Lý thuyết Toán 10 bài: Bài tập cuối chương 3 CTST
Lý thuyết Toán lớp 10 bài 10: Bài tập cuối chương 3 được chúng tôi sưu tầm và tổng hợp các câu hỏi lí thuyết và trắc nghiệm có đáp án đi kèm nằm trong chương trình giảng dạy môn Toán lớp 10 sách CTST. Mời quý thầy cô cùng các bạn tham khảo tài liệu dưới đây.
Ôn tập cuối chương 3
A. Lý thuyết Toán 10 bài tập cuối chương 3
1. Hàm số và đồ thị
a) Hàm số. Tập xác định và tập giá trị của hàm số
+) Định nghĩa:
Giả sử x và y là hai đại lượng biến thiên,
\(x \in D\)
Nếu với mỗi
\(x \in D\), ta xác định được y duy nhất
\(y \in \mathbb{R}\) thì ta có một hàm số.
+) Tên gọi: x là biến số, y là hàm số của x, D là tập xác định
\(T = \left\{ {y|x \in D} \right\}\) là tập giá trị của hàm số.
+) Ta thường kí hiệu f(x) là giá trị y tương ứng với x, nên hàm số thường viết là y = f(x)
Chú ý
+ Hàm số cho bởi công thức mà không chỉ rõ tập xác định thì
TXĐ của hàm số y = f(x) là tập hợp tất cả các
\(x \in R\) sao cho f(x) có nghĩa.
+ Một hàm số có thể được cho bởi hay nhiều công thức.
b) Đồ thị hàm số
Cho hàm số y = f(x) có tập xác định D
Trên mặt phẳng tọa độ Oxy, đồ thị (C) của hàm số là tập hợp tất cả các điểm M(x; y) với \
\(x \in D\) và y = f(x).
Chú ý: Điểm
\(M({x_M};{y_M})\) thuộc đồ thị hàm số y = f(x) khi và chỉ khi
\({{x_M} \in D}\) và
\({{y_M} = f({x_M})}.\)

c) Hàm số đồng biến, hàm số nghịch biến
Với hàm số y = f(x) xác định trên khoảng (a; b), ta nói:
- Hàm số đồng biến trên khoảng (a; b) nếu:
\(\forall {x_1},{x_2} \in (a;b),{x_1} < {x_2} \Rightarrow f({x_1}) < f({x_2})\)
- Hàm số nghịch biến trên khoảng (a; b) nếu:
\(\forall {x_1},{x_2} \in (a;b),{x_1} < {x_2} \Rightarrow f({x_1}) > f({x_2})\)
Nhận xét:
Khi hàm số đồng biến (tăng) trên khoảng (a; b) thì đồ thị của nó có dạng đi lên từ trái sang phải. Ngược lại, khi hàm số nghịch biến (giảm) trên khoảng (a; b) thì đồ thị của nó có dạng đi xuống từ trái sang phải.
2. Hàm số bậc hai
a) Hàm số bậc hai
+ Định nghĩa:
Hàm số bậc hai biến x là hàm số cho bởi công thức dạng
\(y = f(x) = a{x^2} + bx + c\) với
\(a,b,c \in \mathbb{R};a \ne 0.\)
+ Tập xác định: R
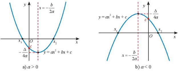
b) Đồ thị hàm số bậc hai
+) Đồ thị hàm số bậc hai
\(y = f(x) = a{x^2} + bx + c(a \ne 0)\)là một parabol (P):
- Đỉnh
\(S\left( { - \frac{b}{{2a}}; - \frac{\Delta }{{4a}}} \right)\)
- Trục đối xứng: đường thẳng
\(x = - \frac{b}{{2a}}\)
- Bề lõm: quay lên trên nếu a > 0, quay xuống dưới nếu a < 0
- Cắt Oy tại điểm (0; c)

Chú ý: Nếu PT
\(a{x^2} + bx + c = 0\)có hai nghiệm
\({x_1},{x_2}\) thì đồ thị hàm số
\(y = a{x^2} + bx + c\) cắt trục hoành tại 2 điểm có hoành độ lần lượt là 2 nghiệm này.
+) Vẽ đồ thị
1) Xác định đỉnh
\(S\left( { - \frac{b}{{2a}}; - \frac{\Delta }{{4a}}} \right)\)
2) Vẽ trục đối xứng d:
\(x = - \frac{b}{{2a}}\)
3) Tìm tọa độ giao điểm của đồ thị với trục tung (A(0; c)), trục hoành (nếu có).
Xác định
\(B\left( {\frac{{ - b}}{a};c} \right)\) (là điểm đối xứng với A qua d)
4) Vẽ parabol đỉnh S, trục đối xứng d, đi qua các điểm tìm được.
c) Sự biến thiên của hàm số bậc hai
+) Bảng biến thiên

