Giải bài tập Toán 10 SBT bài 2 chương 4
Toán 10 - Bất phương trình và hệ bất phương trình một ẩn
VnDoc xin giới thiệu tới bạn đọc tài liệu Giải bài tập Toán 10 SBT bài 2 chương 4, tài liệu kèm theo đáp án sẽ giúp các bạn học sinh rèn luyện giải bài tập Toán lớp 10 một cách chính xác nhất. Mời các bạn học sinh tham khảo.
Giải bài tập Toán 10 SBT bài 1 chương 3
Giải bài tập Toán 10 SBT bài 2 chương 3
Giải bài tập Toán 10 SBT bài 2
Bài 15 trang 109 Sách bài tập (SBT) Toán 10
Viết điều kiện của mỗi bất phương trình sau:
\(a) 2x - 3 - {1 \over {x - 5}} < {x^2} - x;\)
b)
\({x^3} \le 1;\)
c)
\(\sqrt {{x^2} - x - 2} < {1 \over 2};\)
d)
\(\sqrt[3]{x^4+x-1+x^2-1\ge0.}\)
Gợi ý làm bài
a) Điều kiện là
\(x - 5 \ne 0\)
b) Điều kiện là x tùy ý.
c) Điều kiện là
\({x^2} - x - 2 \ge 0\)
d) Điều kiện là x tùy ý.
Bài 16 trang 110 Sách bài tập (SBT) Toán Đại số 10
Chứng tỏ rằng x = -7 không phải là nghiệm của bất phương trình
\(x + 3 - {1 \over {x + 7}} < 2 - {1 \over {x + 7}}\) nhưng lại là nghiệm của bất phương trình x + 3 < 2.
Gợi ý làm bài
làm hai vế của bất phương trình đầu vô nghĩa nên x = -7 không là nghiệm của bất phương trình đó. Mặt khác, x = -7 thỏa mãn bất phương trình sau nên x = -7 là nghiệm của bất phương trình này.
Nhận xét: Phép giản ước số hạng
\(- {1 \over {x + 7}}\) ở hai vế của bất phương trình đầu làm mở rộng tập xác định của bất phương trình đó, vì vậy có thể dẫn đến nghiệm ngoại lai.
Bài 17 trang 110 Sách bài tập (SBT) Toán Đại số 10
Xét xem x = -3 là nghiệm của bất phương trình nào trong hai bất phương trình sau 3x + 1 < x + 3 (1) và
\({(3x + 1)^2} < {(x + 3)^2}\) (2)
Từ đó suy ra rằng phép bình phương hai vế một bất phương trình không phải là phép biến đổi tương đương.
Gợi ý làm bài
Thử trực tiếp ta thấy ngay x = -3 là nghiệm của bất phương trình (1) nhưng không là nghiệm bất phương trình (2), vì vậy (1) và (2) không tương đương do đó phép bình phương hai vế một bất phương trình không phải là phép biến đổi tương đương.
Bài 18 trang 110 Sách bài tập (SBT) Toán Đại số 10
Viết điều kiện của mỗi bất phương trình đã cho sau đây rồi cho biết các bất phương trình này có tương đương đương với nhau hay không:
\(\sqrt {(x - 1)(x - 2)} \ge x (1)\) và
\(\sqrt {x - 1} .\sqrt {x - 2} \ge x(2)\)
Gợi ý làm bài
Điều kiện của (1) là, còn điều kiện của (2) là
\(\left\{ \matrix{x - 1 \ge 0 \hfill \cr x - 2 \ge 0 \hfill \cr} \right.\)
Hai bất phương trình đã cho không tương đương với nhau vì có x = -1 là một nghiệm của (1) nhưng không là nghiệm của (2).
Nhận xét: Phép biến đổi đồng nhất
\(\sqrt a .\sqrt b = \sqrt {ab}\) làm mở rộng tập xác định, dẫn tới thay đổi điều kiện của phương trình, do đó có thể làm xuất hiện nghiệm ngoại lai.
Bài 19 trang 110 Sách bài tập (SBT) Toán Đại số 10
Nếu nhân hai vế bất phương trình
\(\frac{1}{x}\le1\) với x ta được bất phương trình nào? Bất phương trình nhận được có tương đương với bất phương trình đã cho hay không? Vì sao?
Gợi ý làm bài
Nếu nhân hai vế của
\(\frac{1}{x}\le1\) với x, ta được bất phương trình mới x≥1; bất phương trình này không tương đương với bất phương trình đã cho vì đã làm mất đi tất cả các nghiệm âm của nó.
Ghi nhớ: Không được nhân hay chia hai vế của một bất phương trình với một biểu thức chứa ẩn mà không biết dấu của biểu thức đó.
Bài 20 trang 110 Sách bài tập (SBT) Toán Đại số 10
Nếu bình phương hai vế (khử căn thức chứa ẩn) của bất phương trình
\(\sqrt {1 - x} \le x\) ta nhận được bất phương trình nào? Bất phương trình nhận được có tương đương với bất phương trình đã cho hay không? Vì sao?
Gợi ý làm bài
Nếu bình phương hai vế (khử căn thức chứa ẩn) của bất phương trình
\(\sqrt {1 - x} \le x\) ta nhận được bất phương trình
\(1 - x \le {x^2}\)
Bất phương trình nhận được không tương đương với bất phương trình đã cho vì có x = 2 không phải là nghiệm bất phương trình đã cho nhưng lại là nghiệm của bất phương trình mới nhận được sau phép bình phương.
Ghi nhớ: Không được bình phương hai vế một bất phương trình vì có thể làm xuất hiện nghiệm ngoại lai.
Bài 21 trang 110 Sách bài tập (SBT) Toán Đại số 10
Hãy viết điều kiện của bất phương trình sau rồi suy ra rằng bất phương trình đó vô nghiệm.
\({{\sqrt {5 - x} } \over {\sqrt {x - 10} (\sqrt x + 2)}} < {{4 - {x^2}} \over {(x - 4)(x + 5)}}\)
Gợi ý làm bài
Điều kiện của bất phương trình đã cho là:
\(\left\{ \matrix{5 - x \ge 0(a) \hfill \cr x - 10 > 0(b) \hfill \cr x \ge 0(c) \hfill \cr (x - 4)(x + 5) \ne 0 \hfill \cr} \right.\)
Nếu x là một nghiệm của bất phương trình đã cho thì trước hết x phải thỏa mãn (a) và (b), suy ra
\((5 - x) + (x - 10) > 0\), do đó -5 > 0, vô lí. Vì vậy bất phương trình đã cho vô nghiệm.
Bài 22 trang 110 Sách bài tập (SBT) Toán Đại số 10
Chứng minh rằng các bất phương trình sau đây vô nghiệm:
a)
\({x^2} + {1 \over {{x^2} + 1}} < 1\)
b)
\(\sqrt {{x^2} - x + 1} + {1 \over {\sqrt {{x^2} - x + 1} }} < 2\)
c)
\(\sqrt {{x^2} + 1} + \sqrt {{x^4} - {x^2} + 1}\)
\(<2\sqrt[4]{x6+1}\)
Gợi ý làm bài
a) Theo bất đẳng thức Cô – si ta có:
\({x^2} + 1) + {1 \over {({x^2} + 1)}} \ge 2 = > {x^2} + {1 \over {{x^2} + 1}} \ge 1\forall x\).
Vì vậy bất phương trình đã cho vô nghiệm.
b) Tương tự a)
c) Tương tự a) (sử dụng bất đẳng thức
\((a + b)({a^2} - ab + {b^2}) = {a^3} + {b^3}\)và đồng nhất thức
\(\sqrt {\sqrt a } =\)
\(\sqrt[4]{a}\)
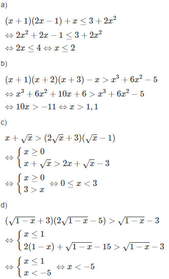
Bài 23 trang 110 Sách bài tập (SBT) Toán Đại số 10
Giải các bất phương trình sau:
a)
\((x + 1)(2x - 1) + x \le 3 + 2{x^2}\)
b)
\((x + 1)(x + 2)(x + 3) - x > {x^3} + 6{x^2} - 5\)
c)
\(x + \sqrt x > (2\sqrt x + 3)(\sqrt x - 1)\)
d)
\((\sqrt {1 - x} + 3)(2\sqrt {1 - x} - 5) > \sqrt {1 - x} - 3\)
Gợi ý làm bài

