Vở bài tập Toán lớp 4 Bài 78: Ôn tập phân số và các phép tính Chân trời sáng tạo
Giải vở bài tập Toán lớp 4 trang 97, 98, 99: Ôn tập phân số và các phép tính Chân trời sáng tạo là lời giải chi tiết cho Bài 78 phần Ôn tập cuối năm của quyển Toán 4 (Tập 2) sách Chân trời sáng tạo, nhằm giúp các em học sinh học tập tốt môn Toán lớp 4. Đồng thời các bậc phụ huynh tham khảo hướng dẫn con em mình trình bày bài giải cho phù hợp.
Giải VBT Toán 4 Bài 78: Ôn tập phân số và các phép tính
- Vở bài tập Toán lớp 4 Tập 2 trang 97 Luyện tập 1
- Vở bài tập Toán lớp 4 Tập 2 trang 97 Luyện tập 2
- Vở bài tập Toán lớp 4 Tập 2 trang 97 Luyện tập 3
- Vở bài tập Toán lớp 4 Tập 2 trang 97 Luyện tập 4
- Vở bài tập Toán lớp 4 Tập 2 trang 98 Luyện tập 5
- Vở bài tập Toán lớp 4 Tập 2 trang 98 Luyện tập 6
- Vở bài tập Toán lớp 4 Tập 2 trang 98 Luyện tập 7
- Vở bài tập Toán lớp 4 Tập 2 trang 98 Luyện tập 8
- Vở bài tập Toán lớp 4 Tập 2 trang 99 Thử thách
- Vở bài tập Toán lớp 4 Tập 2 trang 99 Hoạt động thực tế
Vở bài tập Toán lớp 4 Tập 2 trang 97 Luyện tập 1
Khoanh vào chữ cái trước ý trả lời đúng
a)
\(\frac{4}{7}\) của hình chữ nhật đã được tô màu có nghĩa là:
A. Chia hình chữ nhật thành 7 phần, tô màu 4 phần.
B. Chia hình chữ nhật thành 7 phần bằng nhau, tô màu 4 phần.
C. Chia hình chữ nhật thành 4 phần, tô màu 7 phần.
D. Chia hình chữ nhật thành 4 phần bằng nhau, tô màu 7 phần .
b) Phân số
\(\frac{6}{8}\) bằng phân số nào dưới đây?
A.
\(\frac{4}{3}\) B.
\(\frac{12}{16}\) C.
\(\frac{15}{25}\) D.
\(\frac{6}{4}\)
Hướng dẫn giải
a) Đáp án đúng là: B. Chia hình chữ nhật thành 7 phần bằng nhau, tô màu 4 phần
b) Đáp án đúng là: B.
\(\frac{12}{16}\)
Giải thích
\(\frac{6}{8} =\frac{6\times 2}{8\times 2}=\frac{12}{16}\)
Vở bài tập Toán lớp 4 Tập 2 trang 97 Luyện tập 2
Viết một phân số:
|
a) Bé hơn 1: ……… |
b) Lớn hơn 1: ……… |
c) Bằng 1: ……….. |
Hướng dẫn giải
Học sinh có thể lựa chọn phân số bất kì thỏa mãn điều kiện sau đây
a) Phân số có tử số bé hơn mẫu số thì bé hơn 1.
b) Phân số có tử số lớn hơn mẫu số thì lớn hơn 1
c) Phân số có tử số bằng mẫu số thì bằng 1
Sau đây là một số gợi ý:
|
a) Bé hơn 1: |
b) Lớn hơn 1: |
c) Bằng 1: |
Vở bài tập Toán lớp 4 Tập 2 trang 97 Luyện tập 3
Sắp xếp các số
\(\frac{7}{6}\);
\(\frac{2}{3}\);
\(\frac{3}{2}\); 1 theo thứ tự từ bé đến lớn.
………………………………………………………………………………………………………………………………………………………………………………
Hướng dẫn giải
Sắp xếp:
\(\frac{2}{3}\); 1;
\(\frac{7}{6}\);
\(\frac{3}{2}\)
Giải thích
\(\frac{2}{3}\) < 1;
\(\frac{7}{6}\) > 1;
\(\frac{3}{2}\) > 1
Vì
\(\frac{3}{2} =\frac{9}{6}\). Mà
\(\frac{9}{6}\) >
\(\frac{7}{6}\) nên
\(\frac{3}{2}\) >
\(\frac{7}{6}\)
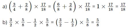
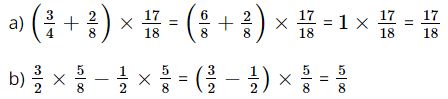
Vở bài tập Toán lớp 4 Tập 2 trang 97 Luyện tập 4
Tính