+) Kết luận:
|
|
a > 0 |
a < 0 |
|
Trên khoảng |
Hàm số nghịch biến |
Hàm số đồng biến |
|
Trên khoảng |
Hàm số đồng biến |
Hàm số nghịch biến |
|
GTLN hoặc GTNN |
Đạt GTNN bằng |
Đạt GTLN bằng |
|
Tập giá trị |
|
|
d) Ứng dụng của hàm số bậc hai
+) Tầm bay cao và tầm bay xa
Chọn điểm
\((0;{y_0})\) là điểm xuất phát thì phương trình quỹ đạo của cầu lông khi rời mặt vợt là:
\(y = \frac{{ - g.{x^2}}}{{2.{v_0}^2.{{\cos }^2}\alpha }} + \tan \alpha .x + {y_0}\)
Trong đó:
g là giá tốc trọng trường
\(\approx 9,8\;m/{s^2}\)
\(\alpha\)là góc phát cầu (so với phương ngang của mặt đất)
\({v_0}\) là vận tốc ban đầu của cầu
\({y_0}\) là khoảng cách từ vị trí phát cầu đến mặt đất
Quỹ đạo chuyển động của cầu lông là một parabol.

- Vị trí cao nhất tại đỉnh parabol, gọi là tầm bay cao;
- Khoảng cách từ nơi đứng phát cầu đến điểm chạm đất, gọi là tầm bay xa.
+) Bài toán ứng dụng
Khi cầu bay tới vị trí lưới phân cách, nếu nó ở bên trên mặt lưới và điểm rơi không ra khỏi đường biến phía sân đối phương thì lần phát cầu được xem là hợp lệ.

B. Bài tập minh họa
Câu 1: Vẽ đồ thị hàm số
\(f(x) = 3x + 8\)
Hướng dẫn giải
\((C) = \{ M(x;3x + 8)|x \in \mathbb{R}\}\) là đường thẳng y = 3x + 8
Với x = 0 thì f(0) = 3.0 + 8 = 8, do đó A (0; 8) thuộc đồ thị hàm số.
Với x = - 2 thì f(0) = 3.( - 2) + 8 = 2 do đó B (-2; 2) thuộc đồ thị hàm số.
Với x = - 3 thì f(0) = 3.( - 3) + 8 = - 1 do đó C (-3; -1) thuộc đồ thị hàm số.

Câu 2:
a) Tìm khoảng đồng biến và nghịch biến của hàm số có đồ thị sau:

b) Xét tính đồng biến, nghịch biến của hàm số
\(y = f(x) = 5{x^2}\)) trên khoảng (2; 5).
Hướng dẫn giải
a) Từ đồ thị ta thấy hàm số xác định trên [-3;7]
+) Trên khoảng (-3; 1): đồ thị có dạng đi lên từ trái sang phải nên hàm số này đồng biến trên khoảng (-3; 1).
+) Trên khoảng (1; 3): đồ thị có dạng đi xuống từ trái sang phải nên hàm số này nghịch biến trên khoảng (1; 3).
+) Trên khoảng (3; 7): đồ thị có dạng đi lên từ trái sang phải nên hàm số này đồng biến trên khoảng (3; 7).
b) Xét hàm số
\(y = 5{x^2}\) trên khoảng (2; 5).
Lấy
\({x_1},{x_2} \in (2;5)\)là hai số tùy ý sao cho
\({x_1} < {x_2}.\)
Do
\({x_1},{x_2} \in (2;5)\) và
\({x_1} < {x_2}\) nên
\(0 < {x_1} < {x_2}\), suy ra
\({x_1}^2 < {x_2}^2\) hay
\(5{x_1}^2 < 5{x_2}^2\)
Từ đây suy ra
\(f({x_1}) < f({x_2})\)
Vậy hàm số đồng biến (tăng) trên khoảng (2; 5).
Câu 3: Tìm khoảng đồng biến, khoảng nghịch biến của hàm số
\(y = 2{x^2} - 6x + 11.\) Hàm số này có thể đạt giá trị bằng -1 không? Tại sao?
Hướng dẫn giải
Đỉnh S có tọa độ:
\({x_S} = \frac{{ - b}}{{2a}} = \frac{{ - ( - 6)}}{{2.2}} = \frac{3}{2};{y_S} = 2.{\left( {\frac{3}{2}} \right)^2} - 6.\frac{3}{2} + 11 = \frac{{13}}{2}.\)
Hay
\(S\left( {\frac{3}{2};\frac{{13}}{2}} \right).\)
Vì hàm số bậc hai có a = 2 > 0 nên ta có bảng biến thiên sau:

Hàm số đồng biến trên khoảng
\((\frac{3}{2}; + \infty )\) và nghịch biến trên khoảng
\(( - \infty ;\frac{3}{2})\)
Hàm số đạt giá trị nhỏ nhất bằng
\(\frac{{13}}{2}\) khi
\(x = \frac{3}{2}\)
Do đó hàm số không thể đạt giá trị bằng -1 vì
\(- 1 < \frac{{13}}{2}.\)
-----------------------------------------
Như vậy VnDoc đã giới thiệu các bạn tài liệu Lý thuyết Toán lớp 10 bài: Bài tập cuối chương 3. Mời các bạn tham khảo thêm tài liệu: Giải bài tập Toán lớp 10, Chuyên đề Toán 10, Giải Vở BT Toán 10 , Toán 10 Cánh Diều, Toán 10 Kết nối tri thức, Tài liệu học tập lớp 10.