Trắc nghiệm chương 3: Mol và tính toán hóa học
Chuyên đề Hóa học lớp 8: Trắc nghiệm chương 3: Mol và tính toán hóa học được VnDoc sưu tầm và giới thiệu tới các bạn học sinh cùng quý thầy cô tham khảo. Nội dung tài liệu sẽ giúp các bạn học sinh học tốt môn Hóa học lớp 8 hiệu quả hơn. Mời các bạn tham khảo.
Bài tập chương 3: Mol và tính toán hóa học
Câu 1: 0,5 mol mol nước chứa số nguyên tử
A. 3,01.1023
B. 6,02.1023
C. 3.1023
D. 4.1023
Câu 2: Số mol phân tử Cl2 có trong 7,1 g Cl2
A. 1 mol B. 0,01 mol C. 0,1 mol D. 0,05 mol
Câu 3: Tính %mMg trong 1 mol MgSO4
A. 80% B. 30% C. 50% D. 20%
Câu 4: Số mol tương ứng của 4,8 g C; 8 g O; 0,56 g Fe
A. 0,04 mol, 0,5 mol, 0,1 mol
B. 0,4 mol, 0,5 mol, 0,01 mol
C. 4 mol, 5 mol, 1 mol
D. 0,4 mol, 0,1 mol, 0,3 mol
Câu 5: Kết luận đúng khi nói về khí clo và khí metan
A. MCl2= MCH4
B. Khí clo nặng hơn 4,4375 lần khí metan
C. Khí metan nặng hơn khí clo 2,5 lần
D. Khí metan nặng hơn khí clo 4,4375 lần
Câu 6: Cho 1,6 g S cháy trong không khí thấy có khí có khả năng làm mất màu cánh hoa hồng. Tính thể tích khí đó
A. 1,12 ml B. 0,102 l C. 11,2 ml D. 1,12 l
Câu 7: Cho 2,7 g nhôm tác dụng với 6,4 g O2. Hỏi sau phản ứng thu được những chất nào, biết rằng hóa trị cao nhất của nhôm trong hợp chất là III
A. Al2O3 B. Al C. O2 D. Al2O3 và O2 dư
Câu 8: Muốn thu khí NO vào bình ta phải
A. Đặt đứng bình
B. Đặt úp bình
C. Cách nào cũng được
D. Lúc đầu để đứng bình rồi chuyển sang để ngang bình
Câu 9: Tính khối lượng đã phản ứng của HCl khi cho 2,875 g Na tác dụng với nó để sinh ra khí hidro
A. 9,2 g B. 4,5625 g C. 12,95 g D. 1,123 g
Câu 10: Cho dX/H2 = 0,12 nghĩa là gì
A. X nhẹ hơn H2 0,12 lần
B. X nặng hơn H2 0,12 lần
C. Số mol của X và hidro bằng nhau
D. Không kết luận được
Đáp án:
| 1.A | 2.C | 3.D | 4.B | 5.B |
| 6.D | 7.D | 8.A | 9.B | 10.A |
Hướng dẫn:
Câu 1: số ng.tử = số mol . số Avogadro = 0,5.6,2.1023 = 3,2.1023
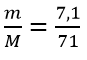
Câu 2: n =
= 0,1 (mol)
Câu 3:

Câu 4: Sử dụng công thức n = m/M
Câu 5: dCl2/CH4 = 71/16 = 4,4375 ⇒ khí clo nặng hơn khí metan 4,4375 lần
Câu 6: Khí làm mất màu cánh hoa hồng là khí SO2
S + O2 → SO2
0,05 0,05 mol
nS = 1,6/32 = 0,05 mol
VSO2 = 0,05.22,4 = 1,12 l
Câu 7:

Vậy sau phản ứng thấy Al2O3 và O2 dư
Câu 8: Xét tỉ khối của NO (M=34) so với không khí(M=29) ta thấy NO nặng hơn không khí nên sẽ chìm xuống dưới. Do vậy, để thu được NO ta phải đặt đứng bình
Câu 9:
nNa=2,875/23=0,125 mol
2Na+2HCl → 2NaCl +H2
0,125→0,125 mol
mHCl = 0,125.36,5 = 4,5625 g
Trên đây VnDoc đã giới thiệu tới các bạn lý thuyết Hóa học 8: Trắc nghiệm chương 3: Mol và tính toán hóa học. Để có kết quả cao hơn trong học tập, VnDoc xin giới thiệu tới các bạn học sinh tài liệu Chuyên đề Hóa học 8, Giải bài tập Hóa học lớp 8, Giải bài tập Vật Lí 8, Tài liệu học tập lớp 8 mà VnDoc tổng hợp và giới thiệu tới các bạn đọc.