Hướng dẫn giải

Vở bài tập Toán lớp 4 Tập 2 trang 98 Luyện tập 5
Số?
|
a) |
b) |
c) |
Hướng dẫn giải
|
a) Giải thích
|
b) Giải thích
|
c) Giải thích
|
Vở bài tập Toán lớp 4 Tập 2 trang 98 Luyện tập 6
Tính
|
a) |
……………………………………………………………….. ……………………………………………………………….. ……………………………………………………………….. |
|
b) |
……………………………………………………………….. ……………………………………………………………….. ……………………………………………………………….. |
Hướng dẫn giải

Vở bài tập Toán lớp 4 Tập 2 trang 98 Luyện tập 7
Buổi sáng và buổi chiều Vân uống 2 l nước. Biết buổi chiều Vân uống nhiều hơn buổi sáng
\(\frac{1}{4}\) l nước. Hỏi mỗi buổi Vân uống bao nhiêu lít nước?
Bài giải
………………………………………………………………………………………………………………………………………………………………………………………………………………………………………………………………………………………………………………………………………………………………………………………………………………………………………………………………
Hướng dẫn giải

Bài giải
Số lít nước Vân uống buổi chiều là:
\(\begin{pmatrix} 2+\frac{1}{4} \end{pmatrix} :2=\frac{9}{8}\) (lít)
Số lít nước Vân uống buổi sáng là:
\(\frac{9}{8} -\frac{1}{4}=\frac{7}{8}\) (lít)
Đáp số: buổi chiều:
\(\frac{9}{8}\) lít
buổi sáng:
\(\frac{7}{8}\) lít
Vở bài tập Toán lớp 4 Tập 2 trang 98 Luyện tập 8
Đọc nội dung trong SGK. Đúng ghi đ, sai ghi s.
a) Lớp 4D có tất cả 32 học sinh.
\(\square\)
b)
\(\frac{1}{4}\) số học sinh lớp 4D tham gia trồng cây xanh.
\(\square\)
c) Một nửa số học sinh lớp 4D làm vệ sinh môi trường.
\(\square\)
d) Số học sinh trồng cây gấp
\(\frac{3}{2}\) lần số học sinh chăm sóc người già.
\(\square\)
Hướng dẫn giải
a) Lớp 4D có tất cả 32 học sinh đ
b)
\(\frac{1}{4}\) số học sinh lớp 4D tham gia trồng cây xanh s
Giải thích
(vì
\(\frac{1}{4}\) số học sinh lớp 4D là 8 bạn mà trong bức tranh có 9 bạn tham gia trồng cây xanh)
c) Một nửa số học sinh lớp 4D làm vệ sinh môi trường s
(vì một nửa số học sinh lớp 4D là 16 bạn, mà trong bức tranh có 17 bạn làm vệ sinh môi trường)
d) Số học sinh trồng cây gấp
\(\frac{3}{2}\) lần số học sinh chăm sóc người già đ
Vở bài tập Toán lớp 4 Tập 2 trang 99 Thử thách
Bạn Tí pha được một cốc nước chanh đầy. Tí uống một hơi hết
\(\frac{1}{3}\) cốc nước chanh. Thấy ngọt quá, Tí pha thêm nước cho đầy cốc rồi uống
\(\frac{2}{3}\) cốc. Thấy vẫn còn ngọt, Tí lại pha thêm nước cho đầy cốc rồi uống cạn. Tính lượng nước bạn Tí đã pha thêm vào cốc nước chanh.
Hướng dẫn giải
Lần thứ nhất: Tí uống
\(\frac{1}{3}\) cốc nước chanh rồi pha thêm nước cho đầy cốc nên lượng nước pha thêm là
\(\frac{1}{3}\) cốc.
Lần thứ hai: Tí uống
\(\frac{2}{3}\) cốc nước chanh rồi pha thêm nước cho đầy cốc nên lượng nước pha thêm là
\(\frac{2}{3}\) cốc.
Vậy lượng nước bạn Tí đã pha thêm là
\(\frac{1}{3} +\frac{2}{3} =1\) (cốc)
Đáp số: 1 cốc
Vở bài tập Toán lớp 4 Tập 2 trang 99 Hoạt động thực tế
Lớp em có ……… học sinh
……… học sinh nữ,
……… học sinh nam,
……… đội viên Đội Thiếu niên Tiền phong Hồ Chí Minh.
Viết phân số tối giản chỉ số học sinh dưới đây trong lớp em.
a) Số học sinh nữ………….
b) Số học sinh nam………..
c) Số đội viên Đội thiếu niên tiền phong Hồ Chí Minh…………
Hướng dẫn giải
HS tự thực hiện
...................................
Trên đây là lời giải Vở bài tập Toán 4 Chân trời sáng tạo trang 97, 98, 99 Bài 78: Ôn tập phân số và các phép tính. Ngoài ra, các bạn có thể xem thêm:
- Giải Toán lớp 4 Chân trời sáng tạo
- Trắc nghiệm Toán lớp 4 Chân trời sáng tạo
- Bài tập cuối tuần toán lớp 4 Chân trời sáng tạo