Vở bài tập Toán lớp 4 Bài 50: Chia hai số có tận cùng là chữ số 0 Chân trời sáng tạo
Giải vở bài tập Toán lớp 4 trang 28: Chia hai số có tận cùng là chữ số 0 Chân trời sáng tạo là lời giải chi tiết cho Bài 50 của quyển Toán 4 (Tập 2) sách Chân trời sáng tạo. Bài giải do Vndoc biên soạn nhằm giúp các em học sinh học tập tốt môn Toán lớp 4. Đồng thời các bậc phụ huynh tham khảo hướng dẫn con em mình trình bày bài giải cho phụ hợp.
Giải VBT Toán 4 Bài 50: Chia hai số có tận cùng là chữ số 0
Vở bài tập Toán lớp 4 Tập 2 trang 28 Cùng học
Viết vào chỗ chấm.
|
720 : 60 = 72 chục : 6 chục = …… |
|
|
Lời giải
|
720 : 60 = 72 chục : 6 chục = 12 |
|
|
Vở bài tập Toán lớp 4 Tập 2 trang 28 Thực hành
Đặt tính rồi tính.
|
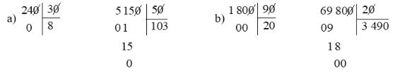
a) 240 : 30 |
5 150 : 50 |
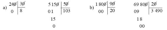
b) 1 800 : 90 |
69 800 : 20 |
|
……………………………………………………………………………………….. ……………………………………………………………………………………….. ……………………………………………………………………………………….. ……………………………………………………………………………………….. |
|||
Lời giải

Vở bài tập Toán lớp 4 Tập 2 trang 28 Luyện tập 1
Số?
|
a) 120 phút = ……… giờ 1 080 phút = ……… giờ |
b) 300 giây = ………phút 3 600 giây = …… phút = ……giờ |
Lời giải
|
a) 120 phút = 2 giờ 1 080 phút = 18 giờ |
b) 300 giây = 5 phút 3 600 giây = 60 phút = 1 giờ |
Vở bài tập Toán lớp 4 Tập 2 trang 28 Luyện tập 2
Một số chia cho một tích.
a) Số?
|
24 : (3 × 2) = ……… |
24 : 3 : 2 = ……… |
24 : 2 : 3 = ……… |
Vậy: 24 : (3 × 2) = 24 : 3 : 2 = 24 : 2 : 3
b) Số?
720 : 60 = 720 : (… × 6)
= (720 : …) : 6 = …… : 6 = ……
c) Tính (theo mẫu trong SGK).
Mẫu: 180 : (3 × 4) = 180 : 3 : 4 = 60 : 4 = 15
|
450 : (5 × 3) = ……………………. = ……………………. |
9 000 : (9 × 2) = ……………………. = ……………………. |
Lời giải
a)
|
24 : (3 × 2) = 24 : 6 = 4 |
24 : 3 : 2 = 8 : 2 = 4 |
24 : 2 : 3 = 12 : 3 = 4 |
Vậy: 24 : (3 × 2) = 24 : 3 : 2 = 24 : 2 : 3
b)
720 : 60 = 720 : (10 × 6)
= (720 : 10) : 6 = 72 : 6 = 12
c)
|
450 : (5 × 3) = 450 : 5 : 3 = 90 : 3 = 30 |
9 000 : (9 × 2) = 9 000 : 9 : 2 = 1 000 : 2 = 500 |
...................................
Trên đây là lời giải Vở bài tập Toán 4 Chân trời sáng tạo trang 28 Bài 50: Chia hai số có tận cùng là chữ số 0. Bộ Chân trời sáng tạo gồm 2 tập. Trong mỗi tập sách, các nội dung được giới thiệu theo trình tự sách giáo khoa Toán Tiểu học với hệ thống kiến thức và bài tập đa dạng, phong phú. Trong mỗi phần, các bài tập tự luận và trắc nghiệm được giới thiệu đan xen và đặc biệt có một số đề kiểm tra dùng để tham khảo, giúp các em học sinh ôn luyện toàn bộ kiến thức cơ bản. Ngoài ra, các bạn có thể xem thêm:
- Giải Toán lớp 4 Chân trời sáng tạo
- Trắc nghiệm Toán lớp 4 Chân trời sáng tạo
- Bài tập cuối tuần toán lớp 4 Chân trời sáng tạo
>> Bài tiếp theo: Bài 51: Ước lượng thương trong phép chia
