Vở bài tập Toán lớp 4 Bài 63: Rút gọn phân số Chân trời sáng tạo
Giải vở bài tập Toán lớp 4 trang 60, 61: Rút gọn phân số Chân trời sáng tạo là lời giải chi tiết cho Bài 63 của quyển Toán 4 (Tập 2) sách Chân trời sáng tạo. Bài giải do Vndoc biên soạn nhằm giúp các em học sinh học tập tốt môn Toán lớp 4. Đồng thời các bậc phụ huynh tham khảo hướng dẫn con em mình trình bày bài giải cho phù hợp.
Giải VBT Toán 4 Bài 63: Rút gọn phân số
- Vở bài tập Toán lớp 4 Tập 2 trang 60 Cùng học
- Vở bài tập Toán lớp 4 Tập 2 trang 60 Thực hành
- Vở bài tập Toán lớp 4 Tập 2 trang 60 Luyện tập 1
- Vở bài tập Toán lớp 4 Tập 2 trang 61 Luyện tập 2
- Vở bài tập Toán lớp 4 Tập 2 trang 61 Luyện tập 3
- Vở bài tập Toán lớp 4 Tập 2 trang 61 Thử thách
- Vở bài tập Toán lớp 4 Tập 2 trang 61 Đất nước em
Vở bài tập Toán lớp 4 Tập 2 trang 60 Cùng học
Viết vào chỗ chấm.
Ví dụ: Tìm phân số bằng phân số 1218 nhưng có tử số và mẫu số bé hơn.
|
Cách 1:
Vậy |
Cách 2: Vậy |
Hướng dẫn giải
|
Cách 1:
Vậy |
Cách 2: Vậy |
Vở bài tập Toán lớp 4 Tập 2 trang 60 Thực hành
Rút gọn các phân số (theo mẫu).
Mẫu
\(\frac{2}{6} =\frac{2:2}{6:2}=\frac{1}{3}\)
a)
b)
Hướng dẫn giải
a)
| |
b)
Vở bài tập Toán lớp 4 Tập 2 trang 60 Luyện tập 1
Rút gọn phân số (theo mẫu).
Mẫu:
\(\frac{18}{20} =\frac{9}{10}\)
|
a) |
|
b) |
Hướng dẫn giải
|
a) Giải thích:
|
Giải thích:
|
Giải thích:
|
|
b) Giải thích:
|
Giải thích:
|
Giải thích:
|
Giải thích:
|
Vở bài tập Toán lớp 4 Tập 2 trang 61 Luyện tập 2
Khoanh vào các phân số chưa tối giản và rút gọn phân số đó.
\(\frac{5}{7}\);
\(\frac{15}{9}\);
\(\frac{30}{80}\);
\(\frac{7}{24}\);
\(\frac{30}{45}\).
………………………………………………………………………………………………………………………………………………………………………………………………………………………………………………………………………………
Hướng dẫn giải

Rút gọn phân số:
\(\frac{15}{9} =\frac{15:3}{9:3}=\frac{5}{3}\);
\(\frac{30}{80}=\frac{30:10}{80:10} =\frac{3}{8}\);
\(\frac{30}{45} =\frac{30:15}{45:15} =\frac{2}{3}\)
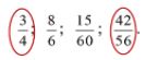
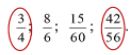
Vở bài tập Toán lớp 4 Tập 2 trang 61 Luyện tập 3
Khoanh vào phân số bằng phân số
\(\frac{6}{8}\) trong các phân số dưới đây.
\(\frac{3}{4}\);
\(\frac{8}{6}\);
\(\frac{15}{60}\);
\(\frac{42}{56}\).
Hướng dẫn giải

Giải thích:
Chia cả tử và mẫu của phân số
\(\frac{6}{8}\) cho 2, ta được phân số
\(\frac{3}{4}\).
Chia cả tử và mẫu của phân số
\(\frac{42}{56}\) cho 14, ta được phân số
\(\frac{3}{4}\).
Vở bài tập Toán lớp 4 Tập 2 trang 61 Thử thách
Số?

...... số quả măng cụt nằm trên đĩa.
Hướng dẫn giải
\(\frac{6}{8}\) số quả măng cụt nằm trên đĩa.
Vở bài tập Toán lớp 4 Tập 2 trang 61 Đất nước em
Đọc thông tin SGK và điền số thích hợp vào chỗ chấm.
Phân số tối giản chỉ số tỉnh và thành phố có biển trên cả nước là:
\(\frac{...}{...}\)
Hướng dẫn giải
Phân số tối giản chỉ số tỉnh và thành phố có biển trên cả nước là:
\(\frac{4}{9}\)
Giải thích
\(\frac{28}{63}=\frac{28:7}{63:7}=\frac{4}{9}\)
...................................
Trên đây là lời giải Vở bài tập Toán 4 Chân trời sáng tạo trang 60, 61 Bài 63: Rút gọn phân số. Bộ Chân trời sáng tạo gồm 2 tập. Trong mỗi tập sách, các nội dung được giới thiệu theo trình tự sách giáo khoa Toán Tiểu học với hệ thống kiến thức và bài tập đa dạng, phong phú. Trong mỗi phần, các bài tập tự luận và trắc nghiệm được giới thiệu đan xen và đặc biệt có một số đề kiểm tra dùng để tham khảo, giúp các em học sinh ôn luyện toàn bộ kiến thức cơ bản. Ngoài ra, các bạn có thể xem thêm:
- Giải Toán lớp 4 Chân trời sáng tạo
- Trắc nghiệm Toán lớp 4 Chân trời sáng tạo
- Bài tập cuối tuần toán lớp 4 Chân trời sáng tạo
>> Bài tiếp theo: Bài 64: Em làm được những gì