Bài 24 trang 111 Sách bài tập (SBT) Toán Đại số 10
Giải các bất phương trình sau:
a)
\(\sqrt {{{(x - 4)}^2}(x + 1)} > 0\)
b)
\(\sqrt {{{(x + 2)}^2}(x - 3)} > 0\)
Gợi ý làm bài

Tập nghiệm của bất phương trình là:
\(( - 1;4) \cup (4; + \infty )\)
b) Đáp số: x > 3.
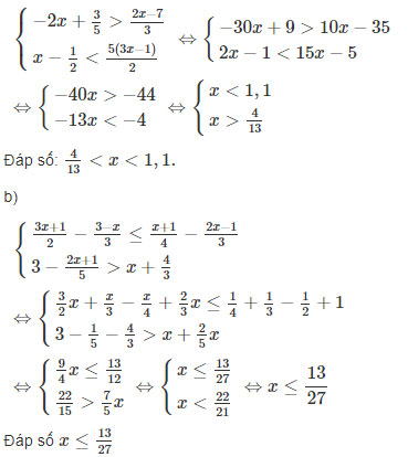
Bài 25 trang 111 Sách bài tập (SBT) Toán Đại số 10
Giải các bất phương trình sau:
a)
\(\left\{ \matrix{
- 2x + {3 \over 5} > {{2x - 7} \over 3} \hfill \cr
x - {1 \over 2} < {{5(3x - 1)} \over 2} \hfill \cr} \right.;\)
\(b) \left\{ \matrix{{{3x + 1} \over 2} - {{3 - x} \over 3} \le {{x + 1} \over 4} - {{2x - 1} \over 3} \hfill \cr 3 - {{2x + 1} \over 5} > x + {4 \over 3} \hfill \cr} \right..\)
Gợi ý làm bài

Bài 26 trang 111 Sách bài tập Toán 10
Giải và biện luận bất phương trình theo tham số m.
\(mx - {m^2} > 2x - 4\)
Gợi ý làm bài
\(mx - {m^2} > 2x - 4 \Leftrightarrow (m - 2)x > (m - 2)(m + 2)\)
Nếu m > 2 thì m – 2 > 0, bất phương trình có nghiệm là x > m + 2;
Nếu m < 2 thì m – 2 < 0, bất phương trình có nghiệm là x < m + 2;
Nếu m = 2 thì bất phương trình trở thành 0x > 0, bất phương trình vô nghiệm.
-----------------------------
Để có kết quả cao hơn trong học tập, VnDoc xin giới thiệu tới các bạn học sinh tài liệu Giải bài tập Toán 10, Giải bài tập Vật Lí 10, Giải bài tập Sinh học 10, Giải bài tập Hóa học 10 mà VnDoc tổng hợp và đăng tải.