Vở bài tập Toán lớp 4 Bài 72: Trừ hai phân số khác mẫu số Chân trời sáng tạo
Giải vở bài tập Toán lớp 4 trang 77, 78: Trừ hai phân số khác mẫu số Chân trời sáng tạo là lời giải chi tiết cho Bài 72 của quyển Toán 4 (Tập 2) sách Chân trời sáng tạo, được biên soạn nhằm giúp các em học sinh học tập tốt môn Toán lớp 4. Đồng thời các bậc phụ huynh tham khảo hướng dẫn con em mình trình bày bài giải cho phù hợp.
Giải VBT Toán 4 Bài 72: Trừ hai phân số khác mẫu số
Vở bài tập Toán lớp 4 Tập 2 trang 77 Cùng học
Quan sát hình vẽ phần Khởi động trong SGK rồi viết phép trừ hai phân số để tính số phần của tờ giấy đã tô màu nhưng không vẽ hoa
………………………………………
Viết vào chỗ chấm.
Thực hiện phép trừ hai phân số khác mẫu số:
![]()
Muốn trừ hai phân số khác mẫu số, ta …………………….. mẫu số hai phân số, rồi…………… hai phân số đó.
Hướng dẫn giải
Quan sát hình vẽ phần Khởi động trong SGK rồi viết phép trừ hai phân số để tính số phần của tờ giấy đã tô màu nhưng không vẽ hoa
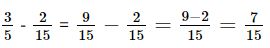
\(\frac{3}{5} -\frac{2}{15}\)
Viết vào chỗ chấm
Thực hiện phép trừ hai phân số khá mẫu số:
![]()
Muốn trừ hai phân số khác mẫu số, ta quy đồng mẫu số hai phân số, rồi trừ hai phân số đó.
Vở bài tập Toán lớp 4 Tập 2 trang 77 Thực hành
Tính.
|
a) |
………………………………………………………………. ………………………………………………………………. ………………………………………………………………. ………………………………………………………………. |
|
b) |
………………………………………………………………. ………………………………………………………………. ………………………………………………………………. ………………………………………………………………. |
|
c) |
………………………………………………………………. ………………………………………………………………. ………………………………………………………………. ………………………………………………………………. |
Hướng dẫn giải

Vở bài tập Toán lớp 4 Tập 2 trang 78 Luyện tập 1
Tính.
|
a) |
………………………………………………………………. ………………………………………………………………. ………………………………………………………………. ………………………………………………………………. |
|
b) |
………………………………………………………………. ………………………………………………………………. ………………………………………………………………. ………………………………………………………………. |
Hướng dẫn giải

Vở bài tập Toán lớp 4 Tập 2 trang 78 Luyện tập 2
Bình hoa có 13 số hoa là màu đỏ, 16 số hoa là màu tím. Hỏi hoa màu đỏ nhiều hơn hoa màu tím là bao nhiêu phần số hoa của bình?
Bài giải
………………………………………………………………………………………………………………………………………………………………………………………………………………………………………………………………………………………………………………………………………………………………………………………………………………………………………………………………
Hướng dẫn giải
Hoa màu đỏ nhiều hơn hoa màu tím số phần số hoa của bình là:
\(\frac{1}{3} -\frac{1}{6}=\frac{1}{6}\) (số hoa của bình)
Đáp số:
\(\frac{1}{6}\) số hoa của bình.
Ngoài ra, các bạn có thể xem thêm:
- Giải Toán lớp 4 Chân trời sáng tạo
- Trắc nghiệm Toán lớp 4 Chân trời sáng tạo
- Bài tập cuối tuần toán lớp 4 Chân trời sáng tạo