Vở bài tập Toán lớp 4 Bài 71: Trừ hai phân số cùng mẫu số Chân trời sáng tạo
Giải vở bài tập Toán lớp 4 trang 75: Trừ hai phân số cùng mẫu số Chân trời sáng tạo là lời giải chi tiết cho Bài 71 của quyển Toán 4 (Tập 2) sách Chân trời sáng tạo, được biên soạn nhằm giúp các em học sinh học tập tốt môn Toán lớp 4. Đồng thời các bậc phụ huynh tham khảo hướng dẫn con em mình trình bày bài giải cho phù hợp.
Giải VBT Toán 4 Bài 71: Trừ hai phân số cùng mẫu số
Vở bài tập Toán lớp 4 Tập 2 trang 75 Cùng học
Quan sát hình vẽ phần Khởi động trong SGK rồi viết phép trừ hai phân số để tính số phần của tờ giấy đã tô màu nhưng không vẽ hoa:
………………………………………
Viết vào chỗ chấm.
Thực hiện phép trừ hai phân số cùng mẫu số:
![]()
Muốn trừ hai phân số cùng mẫu số, ta trừ …………………….. với nhau và giữ nguyên…………………………….
Hướng dẫn giải
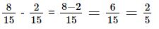
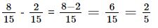
Quan sát hình vẽ phần Khởi động trong SGK rồi viết phép trừ hai phân số để tính số phần của tờ giấy đã tô màu nhưng không vẽ hoa:
\(\frac{8}{15} -\frac{2}{15}\)
Viết vào chỗ chấm.
Thực hiện phép trừ hai phân số cùng mẫu số:
![]()
Muốn trừ hai phân số cùng mẫu số, ta trừ các tử số với nhau và giữ nguyên mẫu số.
Vở bài tập Toán lớp 4 Tập 2 trang 75 Thực hành
Tính.
|
a) |
………………………………………………………………. ………………………………………………………………. ………………………………………………………………. ………………………………………………………………. |
|
b) |
………………………………………………………………. ………………………………………………………………. ………………………………………………………………. ………………………………………………………………. |
|
c) |
………………………………………………………………. ………………………………………………………………. ………………………………………………………………. ………………………………………………………………. |
Hướng dẫn giải

Vở bài tập Toán lớp 4 Tập 2 trang 75 Luyện tập 1
Viết số bị trừ dưới dạng phân số rồi tính.
|
a) |
………………………………………………………………. ………………………………………………………………. ………………………………………………………………. ………………………………………………………………. |
|
b) |
………………………………………………………………. ………………………………………………………………. ………………………………………………………………. ………………………………………………………………. |
|
c) |
………………………………………………………………. ………………………………………………………………. ………………………………………………………………. ………………………………………………………………. |
Hướng dẫn giải

Vở bài tập Toán lớp 4 Tập 2 trang 75 Luyện tập 2
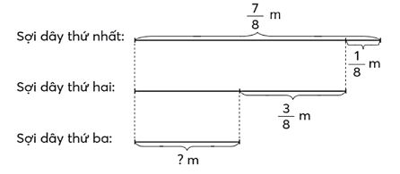
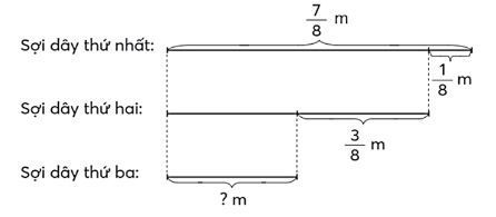
Giải bài toán theo tóm tắt sau.
Tóm tắt

Bài giải
………………………………………………………………………………………………………………………………………………………………………………………………………………………………………………………………………………………………………………………………………………………………………………………………………………………………………………………
Hướng dẫn giải
Độ dài sợi dây thứ hai là:
\(\frac{7}{8} -\frac{1}{8} =\frac{6}{8}\) (m)
Độ dài sợi dây thứ ba là:
\(\frac{6}{8} -\frac{3}{8} =\frac{3}{8}\) (m)
Đáp số:
\(\frac{3}{8}\) m
...................................
Ngoài ra, các bạn có thể xem thêm:
- Giải Toán lớp 4 Chân trời sáng tạo
- Trắc nghiệm Toán lớp 4 Chân trời sáng tạo
- Bài tập cuối tuần toán lớp 4 Chân trời sáng tạo