Vở bài tập Toán lớp 4 Bài 75: Phép chia phân số Chân trời sáng tạo
Giải vở bài tập Toán lớp 4 trang 84, 85: Phép chia phân số Chân trời sáng tạo là lời giải chi tiết cho Bài 75 của quyển Toán 4 (Tập 2) sách Chân trời sáng tạo, được biên soạn nhằm giúp các em học sinh học tập tốt môn Toán lớp 4. Đồng thời các bậc phụ huynh tham khảo hướng dẫn con em mình trình bày bài giải cho phù hợp.
Giải VBT Toán 4 Bài 75: Phép chia phân số
- Vở bài tập Toán lớp 4 Tập 2 trang 84 Cùng học
- Vở bài tập Toán lớp 4 Tập 2 trang 84 Thực hành 1
- Vở bài tập Toán lớp 4 Tập 2 trang 84 Thực hành 2
- Vở bài tập Toán lớp 4 Tập 2 trang 85 Luyện tập 1
- Vở bài tập Toán lớp 4 Tập 2 trang 85 Luyện tập 2
- Vở bài tập Toán lớp 4 Tập 2 trang 85 Vui học
- Vở bài tập Toán lớp 4 Tập 2 trang 85 Khám phá
Vở bài tập Toán lớp 4 Tập 2 trang 84 Cùng học
Quan sát hình vẽ phần Khởi động trong SGK rồi viết phép chia hai phân số để tính chiều dài mảnh giấy cắt ra:
………………………………………
Viết vào chỗ chấm
Quan sát hình vẽ phần Cùng học
- Diện tích hình chữ nhật là: ...... m2
- Chiều rộng hình chữ nhật là: ...... m
- Chiều dài hình chữ nhật là: ...... m
Thực hiện phép chia hai phân số:
\(\frac{3}{4} :\frac{1}{2} =\frac{...}{...}\times \frac{...}{...}=\frac{...}{...}\)
Để thực hiện phép chia hai phân số, ta lấy phân số thứ nhất…………………….., phân số thứ hai…………………………………..
Tính.
\(\frac{5}{18} :\frac{5}{6} =\frac{...}{...}\times \frac{...}{...}=\frac{...}{...}\)
Hướng dẫn giải
Quan sát hình vẽ phần Khởi động trong SGK rồi viết phép chia hai phân số để tính chiều dài mảnh giấy cắt ra:
\(\frac{3}{4} :\frac{1}{2}\)
Viết vào chỗ chấm
Quan sát hình vẽ phần Cùng học
- Diện tích hình chữ nhật là:
\(\frac{3}{4}\) m2
- Chiều rộng hình chữ nhật là:
\(\frac{1}{2}\) m
- Chiều dài hình chữ nhật là:
\(\frac{3}{2}\) m
Thực hiện phép chia hai phân số:
\(\frac{3}{4} :\frac{1}{2} =\frac{3}{4}\times \frac{2}{1}=\frac{3}{2}\)
Để thực hiện phép chia hai phân số, ta lấy phân số thứ nhất nhân với phân số thứ hai đảo ngược.
Tính.
\(\frac{5}{18} :\frac{5}{6} =\frac{5}{18}\times \frac{6}{5}=\frac{1}{3}\)
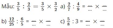
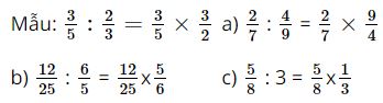
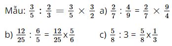
Vở bài tập Toán lớp 4 Tập 2 trang 84 Thực hành 1
Viết theo mẫu.

Hướng dẫn giải

Vở bài tập Toán lớp 4 Tập 2 trang 84 Thực hành 2
Tính.

Hướng dẫn giải

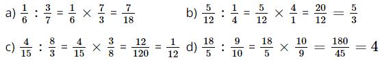
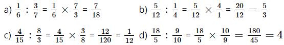
Vở bài tập Toán lớp 4 Tập 2 trang 85 Luyện tập 1
Tính.

Hướng dẫn giải

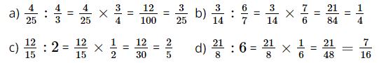
Vở bài tập Toán lớp 4 Tập 2 trang 85 Luyện tập 2
Tính.
|
Chiều dài hình chữ nhật |
|
|
|
Chiều rộng hình chữ nhật |
|
…. |
|
Diện tích hình chữ nhật |
…. |
|
|
Chu vi hình chữ nhật |
…. |
…. |
Hướng dẫn giải
|
Chiều dài hình chữ nhật |
|
|
|
Chiều rộng hình chữ nhật |
|
|
|
Diện tích hình chữ nhật |
|
|
|
Chu vi hình chữ nhật |
3m
|
5m |
Giải thích:
|
Chiều dài hình chữ nhật |
|
|
|
Chiều rộng hình chữ nhật |
|
|
|
Diện tích hình chữ nhật |
|
|
|
Chu vi hình chữ nhật |
3m
|
5m
|
Vở bài tập Toán lớp 4 Tập 2 trang 85 Vui học
Đi theo kết quả của phép tính để về đích. Hãy vẽ các mũi tên) theo mẫu.

Hướng dẫn giải

Vở bài tập Toán lớp 4 Tập 2 trang 85 Khám phá
Đọc nội dung trong SGK và giải bài toán.
………………………………………………………………………………………………………………………………………………………………………………………………………………………………………………………………………………………………………………………………………………………………………………………………………………………………………………………………
Hướng dẫn giải
Với 8m vải thì may được số cái áo sơ mi là:
\(8:\frac{8}{5} =5\) (cái áo)
Đáp số: 5 cái áo sơ mi
Ngoài ra, các bạn có thể xem thêm:
- Giải Toán lớp 4 Chân trời sáng tạo
- Trắc nghiệm Toán lớp 4 Chân trời sáng tạo
- Bài tập cuối tuần toán lớp 4 Chân trời sáng tạo