Vở bài tập Toán lớp 4 Bài 77: Em làm được những gì Chân trời sáng tạo
Giải vở bài tập Toán lớp 4 trang 89, 90, 91: Em làm được những gì Chân trời sáng tạo là lời giải chi tiết cho Bài 77 của quyển Toán 4 (Tập 2) sách Chân trời sáng tạo, được biên soạn nhằm giúp các em học sinh học tập tốt môn Toán lớp 4. Đồng thời các bậc phụ huynh tham khảo hướng dẫn con em mình trình bày bài giải cho phù hợp.
Giải VBT Toán 4 Bài 77: Em làm được những gì
- Vở bài tập Toán lớp 4 Tập 2 trang 89 Luyện tập 1
- Vở bài tập Toán lớp 4 Tập 2 trang 89 Luyện tập 2
- Vở bài tập Toán lớp 4 Tập 2 trang 89 Luyện tập 3
- Vở bài tập Toán lớp 4 Tập 2 trang 89 Luyện tập 4
- Vở bài tập Toán lớp 4 Tập 2 trang 89 Luyện tập 5
- Vở bài tập Toán lớp 4 Tập 2 trang 90 Vui học
- Vở bài tập Toán lớp 4 Tập 2 trang 90 Luyện tập 6
- Vở bài tập Toán lớp 4 Tập 2 trang 90 Luyện tập 7
- Vở bài tập Toán lớp 4 Tập 2 trang 90 Luyện tập 8
- Vở bài tập Toán lớp 4 Tập 2 trang 91 Luyện tập 9
- Vở bài tập Toán lớp 4 Tập 2 trang 91 Luyện tập 10
- Vở bài tập Toán lớp 4 Tập 2 trang 91 Hoạt động thực tế
Vở bài tập Toán lớp 4 Tập 2 trang 89 Luyện tập 1
Khoanh vào chữ cái trước ý trả lời đúng.

Phân số chỉ phần được tô màu trong hình bên là:
A.
\(\frac{5}{4}\) B.
\(\frac{4}{5}\) C.
\(\frac{5}{9}\) D.
\(\frac{9}{5}\)
Hướng dẫn giải
Đáp án đúng là: C
Giải thích
Trong hình trên có 9 hình tam giác bằng nhau và 5 hình tam giác được tô màu.
Vậy phân số chỉ phần được tô màu là
\(\frac{5}{9}\).
Vở bài tập Toán lớp 4 Tập 2 trang 89 Luyện tập 2
Rút gọn các phân số.
|
|
…………….. …………….. …………….. |
|
……………… ……………… ……………… |
|
………………. ……………… ……………… |
Hướng dẫn giải
|
|
|
|
Vở bài tập Toán lớp 4 Tập 2 trang 89 Luyện tập 3
Đúng ghi đ, sai ghi s.
a)
\(\frac{21}{49}\) là phân số tối giản
\(\square\)
b) 6 cái bánh chia đều cho 12 bạn, mỗi bạn được
\(\frac{1}{2}\) cái bánh.
\(\square\)
c) Đội văn nghệ của một trường tiểu học có 60 bạn, trong đó có 45 bạn nữ. Như vậy, trong
\(\frac{4}{3}\) số bạn trong đội văn nghệ là nữ.
\(\square\)
d)
\(3=\frac{3}{1} =\frac{6}{2} =\frac{300}{100}\).
\(\square\)
Hướng dẫn giải
a)
\(\frac{21}{49}\) là phân số tối giản S
Giải thích
Vì
\(\frac{21}{49} =\frac{3}{7}\)
b) 6 cái bánh chia đều cho 12 bạn, mỗi bạn được
\(\frac{1}{2}\) cái bánh. Đ
c) Đội văn nghệ của một trường tiểu học có 60 bạn, trong đó có 45 bạn nữ. Như vậy, trong
\(\frac{4}{3}\) số bạn trong đội văn nghệ là nữ. S
Giải thích
Vì số bạn trong đội văn nghệ là nữ là:
\(\frac{45}{60} =\frac{3}{4}\)
d)
\(3=\frac{3}{1} =\frac{6}{2} =\frac{300}{100}\) Đ
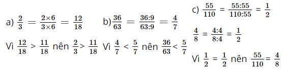
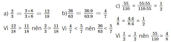
Vở bài tập Toán lớp 4 Tập 2 trang 89 Luyện tập 4
>, <, =
![]()
Hướng dẫn giải
![]()
Giải thích

Vở bài tập Toán lớp 4 Tập 2 trang 89 Luyện tập 5
Số?

Hướng dẫn giải

Giải thích
Ta có, hai vạch chia liên tiếp hơn kém nhau
\(\frac{1}{4}\) đơn vị
Cộng thêm
\(\frac{1}{4}\) vào phân số liền trước để tìm phân số liền sau.
Vở bài tập Toán lớp 4 Tập 2 trang 90 Vui học
Vẽ các mũi tên để giúp hai bạn nhỏ đi từ A đến E.

