Đề thi học kì 2 môn Toán lớp 11 trường THPT Trần Hưng Đạo, TP Hồ Chí Minh năm học 2016 - 2017
Đề thi cuối học kì 2 lớp 11 môn Toán
Đề thi học kì 2 môn Toán lớp 11 trường THPT Trần Hưng Đạo, TP Hồ Chí Minh năm học 2016 - 2017 có đáp án đi kèm. Đây là tài liệu tham khảo hay được chúng tôi sưu tầm, nhằm phục vụ việc ôn tập và củng cố lại kiến thức để chuẩn bị cho kì thi học kì II sắp tới.
Bộ đề thi học kì 2 môn Toán lớp 11 trường THPT Đa Phúc, Hà Nội năm học 2016 - 2017
Đề thi học kì 2 môn Toán lớp 11 trường THPT Thiệu Hóa, Thanh Hóa năm học 2016 - 2017
SỞ GD & ĐT TP. HỒ CHÍ MINH
TRƯỜNG THPT TRẦN HƯNG ĐẠO
ĐỀ THI HỌC KỲ II
MÔN TOÁN – KHỐI 11
Ngày thi: 27/04/2017
Thời gian làm bài: 90 phút
Câu 1: (2 điểm) Tính các giới hạn sau:
![]()
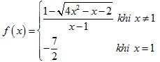
Câu 2: (1 điểm) Xét tính liên tục của hàm số sau tại x = 1:

Câu 3: (1 điểm) Tính các đạo hàm y' và y" của hàm số:
.
Câu 4: (1 điểm) Cho hàm số y = x.cos2x. Tính
.
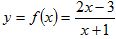
Câu 5: (1 điểm) Lập phương trình tiếp tuyến của đồ thị (C) của hàm số
. Biết rằng tiếp tuyến song song với đường thẳng (d): y = 5x - 3.
Câu 6: (4 điểm) Cho hình chóp S.ABCD có đáy ABCD là hình vuông cạnh a. Tam giác SAB cân tại S, có SH là trung tuyến, SH vuông góc (ABCD), SA = a√, gọi I là trung điểm BC.
a) Chứng minh tam giác SAD vuông.
b) Chứng minh (SBD) vuông góc (SHI).
c) Tính góc giữa (SAD) và (ABCD).
d) Tính khoảng cách từ điểm I đến mp(SAD).
------------HẾT-----------
Đáp án đề thi cuối học kì 2 lớp 11 môn Toán

