Vở bài tập Toán lớp 4 Bài 67: Em làm được những gì Chân trời sáng tạo
Giải vở bài tập Toán lớp 4 trang 68, 69: Em làm được những gì Chân trời sáng tạo là lời giải chi tiết cho Bài 67 của quyển Toán 4 (Tập 2) sách Chân trời sáng tạo, được biên soạn nhằm giúp các em học sinh học tập tốt môn Toán lớp 4. Đồng thời các bậc phụ huynh tham khảo hướng dẫn con em mình trình bày bài giải cho phù hợp.
Giải VBT Toán 4 Bài 67: Em làm được những gì
- Vở bài tập Toán lớp 4 Tập 2 trang 68 Luyện tập 1
- Vở bài tập Toán lớp 4 Tập 2 trang 68 Luyện tập 2
- Vở bài tập Toán lớp 4 Tập 2 trang 68 Luyện tập 3
- Vở bài tập Toán lớp 4 Tập 2 trang 69 Luyện tập 4
- Vở bài tập Toán lớp 4 Tập 2 trang 69 Luyện tập 5
- Vở bài tập Toán lớp 4 Tập 2 trang 69 Luyện tập 6
- Vở bài tập Toán lớp 4 Tập 2 trang 69 Luyện tập 7
- Vở bài tập Toán lớp 4 Tập 2 trang 69 Đất nước em
Vở bài tập Toán lớp 4 Tập 2 trang 68 Luyện tập 1
Viết phân số rồi xác định tử số và mẫu số của các phân số sau
|
Đọc phân số |
Viết phân số |
Tử số |
Mẫu số |
|
Hai phần năm |
…. |
…… |
….. |
|
Năm phần hai |
…. |
…… |
….. |
Hướng dẫn giải
|
Đọc phân số |
Viết phân số |
Tử số |
Mẫu số |
|
Hai phần năm |
2 |
5 |
|
|
Năm phần hai |
5 |
2 |
Vở bài tập Toán lớp 4 Tập 2 trang 68 Luyện tập 2
Rút gọn các phân số
Hướng dẫn giải

Vở bài tập Toán lớp 4 Tập 2 trang 68 Luyện tập 3
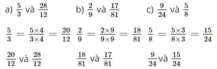
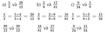
Quy đồng mẫu số các phân số:

Hướng dẫn giải

Vở bài tập Toán lớp 4 Tập 2 trang 69 Luyện tập 4
Sắp xếp các số sau theo thứ tự từ bé đến lớn.
|
a) |
b) |
|
……………………… ……………………… |
……………………… ……………………… |
Hướng dẫn giải
|
a) |
b) |
|
Sắp xếp các số theo thứ tự từ bé đến lớn: Giải thích Chọn mẫu số chung: 72 Quy đồng các phân số ta được các phân số lần lượt là:
Mà Vậy sắp xếp các số theo thứ tự từ bé đến lớn: |
Sắp xếp các số theo thứ tự từ bé đến lớn: Giải thích
Vậy sắp xếp các số theo thứ tự từ bé đến lớn: |
Vở bài tập Toán lớp 4 Tập 2 trang 69 Luyện tập 5
Khoanh vào chữ cái trước ý trả lời đúng:
\(\frac{5}{8} >\frac{?}{4}\)
Số thích hợp thay vào ? là:
A. 4 B. 3 C. 2
Hướng dẫn giải:
Đáp án đúng là: C
Quy đồng mẫu số ta được:
\(\frac{?}{4} =\frac{?\times 2}{4\times 2}=\frac{?\times 2}{8}<\frac{5}{8}\)
Ta có: 4 × 2 = 8
3 × 2 = 6
2 × 2 = 4
Vậy đáp án đúng là: C.
Vở bài tập Toán lớp 4 Tập 2 trang 69 Luyện tập 6
Viết số tự nhiên hoặc phân số tối giản chỉ phần cam mỗi bạn được chia vào chỗ chấm:
|
Số quả cam để chia đều cho các bạn |
Số bạn được chia cam |
Phần cam mỗi bạn được chia |
|
6 |
8 |
….. quả cam |
|
8 |
8 |
….. quả cam |
Hướng dẫn giải
|
Số quả cam để chia đều cho các bạn |
Số bạn được chia cam |
Phần cam mỗi bạn được chia |
|
6 |
8 |
|
|
8 |
8 |
|
Vở bài tập Toán lớp 4 Tập 2 trang 69 Luyện tập 7
Đọc nội dung SGK. Đúng ghi đ, sai ghi s.
a) Phần giấy đã tô màu của Thành chưa đến 1 tờ giấy. ...
b) Phần giấy đã tô màu của Hùng là nhiều nhất. ...
Hướng dẫn giải
a) Phần giấy đã tô màu của Thành chưa đến 1 tờ giấy. Đ
b) Phần giấy đã tô màu của Hùng là nhiều nhất. S
Giải thích
Ta có
\(\frac{5}{8} <1\);
\(\frac{8}{5} >1\);
\(\frac{8}{8} =1\).
Vậy phần giấy tô màu của Thoa là nhiều nhất.
Vở bài tập Toán lớp 4 Tập 2 trang 69 Đất nước em
Đọc nội dung SGK, viết phân số vào chỗ chấm.
Phân số tối giản biểu thị số huy chương vàng so với tổng số huy chương đạt được của đoàn Việt Nam là….
Hướng dẫn giải
Phân số tối giản biểu thị số huy chương vàng so với tổng số huy chương đạt được của đoàn Việt Nam là
\(\frac{48}{144}\)
Giải thích
Tổng số huy chương của đoàn Việt Nam là: 96 + 92 + 100 = 288
Phân số biểu thị số huy chương vàng so với tổng số huy chương đạt được của đoàn Việt Nam là
\(\frac{96}{288}\)
Rút gọn:
\(\frac{96}{288} =\frac{96:2}{288:2}=\frac{48}{288}\).
Ngoài ra, các bạn có thể xem thêm:
- Giải Toán lớp 4 Chân trời sáng tạo
- Trắc nghiệm Toán lớp 4 Chân trời sáng tạo
- Bài tập cuối tuần toán lớp 4 Chân trời sáng tạo