Vở bài tập Toán lớp 4 Bài 74: Phép nhân phân số Chân trời sáng tạo
Giải vở bài tập Toán lớp 4 trang 81, 82, 83: Phép nhân phân số Chân trời sáng tạo là lời giải chi tiết cho Bài 74 của quyển Toán 4 (Tập 2) sách Chân trời sáng tạo, được biên soạn nhằm giúp các em học sinh học tập tốt môn Toán lớp 4. Đồng thời các bậc phụ huynh tham khảo hướng dẫn con em mình trình bày bài giải cho phù hợp.
Giải VBT Toán 4 Bài 74: Phép nhân phân số
- Vở bài tập Toán lớp 4 Tập 2 trang 81 Cùng học
- Vở bài tập Toán lớp 4 Tập 2 trang 81 Thực hành
- Vở bài tập Toán lớp 4 Tập 2 trang 82 Luyện tập 1
- Vở bài tập Toán lớp 4 Tập 2 trang 82 Luyện tập 2
- Vở bài tập Toán lớp 4 Tập 2 trang 82 Luyện tập 3
- Vở bài tập Toán lớp 4 Tập 2 trang 83 Luyện tập 4
- Vở bài tập Toán lớp 4 Tập 2 trang 83 Luyện tập 5
- Vở bài tập Toán lớp 4 Tập 2 trang 83 Luyện tập 6
Vở bài tập Toán lớp 4 Tập 2 trang 81 Cùng học
Quan sát hình vẽ phần Khởi động trong SGK, viết phép nhân hai phân số để tính diện tích miếng vải cắt ra:
………………………………………
Viết vào chỗ chấm
● Số?
- Diện tích hình vuông lớn: …. m2
- Diện tích một ô vuông: ...... m2
- Diện tích hình chữ nhật: ...... m2
● Thực hiện phép nhân hai phân số :
\(\frac{3}{4} \times \frac{1}{2} =\frac{...\times ...}{...\times ...} =\frac{...}{...}\)
● Muốn nhân hai phân số, ta nhân …………………….. với …………………….. nhân …………………….. với ……………………..
Hướng dẫn giải
Quan sát hình vẽ phần Khởi động trong SGK, viết phép nhân hai phân số để tính diện tích miếng vải cắt ra
\(\frac{3}{4} \times \frac{1}{2}\)
Viết vào chỗ chấm
● Số?
- Diện tích hình vuông lớn: 1 m2
- Diện tích một ô vuông: 116 m2
- Diện tích hình chữ nhật: 38 m2
● Thực hiện phép nhân hai phân số:
\(\frac{3}{4} \times \frac{1}{2} =\frac{3\times 1}{4\times2} =\frac{3}{8}\)
● Muốn nhân hai phân số, ta nhân tử số với tử số, nhân mẫu số với mẫu số.
Vở bài tập Toán lớp 4 Tập 2 trang 81 Thực hành
Viết theo mẫu, biết mỗi hình dưới đây được chia thành các phần bằng nhau.
Mẫu

Hướng dẫn giải

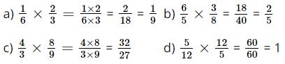
Vở bài tập Toán lớp 4 Tập 2 trang 82 Luyện tập 1
Tính.
|
a) |
………………….. ………………….. ………………….. |
b) |
………………….. ………………….. ………………….. |
|
c) |
………………….. ………………….. ………………….. |
d) |
………………….. ………………….. ………………….. |
Hướng dẫn giải

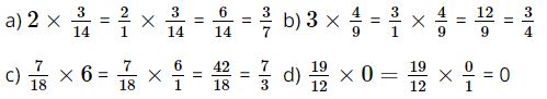
Vở bài tập Toán lớp 4 Tập 2 trang 82 Luyện tập 2
Viết các thừa số là số tự nhiên dưới dạng phân số rồi tính.
|
a) |
………………….. ………………….. ………………….. |
b) |
………………….. ………………….. ………………….. |
|
c) |
………………….. ………………….. ………………….. |
d) 1 |
………………….. ………………….. ………………….. |
Hướng dẫn giải

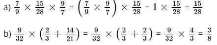
Vở bài tập Toán lớp 4 Tập 2 trang 82 Luyện tập 3
Tính rồi so sánh kết quả.
● Tính.
|
|
………………….. ………………….. ………………….. |
|
………………….. ………………….. ………………….. |
●>, <, =
\(\frac{2}{7} \times 3\) …….
\(\frac{2}{7} +\frac{2}{7}+\frac{2}{7}\)
Hướng dẫn giải
● Tính
\(\frac{2}{7} \times 3 =\frac{6}{7}\)
\(\frac{2}{7} +\frac{2}{7}+\frac{2}{7} =\frac{6}{7}\)
●>, <, =
\(\frac{2}{7} +\frac{2}{7}+\frac{2}{7}\) =
\(\frac{2}{7} +\frac{2}{7}+\frac{2}{7}\)
Vở bài tập Toán lớp 4 Tập 2 trang 83 Luyện tập 4
Nối các biểu thức có giá trị bằng nhau.

Viết vào chỗ chấm: phân số, giao hoán, kết hợp.
Nhận xét:
Phép nhân các phân số có tính chất …………. và ……………..
Một phân số với 1 bằng chính …………… đó.
Tính chất nhân một số với một tổng được áp dụng với các ………………
Hướng dẫn giải

Giải thích

Nhận xét:
Phép nhân các phân số có tính chất giao hoán và kết hợp
Một phân số với 1 bằng chính phân số đó
Tính chất nhân một số với một tổng được áp dụng với các phân số.
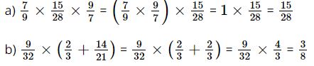
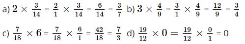
Vở bài tập Toán lớp 4 Tập 2 trang 83 Luyện tập 5
Tính.
|
|
………………………………………………………………….. ………………………………………………………………….. ………………………………………………………………….. ………………………………………………………………….. |
|
|
………………………………………………………………….. ………………………………………………………………….. ………………………………………………………………….. ………………………………………………………………….. |
Hướng dẫn giải

Vở bài tập Toán lớp 4 Tập 2 trang 83 Luyện tập 6
Đọc nội dung trong SGK rồi viết số vào chỗ chấm.
Phần màu vàng có diện tích là
\(\frac{...}{...}\) m2
Hướng dẫn giải
Phần màu vàng có diện tích là
\(\frac{2}{5}\) m2
Giải thích
Diện tích của hình vuông cạnh dài 1 m là 1 m2
Hình vuông được chia thành 100 ô vuông nhỏ bằng nhau nên diện tích mỗi ô vuông nhỏ là
\(\frac{1}{100}\) m2
Có 40 ô vuông nhỏ được tô màu vàng.
Vậy phần màu vàng có diện tích là
\(\frac{40}{100}\) =
\(\frac{2}{5}\) m2
...................................
Ngoài ra, các bạn có thể xem thêm:
- Giải Toán lớp 4 Chân trời sáng tạo
- Trắc nghiệm Toán lớp 4 Chân trời sáng tạo
- Bài tập cuối tuần toán lớp 4 Chân trời sáng tạo