Giao diện mới của VnDoc Pro: Dễ sử dụng hơn - chỉ tập trung vào lớp bạn quan tâm. Vui lòng chọn lớp mà bạn quan tâm: Lưu và trải nghiệm
Đóng
Điểm danh hàng ngày
  • Hôm nay +3
  • Ngày 2 +3
  • Ngày 3 +3
  • Ngày 4 +3
  • Ngày 5 +3
  • Ngày 6 +3
  • Ngày 7 +5
Bạn đã điểm danh Hôm nay và nhận 3 điểm!
Nhắn tin Zalo VNDOC để nhận tư vấn mua gói Thành viên hoặc tải tài liệu Hotline hỗ trợ: 0936 120 169

Luyện thi Violympic Toán lớp 9 vòng 19 năm 2015 - 2016

Lớp: Lớp 9
Môn: Toán
Loại File: PDF + Word
Phân loại: Tài liệu Tính phí

Đề luyện thi Violympic Toán lớp 9 vòng 19

Luyện thi Violympic Toán lớp 9 vòng 19 năm 2015 - 2016 được VnDoc sưu tầm và giới thệu tới các em học sinh tham khảo để củng cố và rèn luyện kiến thức chuẩn bị cho vòng thi 19 (bắt đầu mở từ ngày 08/04/2016) của Cuộc thi giải Toán qua mạng lớp 9 năm 2015 - 2016 sắp tới đây.

Đề thi Violympic Toán lớp 9 vòng 17 năm 2015 - 2016

Đề thi Violympic Toán lớp 9 vòng 18 năm 2015 - 2016

Mời làm: Luyện thi Violympic Toán lớp 9 vòng 19 năm 2015 - 2016 trực tuyến

Bài 1: Cóc vàng tài ba

Câu 1.1: Một hình chữ nhật có chu vi là 238m và diện tích là 3468m2. Độ dài đường chéo của hình chữ nhật đó là:

a. 68m b. 119m c. 7225m d. 85m

Câu 1.2: Trên mặt phẳng tọa độ Oxy cho ba điểm A(√a; -37); B(-5; -20), C(7; -16) thẳng hàng. Khi đó a bằng:

a. √14 b. √13 c. 196 d. 169

Câu 1.3: Số nghiệm của đa thức f(x) = (4x4 - 1)(1 + 8x3)(-x3 - 2x) là:

a. 4 b. 3 c. 6 d. 2

Câu 1.4: Giá trị của biểu thức A = 22x3 - 33x + 44 tại x = Luyện thi violympic toán lớp 9 vòng 19bằng:

a. 99 b. 88 c. 77 d. 66

Câu 1.5: Tập hợp các giá trị của m để phương trình x2 + (4m + 1)x + 2(m - 4) = 0 có hai nghiệm x1; x2 thỏa mãn Ιx1 - x2Ι = 17 là:

a. {8} b. {4} c. {-4; 4} d. {-8; 8}

Câu 1.6: Với x > 0, giá trị nhỏ nhất của biểu thức M = 9x2 + 3x + 1/x + 1420 là:

a. 1426 b. 1437 c. 1425 d. 1438

Câu 1.7: Cho tan α = 1/2. Giá trị của biểu thức Luyện thi violympic toán lớp 9 vòng 19bằng:

a. 3 b. 9 c. -9 d. -3

Câu 1.8: Cho số A = 20142014201420143 + 2014201420142014. Số dư trong phép chia A cho 6 là:

a. 4 b. 0 c. 5 d. 2

Câu 1.9: Tổng các nghịch đảo của các nghiệm của phương trình:Luyện thi violympic toán lớp 9 vòng 19là:

a. 25 b. 25/4 c. -4/25 d. -25/4

Câu 1.10: Tam giác ABC có Â = 60o, AB = 6cm, AC = 10cm, AD là đường phân giác. Độ dài của đoạn AD là:

a. 6√3/4cm b. 15√3/2cm c. 15√3/4cm d. 15√3cm

Bài 2: Đi tìm kho báu

Câu 2.1: Cho tam giác ABC cân tại A nội tiếp đường tròn (O; 10cm), biết độ dài đường cao AH bằng độ dài cạnh BC. Diện tích của tam giác ABC là ..........cm2.

Câu 2.2: Tập nghiệm của phương trìnhLuyện thi violympic toán lớp 9 vòng 19là {.......}

Câu 2.3: Rút gọn biểu thức:Luyện thi violympic toán lớp 9 vòng 19 được giá trị là: ..............

Câu 2.4: Trong mặt phẳng tọa độ Oxy, điểm mà đường thẳng y = (m - 2)x + 3 luôn luôn đi qua có tọa độ là (....; ....)

