Vở bài tập Toán lớp 4 Bài 62: Phân số bằng nhau Chân trời sáng tạo
Giải vở bài tập Toán lớp 4 trang 58, 59: Phân số bằng nhau Chân trời sáng tạo là lời giải chi tiết cho Bài 62 của quyển Toán 4 (Tập 2) sách Chân trời sáng tạo. Bài giải do Vndoc biên soạn nhằm giúp các em học sinh học tập tốt môn Toán lớp 4. Đồng thời các bậc phụ huynh tham khảo hướng dẫn con em mình trình bày bài giải cho phụ hợp.
Giải VBT Toán 4 Bài 62: Phân số bằng nhau
- Vở bài tập Toán lớp 4 Tập 2 trang 58 Cùng học
- Vở bài tập Toán lớp 4 Tập 2 trang 58 Thực hành
- Vở bài tập Toán lớp 4 Tập 2 trang 58 Luyện tập 1
- Vở bài tập Toán lớp 4 Tập 2 trang 59 Luyện tập 2
- Vở bài tập Toán lớp 4 Tập 2 trang 59 Luyện tập 3
- Vở bài tập Toán lớp 4 Tập 2 trang 59 Luyện tập 4
- Vở bài tập Toán lớp 4 Tập 2 trang 59 Luyện tập 5
- Vở bài tập Toán lớp 4 Tập 2 trang 59 Vui học
Vở bài tập Toán lớp 4 Tập 2 trang 58 Cùng học
● Viết phân số vào chỗ chấm
Có ba băng giấy như nhau, mỗi băng giấy được chia thành các phần bằng nhau rồi tô màu.
|
Băng giấy 1: |
|
Đã tô màu …… băng giấy 1. |
|
Băng giấy 2: |
|
Đã tô màu ……. băng giấy 2. |
|
Băng giấy 3: |
|
Đã tô màu …….. băng giấy 3. |
Phần giấy được tô màu ở ba băng giấy dài bằng nhau.
Ta nói các phân số: ……; ……; …… bằng nhau.
● Số?

Hướng dẫn giải
● Viết phân số vào chỗ chấm
|
Băng giấy 1: |
|
Đã tô màu |
|
Băng giấy 2: |
|
Đã tô màu |
|
Băng giấy 3: |
|
Đã tô màu |
Phần giấy được tô màu ở ba băng giấy dài bằng nhau.
Ta nói các phân số: 12 ; 24; 36 bằng nhau.
● Số?

Vở bài tập Toán lớp 4 Tập 2 trang 58 Thực hành
Số? (theo mẫu)

Hướng dẫn giải
![]()
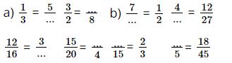
Vở bài tập Toán lớp 4 Tập 2 trang 58 Luyện tập 1
Số?

Hướng dẫn giải

Vở bài tập Toán lớp 4 Tập 2 trang 59 Luyện tập 2
Số?
\(\frac{1}{2} =\frac{2}{...} =\frac{3}{...} =\frac{4}{...}=\frac{5}{...} =\frac{9}{...}\)
Hướng dẫn giải
\(\frac{1}{2} =\frac{2}{4} =\frac{3}{6} =\frac{4}{8}=\frac{5}{10} =\frac{9}{18}\)
Giải thích
Để tìm được
\(\frac{1}{2} =\frac{2}{4}\), ta nhân cả tử và mẫu của phân số 12 với 2 (vì 2 : 1 = 2)
Để tìm được
\(\frac{1}{2} =\frac{3}{6}\), ta nhân cả tử và mẫu của phân số 12 với 3 (vì 3 : 1 = 3)
Để tìm được
\(\frac{1}{2} =\frac{4}{8}\), ta nhân cả tử và mẫu của phân số 12 với 4 (vì 4 : 1 = 4)
Để tìm được
\(\frac{1}{2} =\frac{5}{10}\), ta nhân cả tử và mẫu của phân số 12 với 5 (vì 5 : 1 = 5)
Để tìm được
\(\frac{1}{2}=\frac{9}{18}\), ta nhân cả tử và mẫu của phân số 12 với 9 (vì 9 : 1 = 9)
Vở bài tập Toán lớp 4 Tập 2 trang 59 Luyện tập 3
Cho các phân số
\(\frac{2}{3}\);
\(\frac{3}{4}\);
\(\frac{9}{8}\);
\(\frac{9}{12}\);
\(\frac{6}{9}\).
Các phân số bằng nhau là:……………………………………………………..
Hướng dẫn giải
Các phân số bằng nhau là:
\(\frac{2}{3} =\frac{6}{9}\);
\(\frac{3}{4}=\frac{9}{12}\).
Giải thích
\(\frac{2}{3}=\frac{2\times 3}{3\times 3} =\frac{6}{9}\) (nhân cả tử và mẫu của phân số
\(\frac{2}{3}\) với số tự nhiên 3)
\(\frac{3}{4}=\frac{3\times 3}{4\times 3}=\frac{9}{12}\) (nhân cả tử và mẫu của phân số
\(\frac{3}{4}\) với số tự nhiên 3)
Vở bài tập Toán lớp 4 Tập 2 trang 59 Luyện tập 4
Số?
a)
|
Số bị chia |
24 |
48 |
8 |
|
Số chia |
6 |
…. |
… |
|
Thương |
4 |
4 |
4 |
b) Mẹ dự định xếp vào mỗi hộp 4 cái bánh. Nếu số bánh gấp lên 2 lần thì số hộp cũng phải gấp lên 2 lần để mỗi hộp vẫn có 4 cái bánh.
Hướng dẫn giải
a)
|
Số bị chia |
24 |
48 |
8 |
|
Số chia |
6 |
12 |
2 |
|
Thương |
4 |
4 |
4 |
b) Mẹ dự định xếp vào mỗi hộp 4 cái bánh. Nếu số bánh gấp lên 2 lần thì số hộp cũng phải gấp lên 2 lần để mỗi hộp vẫn có 4 cái bánh.
Vở bài tập Toán lớp 4 Tập 2 trang 59 Luyện tập 5
Quan sát các hình sau và viết vào chỗ chấm.

