Vở bài tập Toán lớp 4 Bài 69: Cộng hai phân số khác mẫu số Chân trời sáng tạo
Giải vở bài tập Toán lớp 4 trang 71: Cộng hai phân số khác mẫu số Chân trời sáng tạo là lời giải chi tiết cho Bài 69 của quyển Toán 4 (Tập 2) sách Chân trời sáng tạo. Bài giải do Vndoc biên soạn nhằm giúp các em học sinh học tập tốt môn Toán lớp 4. Đồng thời các bậc phụ huynh tham khảo hướng dẫn con em mình trình bày bài giải cho phù hợp.
Giải VBT Toán 4 Bài 69: Cộng hai phân số khác mẫu số
Vở bài tập Toán lớp 4 Tập 2 trang 71 Cùng học
Quan sát hình vẽ phần Khởi động trong SGK, viết phép cộng hai phân số để tính số phần của tờ giấy đã được tô màu.
………………………….
Viết vào chỗ chấm.
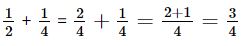
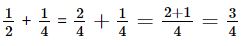
Thực hiện phép cộng hai phân số khác mẫu số:
![]()
Muốn cộng hai phân số khác mẫu số, ta ………….. mẫu số hai phân số, rồi ………hai phân số đó.
Hướng dẫn giải
Quan sát hình vẽ phần Khởi động trong SGK, viết phép cộng hai phân số để tính số phần của tờ giấy đã được tô màu.
\(\frac{1}{2} +\frac{1}{4}\)
Viết vào chỗ chấm.
Thực hiện phép cộng hai phân số khác mẫu số:
![]()
Muốn cộng hai phân số khác mẫu số, ta quy đồng mẫu số hai phân số, rồi cộng hai phân số đó.
Vở bài tập Toán lớp 4 Tập 2 trang 71 Thực hành
Tính
![]()
………………………………………………………………………………………………………………………………………………………………………………………………………………………………………………………………………………………………………………………………………………………………………………………………………………………………………………………………
Hướng dẫn giải

Vở bài tập Toán lớp 4 Tập 2 trang 71 Luyện tập 1
Tính
|
|
………………………………………………………………. ………………………………………………………………. ………………………………………………………………. ………………………………………………………………. |
|
|
………………………………………………………………. ………………………………………………………………. ………………………………………………………………. ………………………………………………………………. |
|
|
………………………………………………………………. ………………………………………………………………. ………………………………………………………………. ………………………………………………………………. |
Hướng dẫn giải

Vở bài tập Toán lớp 4 Tập 2 trang 71 Luyện tập 2
Một xe tải giờ đầu chạy được
\(\frac{2}{5}\) quãng đường, giờ thứ hai chạy được
\(\frac{3}{10}\) quãng đường. Hỏi sau hai giờ, xe tải đó chạy được bao nhiêu phần của quãng đường?
………………………………………………………………………………………………………………………………………………………………………………………………………………………………………………………………………………………………………………………………………………………………………………………………………………………………………………………………
Hướng dẫn giải
Sau hai giờ, xe tải chạy được số phần của quãng đường là:
\(\frac{2}{5} +\frac{3}{10} =\frac{7}{10}\) (quãng đường)
Đáp số:
\(\frac{7}{10}\) quãng đường
...................................
Trên đây là lời giải Vở bài tập Toán 4 Chân trời sáng tạo trang 71 Bài 69: Cộng hai phân số khác mẫu số. Bộ Chân trời sáng tạo gồm 2 tập. Trong mỗi tập sách, các nội dung được giới thiệu theo trình tự sách giáo khoa Toán Tiểu học với hệ thống kiến thức và bài tập đa dạng, phong phú. Trong mỗi phần, các bài tập tự luận và trắc nghiệm được giới thiệu đan xen và đặc biệt có một số đề kiểm tra dùng để tham khảo, giúp các em học sinh ôn luyện toàn bộ kiến thức cơ bản. Ngoài ra, các bạn có thể xem thêm:
- Giải Toán lớp 4 Chân trời sáng tạo
- Trắc nghiệm Toán lớp 4 Chân trời sáng tạo
- Bài tập cuối tuần toán lớp 4 Chân trời sáng tạo
>> Bài tiếp theo: Bài 70: Em làm được những gì