Câu 2.5: Cho tam giác ABC vuông tại A, đường cao AH, HB = 6cm, HC = 24cm. Vẽ đường tròn tâm A bán kính AH. Kẻ tiếp tuyến CN (N là tiếp điểm và khác H), CN cắt HA tại K. Chu vi tam giác ANK bằng ...... cm.

Bài 3: Hãy điền số thích hợp vào chỗ chấm

Câu 3.1: Cho đa thức f(x) = x2 + ax + b. Biết f(x) choa cho (x - 1) dư 2, chia cho (x + 2) dư -4. Khi đó tích ab = .......

Câu 3.2: Tập hợp các giá trị của m để phương trình: (m2 - 4)x2 + 2(m + 2)x + 1 = 0 có nghiệm duy nhất là: {......}

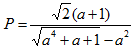
Câu 3.3: Cho a là nghiệm âm của phương trình: 4x2 + √2x - 2 = 0. Giá trị của biểu thứcLuyện thi violympic toán lớp 9 vòng 19là: ................

Câu 3.4: Cho tam giác ABC cân tại A, đường cao ứng với cạnh đáy có độ dài là 15,6cm; đường cao ứng với cạnh bên có độ dài là 12cm. Độ dài đáy BC là ............ cm.

Câu 3.5: Tứ giác ABCD nội tiếp đường tròn đường kính AD, có AB = BC = 4√3cm; CD = 4cm. Bán kính đường tròn ngoại tiếp tứ giác ABCD là ............ cm.

Câu 3.6: Các ngôi nhà ở một bên của một dãy phố được đánh số bằng các số lẻ liên tiếp tăng dần. Biết rằng số ngôi nhà nhiều hơn 3 và tổng các số nhà bằng 333. Số nhà của ngôi nhà thứ bảy tính từ đầu dãy phố đó là: .............

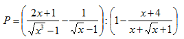
Câu 3.7: Cho biểu thức: Luyện thi violympic toán lớp 9 vòng 19. Tập hợp các giá trị của x để P nhận giá trị nguyên dương là S = {.........}

Câu 3.8: Tập hợp các giá trị của m để khoảng cách từ gốc tọa độ đến đường thẳng (d): y = (m - 1)x + 1 bằng 1/√5 là S = {........}

Câu 3.9: Số dư trong phép chia 102015 1010 + 10102 + 10103 + ..... + 10102015 cho 7 là: .....................

Câu 3.10: Cho tam giác ABC vuông tại A. Gọi I là giao điểm các đường phân giác trong của tam giác, M là trung điểm của BC. Biết rằng góc BIM = 90o. Khi đó AB : BC : CA = ............

Đáp án đề luyện thi Violympic Toán lớp 9 vòng 19

Bài 1: Cóc vàng tài ba

Câu 1.1: d

Câu 1.2: c

Câu 1.3: a

Câu 1.4: c

Câu 1.5: c

Câu 1.6: c

Câu 1.7: b

Câu 1.8: d

Câu 1.9: d

Câu 1.10: c

Bài 2: Đi tìm kho báu

Câu 2.1: 128

Câu 2.2: 11

Câu 2.3: 11

Câu 2.4: 0; 3

Câu 2.5: 48

Bài 3: Hãy điền số thích hợp vào chỗ chấm

Câu 3.1: -6

Câu 3.2: 2

Câu 3.3: 2

Câu 3.4: 13

Câu 3.5: 6

Câu 3.6: 41

Câu 3.7: 16; 36

Câu 3.8: -1; 3

Câu 3.9: 3

Câu 3.10: 3 : 5 : 4

Chọn file muốn tải về:
Đóng Chỉ thành viên VnDoc PRO/PROPLUS tải được nội dung này!
Đóng
79.000 / tháng
Đặc quyền các gói Thành viên
PRO
Phổ biến nhất
PRO+
Tải tài liệu Cao cấp 1 Lớp
30 lượt tải tài liệu
Xem nội dung bài viết
Trải nghiệm Không quảng cáo
Làm bài trắc nghiệm không giới hạn
Mua cả năm Tiết kiệm tới 48%

Có thể bạn quan tâm

Xác thực tài khoản!

Theo Nghị định 147/2024/ND-CP, bạn cần xác thực tài khoản trước khi sử dụng tính năng này. Chúng tôi sẽ gửi mã xác thực qua SMS hoặc Zalo tới số điện thoại mà bạn nhập dưới đây:

Số điện thoại chưa đúng định dạng!
Số điện thoại này đã được xác thực!
Bạn có thể dùng Sđt này đăng nhập tại đây!
Lỗi gửi SMS, liên hệ Admin
Sắp xếp theo
🖼️

Toán 9

Xem thêm
🖼️

Gợi ý cho bạn

Xem thêm