Nồng độ dung dịch
Chuyên đề Hóa học lớp 8: Nồng độ dung dịch được VnDoc sưu tầm và giới thiệu tới các bạn học sinh cùng quý thầy cô tham khảo. Nội dung tài liệu sẽ giúp các bạn học sinh học tốt môn Hóa học lớp 8 hiệu quả hơn. Mời các bạn tham khảo.
Chuyên đề: Nông độ dung dịch
A/ Lý thuyết bài: Nồng độ dung dịch
1. Nồng độ phần trăm
Nồng độ phần trăm (kí hiệu C%) của một dung dịch cho ta biết số gam chất tan trong 100g dung dịch
CT: ![]()
Trong đó: mct là khối lượng chất tan, tính bằng gam
mdd là khối lượng dung dich, tính bằng gam
khối lượng dung dịch = khối lượng chất tan + khối lượng dung môi
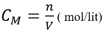
2. Nồng độ mol dung dich
Nồng độ mol (kí hiệu CM) của dung dịch cho biết số mol chất tan trong 1 lit dung dịch
![]()
Trong đó: n : số mol chất tan
V: thể tích dung dịch (lít)
B/ Trắc nghiệm bài: Nồng độ dung dịch
Câu 1: Số mol trong 400 ml NaOH 6M là
A. 1,2 mol B. 2,4 mol C. 1,5 mol D. 4 mol
Câu 2: Hòa tan 300 ml Ba(OH)2 0,4M. Tính khối lượng cuả Ba(OH)2
A. 20,52 gam B. 2,052 gam C. 4,75 gam D. 9,474 gam
Câu 3: Hòa tan CuSO4 40% trong 90 g dung dịch. Số mol cần tìm là
A. 0,225 mol B. 0,22 mol C. 0,25 mol D. 0,252 mol
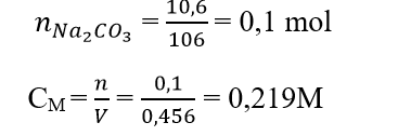
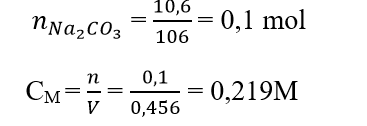
Câu 4: Tính nồng độ mol của 456 ml Na2CO3 10,6 gam
A. 0,32 M B. 0,129 M C. 0,2 M D. 0,219 M
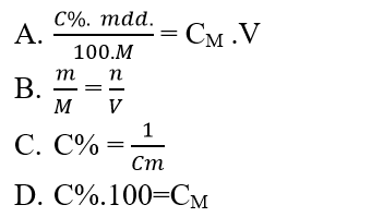
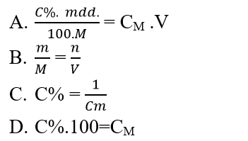
Câu 5: Công thức tính nồng độ phần trăm là

Câu 6: Mối quan hệ giữa C% và CM

Câu 7: Dung dich HCl 25% (D = 1,198 g/ml). Tính CM
A. 8M B. 8,2M C. 7,9M D. 6,5M
Câu 8: Dung dich NaOH 4M (D = 1,43 g/ml). Tính C%
A. 11% B. 12,2% C. 11,19% D. 11,179%
Câu 9: Hòa tan 40 g đường với nước được dung dịch đường 20%. Tính khối lượng dung dịch đường thu được
A. 150 gam B. 170 gam C. 200 gam D. 250 gam
Câu 10: Hòa tan 50 g đường với nước được dung dịch đường 10%. Tính khối lượng nước cần chop ha chế dung dịch
A. 250 gam B. 450 gam C. 50 gam D. 500 gam
Đáp án:
| 1.B | 2.A | 3.A | 4.D | 5.A |
| 6.A | 7.B | 8.C | 9.C | 10.B |
Hướng dẫn:
Câu 1: Hướng dẫn giải: n = CM.V = 0,6.4 = 2,4 (mol)
Câu 2: Hướng dẫn giải:
+ nBa(OH)2 = 0,4.0,3 = 0,12 mol
+ mBa(OH)2 = 0,12.171 = 20,52 g
Câu 3:

Câu 4:

Câu 7:

Câu 8:

Câu 9:

Câu 10:

mnước = mdd - m = 500 – 50 = 450 gam
Với chuyên đề: Nồng độ dung dịch trên đây chúng ta có thể hiểu rõ về khái niệm, công thức tính nồng độ dung dịch.
Trên đây VnDoc đã giới thiệu tới các bạn lý thuyết Hóa học 8: Nồng độ dung dịch. Để có kết quả cao hơn trong học tập, VnDoc xin giới thiệu tới các bạn học sinh tài liệu Chuyên đề Hóa học 8, Giải bài tập Hóa học lớp 8, Giải bài tập Vật Lí 8, Tài liệu học tập lớp 8 mà VnDoc tổng hợp và giới thiệu tới các bạn đọc.