Hướng dẫn giải

Vở bài tập Toán lớp 4 Tập 2 trang 90 Luyện tập 6
Tính giá trị của các biểu thức.
|
|
………………………………………………………………… ………………………………………………………………… ………………………………………………………………… |
|
|
|
………………………………………………………………… ………………………………………………………………… ………………………………………………………………… |
|
|
|
………………………………………………………………… ………………………………………………………………… ………………………………………………………………… |
|
|
|
………………………………………………………………… ………………………………………………………………… ………………………………………………………………… |
|
Hướng dẫn giải

Vở bài tập Toán lớp 4 Tập 2 trang 90 Luyện tập 7
Số?
![]()
Hướng dẫn giải
![]()
Vở bài tập Toán lớp 4 Tập 2 trang 90 Luyện tập 8
Số?
Ba xe tải lần lượt chở
\(\frac{1}{2}\) tấn gạo,
\(\frac{1}{4}\) tấn gạo và
\(\frac{3}{4}\) tấn gạo. Trung bình mỗi xe chở ….. tấn gạo.
Hướng dẫn giải
Ba xe tải lần lượt chở
\(\frac{1}{2}\) tấn gạo,
\(\frac{1}{4}\) tấn gạo và
\(\frac{3}{4}\) tấn gạo. Trung bình mỗi xe chở
\(\frac{1}{2}\) tấn gạo.
Giải thích
Ba xe chở được số gạo là:
\(\frac{1}{2} +\frac{1}{4} +\frac{3}{4} =\frac{3}{2}\) (tấn gạo)
Trung bình mỗi xe chở số tấn gạo là:
\(\frac{3}{2} :3=\frac{1}{2}\) (tấn gạo)
Vở bài tập Toán lớp 4 Tập 2 trang 91 Luyện tập 9
Con bò sữa nặng hơn con bò vàng 2 tạ. Biết cả hai con cân nặng 7 tạ. Hỏi mỗi con bò cân nặng bao nhiêu tạ?
……………………………………………………………………………………………………………………………………………………………………………………………………………………………………………………………………………………………………………………………………………………………………………………………………………………………………………………………………
Hướng dẫn giải

Cân nặng của con bò sữa là:
(7 + 2) : 2 =
\(\frac{9}{2}\) (tạ)
Cân nặng của con bò vàng là:
\(\frac{9}{2} -2=\frac{5}{2}\) (tạ)
Đáp số: bò sữa
\(\frac{9}{2}\) tạ
bò vàng
\(\frac{5}{2}\) tạ
Vở bài tập Toán lớp 4 Tập 2 trang 91 Luyện tập 10
Xem biểu đồ và đọc thông tin trong SGK rồi thực hiện các yêu cầu.
a) Viết phân số tối giản biểu thị phần học sinh đăng kí mỗi môn.
………………………………………………………………………………………
………………………………………………………………………………………
b) Sắp xếp các phân số trên theo thứ tự từ lớn đến bé.
………………………………………………………………………………………
………………………………………………………………………………………
Viết tên các môn thể thao có số học sinh đăng kí theo thứ tự từ nhiều đến ít.
………………………………………………………………………………………
c) Tính tổng các phân số kể trên.
………………………………………………………………………………………
………………………………………………………………………………………
Hướng dẫn giải
a) Phân số tối giản biểu thị phần học sinh đăng kí mỗi môn.
Bóng đá
\(\frac{1}{5}\); Bóng rổ
\(\frac{2}{5}\); Cầu lông
\(\frac{3}{10}\); Bóng bàn
\(\frac{1}{10}\)
b) Sắp xếp các phân số trên theo thứ tự từ lớn đến bé.
\(\frac{2}{5}\);
\(\frac{3}{10}\);
\(\frac{1}{5}\);
\(\frac{1}{10}\).
Viết tên các môn thể thao có số học sinh đăng kí theo thứ tự từ nhiều đến ít.
Bóng rổ, cầu lông, bóng đá, bóng bàn
c) Tính tổng các phân số kể trên.
\(\frac{2}{5} +\frac{3}{10} +\frac{1}{10} +\frac{1}{5} =\frac{4}{10}+\frac{3}{10}+\frac{1}{10}+\frac{2}{10}=1\)
Vở bài tập Toán lớp 4 Tập 2 trang 91 Hoạt động thực tế
Đọc nội dung trong SGK rồi điền số vào chỗ chấm.
a) Phân số tối giản chỉ số truyện thiếu nhi trong tủ sách là:…………………………
b) Ta có thể nói:
Hơn
\(\frac{1}{4}\) số sách trong tủ là truyện thiếu nhi vì ….. < …….
Số truyện thiếu nhi chưa tới
\(\frac{1}{2}\) số sách trong tủ vì ……….. > …………
Hướng dẫn giải
a) Ta có:
\(\frac{75}{180} =\frac{5}{12}\)
Phân số tối giản chỉ số truyện thiếu nhi trong tủ sách là:
\(\frac{5}{12}\)
b) Ta có thể nói:
Hơn
\(\frac{1}{4}\) số sách trong tủ là truyện thiếu nhi vì
\(\frac{1}{4}\) <
\(\frac{5}{12}\)
Số truyện thiếu nhi chưa tới
\(\frac{1}{2}\) số sách trong tủ vì
\(\frac{1}{2}\) >
\(\frac{5}{12}\)
...................................
Ngoài ra, các bạn có thể xem thêm:
- Giải Toán lớp 4 Chân trời sáng tạo
- Trắc nghiệm Toán lớp 4 Chân trời sáng tạo
- Bài tập cuối tuần toán lớp 4 Chân trời sáng tạo