Sự oxi hóa chậm không tỏa nhiệt và phát sáng
C. Sự oxi hóa chậm tỏa nhiệt và không phát sáng
D. Cả 3 đáp án đều sai
Câu 8: Sự giống nhau giữa sự cháy và sự oxi hóa chậm là
A. Phát sáng
B. Cháy
C. Tỏa nhiệt
D. Sự oxi hóa xảy ra chậm
Câu 9: Làm thế nào để dập tắt sự cháy?
A. Hạ nhiệt độ của chất cháy xuống dưới nhiệt độ cháy
B. Cách li chất cháy với oxi
C. Quạt
D. A & B đều đúng
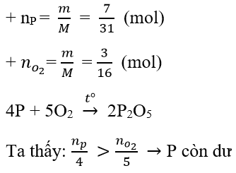
Câu 10: Đốt cháy 6g oxi và 7g P trong bình. Sau phản ứng chất nào còn dư?
A.Photpho
B. Oxi
C. Không xác định được
D. Cả hai chất
Đáp án:
| 1. A | 2.B | 3.C | 4.C | 5.D |
| 6.D | 7.C | 8.C | 9.D | 10.A |
Hướng dẫn:
Câu 10:

Với chuyên đề: Không khí - Sự cháy trên đây chúng ta có thể hiểu rõ về khái niệm không khí, sự cháy và sự oxi hóa chậm.
Trên đây VnDoc đã giới thiệu tới các bạn lý thuyết Hóa học 8: Không khí - Sự cháy. Để có kết quả cao hơn trong học tập, VnDoc xin giới thiệu tới các bạn học sinh tài liệu Chuyên đề Hóa học 8, Giải bài tập Hóa học lớp 8, Giải bài tập Vật Lí 8, Tài liệu học tập lớp 8 mà VnDoc tổng hợp và giới thiệu tới các bạn đọc.