Đã tô màu vào
\(\frac{2}{3}\) của các hình: ……………………………………………….
Hướng dẫn giải
Đã tô màu vào
\(\frac{2}{3}\) của các hình: Hình 1, hình 3, hình 4.
Giải thích
Hình 1 được chia thành 6 phần bằng nhau, tô màu 4 phần. Phân số biểu thị số phần đã tô màu là
\(\frac{4}{6} =\frac{4:2}{6:2} =\frac{2}{3}\).
Hình 2 được chia thành 5 phần bằng nhau, tô màu 2 phần. Phân số biểu thị số phần đã tô màu là
\(\frac{2}{5}\).
Hình 3 được chia thành 15 phần bằng nhau, tô màu 10 phần. Phân số biểu thị số phần đã tô màu là
\(\frac{10}{15} =\frac{10:5}{15:5} =\frac{2}{3}\).
Hình 4 được chia thành 9 phần bằng nhau, tô màu 6 phần. Phân số biểu thị số phần đã tô là
\(\frac{6}{9} =\frac{6:3}{9:3} =\frac{2}{3}\).
Vở bài tập Toán lớp 4 Tập 2 trang 59 Vui học
Quan sát các hình vẽ trong SGK.
a) Viết các phân số thích hợp vào chỗ chấm.
Phân số chỉ số gạch màu xanh so với số gạch ghép được trên bức tường thứ nhất và bức tường thứ hai lần lượt là:……………………………………………
b) Điền bằng nhau, không bằng nhau thích hợp vào chỗ chấm.
Hai phân số đó ……………………………………………………………………….
Hướng dẫn giải
a) Phân số chỉ số gạch màu xanh so với số gạch ghép được trên bức tường thứ nhất và bức tường thứ hai lần lượt là:
\(\frac{10}{30}\),
\(\frac{5}{15}\).
b, Hai phân số đó bằng nhau.
Giải thích
Phân số chỉ gạch màu xanh trên bức tường thứ nhất:
\(\frac{10}{30} =\frac{10:10}{30:10} =\frac{1}{3}\)
Phân số chỉ gạch màu xanh trên bức tường thứ hai:
\(\frac{5}{15} =\frac{5:5}{15:5}=\frac{1}{3}\)
Vậy
\(\frac{10}{30} =\frac{5}{15}\).
...................................
Trên đây là lời giải Vở bài tập Toán 4 Chân trời sáng tạo trang 58, 59 Bài 62: Phân số bằng nhau. Bộ Chân trời sáng tạo gồm 2 tập. Trong mỗi tập sách, các nội dung được giới thiệu theo trình tự sách giáo khoa Toán Tiểu học với hệ thống kiến thức và bài tập đa dạng, phong phú. Trong mỗi phần, các bài tập tự luận và trắc nghiệm được giới thiệu đan xen và đặc biệt có một số đề kiểm tra dùng để tham khảo, giúp các em học sinh ôn luyện toàn bộ kiến thức cơ bản. Ngoài ra, các bạn có thể xem thêm:
- Giải Toán lớp 4 Chân trời sáng tạo
- Trắc nghiệm Toán lớp 4 Chân trời sáng tạo
- Bài tập cuối tuần toán lớp 4 Chân trời sáng tạo
>> Bài tiếp theo: Bài 63: Rút gọn phân số