Trắc nghiệm chương 6: Dung dịch
Chuyên đề Hóa học lớp 8: Trắc nghiệm chương 6: Dung dịch được VnDoc sưu tầm và giới thiệu tới các bạn học sinh cùng quý thầy cô tham khảo. Nội dung tài liệu sẽ giúp các bạn học sinh học tốt môn Hóa học lớp 8 hiệu quả hơn. Mời các bạn tham khảo.
Bài tập chương 6: Dung dịch
Câu 1: Muốn chất rắn tan nhanh hơn trong nước thì:
A. Khuấy dung dịch
B. Đun nóng dung dịch
C. Nghiền nhỏ chất rắn
D. Cả 3 phương án trên đều đúng
Câu 2: Độ tan của một chất trong nước ở nhiệt độ xác định là:
A. Số gam chất đó tan nhiều trong 100g dung dịch.
B. Số gam chất đó tan ít trong 100g dung môi
C. Số gam chất đó tan trong nước tạo ra 1000g dung dịch
D. Số gam chất đó tan trong 100g nước để tạo dung dịch bão hoà
Câu 3: Nồng độ mol/lít của dung dịch là:
A. Số gam chất tan trong 1 lít dung dịch
B. Số gam chất tan trong 1 lít dung môi
C. Số mol chất tan trong 1 lít dung dịch
D. Số mol chất tan trong 1 lít dung môi
Câu 4: Hòa tan 3,1 gam Na2O vào nước được 2 lít dung dịch A. Tính nồng độ mol/lit của dung dịch A
A. 0,025 mol
B. 0,075 mol
C. 0,5 mol
D. 0,275 mol
Câu 5: Tính mKOH biết hòa tan 900ml KOH 2M thành dung dịch A
A. 110 gam
B. 100,8 gam
C. 98 gam
D. 100 gam
Câu 6: Khẳng định đúng là
A. Yếu tố ảnh hưởng tới độ tan là áp suất
B. Có 3 bước để pha chế dung dịch
C. Dầu ăn không hòa tan được xăng
D. Hòa tan đường với nước ta thu được dung dịch gọi là nước đường.
Câu 7: Nó độ tan của khí clo ở 5°C và áp suất 2 atm là 2 gam được kí hiệu là
A. SCl (5°C, 2 atm) = 2 gam
B. SCl2 (5°C) = 2 gam
C. SCl (5°C, 2 atm) = 20 gam
D. SCl2 (5°C, 2 atm) = 2 gam
Câu 8: Dung dich KOH 2M (D = 1,43 g/ml). Tính C%
A. 2,45 M
B. 5,43 M
C. 7,832 M
D. 4,6 M
Câu 9: Dung dịch H2SO4 45% (D = 1,198 g/ml). Tính CM
A. 5 M
B. 5,5 M
C. 4,7 M
D. 6 M
Câu 10: Có 75g dung dịch KOH 30%. Khối lượng NaOH cần cho thêm vào dung dịch trên để được dung dịch 55 % là:
A. 40 gam
B. 45 gam
C. 33 gam
D. 21 gam
Câu 11: Hòa tan hoàn toàn một muối cacbonat của kim loại R bằng dung dịch HCl 18,25% vừa đủ, sau phản ứng thu được dung dịch muối clorua có nồng độ 21,591%. Công thức hóa học của muối cacbonat là
A. CuCO3
B. FeCO3
C. MgCO3
D. CaCO3
Câu 12: Độ tan của một chất trong nước ở nhiệt độ xác định là :
A. Số gam chất đó có thể tan trong 100 gam dung dịch.
B. Số gam chất đó có thể tan trong 100 gam nước.
C. Số gam chất đó có thể tan trong 100 gam dung môi để tạo thành dung dịch bão hòa.
D. Số gam chất đó có thể tan trong 100 gam nước để tạo thành dung dịch bão hòa.
Câu 13: Trộn 200 gam dung dịch CuCl2 15% với m gam dung dịch CuCl2 5,4% thì thu được dung dịch có nồng độ 11,8%. Giá trị của m là:
A. 200.
B. 50
C. 100
D. 150
Câu 14: Tính khối lượng dung dịch NaCl 10% cần trộn với 300 gam dung dịch NaCl 25% để thu được dung dịch NaCl 15%
A. 600 gam.
B. 500 gam.
C. 200 gam.
D. 100 gam
Câu 15: Cho a gam dung dịch H2SO4 24,5% vào b gam dung dịch NaOH 8% thu được 3,6 gam muối axit NaHSO4 và 2,84 gam muối trung hòa N a2SO4. Giá trị a và b lần lượt là
A. 20 và 35.
B. 35 và 20.
C. 45 và 30.
D. 30 và 45.
Câu 16: Cho 200 gam dung dịch NaOH 20% tác dụng vừa đủ với 100 gam dung dịch HCl, phản ứng sinh ra NaCl và nước. Tính nồng độ phần trăm của dung dịch HCl ban đầu.
A. 3,65%.
B. 36,5%.
C. 18,25%.
D. 29,5%.
Câu 17: Hòa tan hoàn toàn 6,2 gam Na2O vào nước dư được 2 lít dung dịch A. Nồng độ mol/l của dung dịch A là
A. 0,05M.
B. 0,1M.
C. 0,01M.
D. 1M.
Câu 18: Hòa tan hết 10 gam NaCl vào 40g H2O. Nồng độ % của dung dịch thu được là: (cho rằng nước bay hơi không đáng kể).
A. 5%
B. 10%
C. 15%
D. 20%
Câu 19: Tính độ tan của K2CO3 trong nước ở 20°C. Biết rằng ở nhiệt độ này hòa tan hết 45 gam muối trong 150 gam nước thì dung dịch bão hòa.
A. 20 gam
B. 45 gam
C. 30 gam
D. 12 gam
Câu 20: Khi hòa tan 100 ml rượu etylic vào 50 ml nước thì
A. chất tan là rượu etylic, dung môi là nước.
B. chất tan là nước, dung môi là rượu etylic.
C. nước hoặc rượu etylic có thể là chất tan hoặc là dung môi.
D. cả hai chất nước và rượu etylic vừa là chất tan, vừa là dung
Đáp án:
| 1.D | 2.D | 3.C | 4.A | 5.B |
| 6.D | 7.D | 8.C | 9.B | 10.B |
| 11C | 12D | 13C | 14A | 15A |
| 16B | 17B | 18B | 19C | 20D |
Hướng dẫn:
Câu 4:

Câu 5:
![]()
Câu 8:

Câu 9:

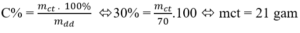
Câu 10:
Khối lượng KOH có chứa trong 75 gam dung dịch 30% là:

Gọi khối lượng KOH thêm vào là a (gam), ta có

Trên đây VnDoc đã giới thiệu tới các bạn lý thuyết Hóa học 8: Trắc nghiệm chương 6: Dung dịch. Để có kết quả cao hơn trong học tập, VnDoc xin giới thiệu tới các bạn học sinh tài liệu Chuyên đề Hóa học 8, Giải bài tập Hóa học lớp 8, Giải bài tập Vật Lí 8, Tài liệu học tập lớp 8 mà VnDoc tổng hợp và giới thiệu tới các bạn đọc.