Giải bài tập Toán 10 SBT bài 3 chương 6
Toán 10 - Công thức lượng giác
VnDoc xin giới thiệu tới bạn đọc tài liệu Giải bài tập Toán 10 SBT bài 3 chương 6, tài liệu gồm 7 bài tập trang 193, 194 kèm theo đáp án sẽ là nguồn thông tin hữu ích để giúp các bạn học sinh học tập môn Toán 10 được tốt hơn. Mời các bạn học sinh tham khảo.
Giải bài tập Toán 10 SBT bài 4 chương 5
Giải bài tập Toán 10 SBT ôn tập chương 5
Giải bài tập Toán 10 SBT bài 3
Bài 16 trang 193 Sách bài tập (SBT) Toán Đại số 10
Cho
\(\cos \alpha = {1 \over 3}\) tính
\(sin(\alpha + {\pi \over 6}) - \cos (\alpha - {{2\pi } \over 3})\)
Gợi ý làm bài
Ta có:
\(sin(\alpha + {\pi \over 6}) - \cos (\alpha - {{2\pi } \over 3})\)
\(= sin\alpha c{\rm{os}}{\pi \over 6} + \cos \alpha \sin {\pi \over 6} - \cos \alpha \cos {{2\pi } \over 3} - \sin \alpha \sin {{2\pi } \over 3}\)
\(= {{\sqrt 3 } \over 2}sin\alpha + {1 \over 2}\cos \alpha + {1 \over 2}\cos \alpha - {{\sqrt 3 } \over 2}\sin \alpha\)
\(= \cos \alpha = {1 \over 3}\)
Bài 17 trang 193 Sách bài tập (SBT) Toán Đại số 10
Cho
\(\sin \alpha = {8 \over {17}},\sin \beta = {{15} \over {17}}\) với
\(0 < \alpha < {\pi \over 3},0 < \beta < {\pi \over 2}\). Chứng minh rằng
\(\alpha + \beta = {\pi \over 2}\)
Gợi ý làm bài
Ta có:

Do đó:
\(\sin (\alpha + \beta ) = \sin \alpha \cos \beta + \cos \alpha \sin \beta\)
\({8 \over {17}}.{8 \over {17}} + {{15} \over {17}}.{{15} \over {17}} = {{289} \over {289}} = 1\)
Vì
\(0 < \alpha < {\pi \over 3},0 < \beta < {\pi \over 2}\) nên từ đó suy ra
\(\alpha + \beta = {\pi \over 2}\)
Bài 18 trang 193 Sách bài tập (SBT) Toán Đại số 10
Không dùng bảng số và máy tính, chứng minh rằng
a)
\(\sin {20^0} + 2\sin {40^0} - \sin {100^0} = \sin {40^0}\)
b)
\({{\sin ({{45}^0} + \alpha ) - c{\rm{os(}}{{45}^0} + \alpha )} \over {\sin ({{45}^0} + \alpha ) + c{\rm{os(}}{{45}^0} + \alpha )}} = \tan \alpha\)
c)
\({{3{{\cot }^2}{{15}^0} - 1} \over {3 - c{\rm{o}}{{\rm{t}}^2}{{15}^0}}} = - \cot {15^0}\)
d)
\(\sin {200^0}\sin {310^0} + c{\rm{os34}}{{\rm{0}}^0}{\rm{cos5}}{{\rm{0}}^0}{\rm{ = }}{{\sqrt 3 } \over 2}\)
Gợi ý làm bài
a)
sin200+2sin400−sin1000
=(sin200−sin1000)+2sin400
\(=2\cos {60^0}\sin ( - {40^0}) + 2\sin {40^0}\)
=
\(- \sin {40^0} + 2\sin {40^0} = \sin {40^0}\)
b)

\(={{2\cos {{45}^0}\sin \alpha } \over {2\sin {{45}^0}\cos \alpha }} = {{\sqrt 2 \sin \alpha } \over {\sqrt 2 \cos \alpha }} = \tan \alpha\)
c)
\({{3{{\cot }^2}{{15}^0} - 1} \over {3 - c{\rm{o}}{{\rm{t}}^2}{{15}^0}}} = {{{{\cot }^2}{{30}^0}{{\cot }^2}{{15}^0} - 1} \over {c{\rm{o}}{{\rm{t}}^2}{{30}^0} - {{\cot }^2}{{15}^0}}}\)
\(={{\cot {{30}^0}\cot {{15}^0} + 1} \over {c{\rm{ot}}{{30}^0} - \cot {{15}^0}}}.{{\cot {{30}^0}\cot {{15}^0} - 1} \over {c{\rm{ot}}{{30}^0} + \cot {{15}^0}}}\)
Mặt khác ta có
\(\cot (\alpha + \beta ) = {{\cos (\alpha + \beta )} \over {\sin (\alpha + \beta )}} = {{\cos \alpha \cos \beta - \sin \alpha \sin \beta } \over {\sin \alpha \cos \beta + \cos \alpha \sin \beta }}\)
Chia cả tử và mẫu của biểu thức cho
\(\sin \alpha \sin \beta\) ta được
\(\cot (\alpha + \beta ) = {{\cot \alpha \cot \beta - 1} \over {\cot \alpha + \cot \beta }}\)
Tương tự
\(\cot (\alpha - \beta ) = {{\cot \alpha \cot \beta + 1} \over {\cot \beta - \cot \alpha }}\)
Do đó
\(A = \cot ({15^0} - {30^0})\cot ({15^0} + {30^0}) = - \cot {15^0}\)
d)
\(\sin {200^0}\sin {310^0} + c{\rm{os34}}{{\rm{0}}^0}{\rm{cos5}}{{\rm{0}}^0}\)
\(= \sin ({180^0} + {20^0})\sin ({360^0} - {50^0}) + c{\rm{os(36}}{{\rm{0}}^0}{\rm{ - 2}}{{\rm{0}}^0}{\rm{)cos5}}{{\rm{0}}^0}\)
\(= ( - \sin {20^0})( - \sin {50^0}) + \cos {20^0}\cos {50^0}\)
\(= \cos {50^0}\cos {20^0} + \sin {50^0}\sin {20^0}\)
\(= \cos ({50^0} - {20^0}) = {{\sqrt 3 } \over 2}\)
Bài 19 trang 194 Sách bài tập (SBT) Toán Đại số 10
Chứng minh rằng các biểu thức sau là những hằng số không phụ thuộc
\(\alpha ,\beta\)
a)
\(\sin 6\alpha \cot 3\alpha - c{\rm{os6}}\alpha\)
b)
\({{\rm{[}}\tan ({90^0} - \alpha ) - \cot ({90^0} + \alpha ){\rm{]}}^2} - {{\rm{[}}c{\rm{ot(18}}{{\rm{0}}^0} + \alpha ) + \cot ({270^0} + \alpha ){\rm{]}}^2}\)
c)
\((\tan \alpha - \tan \beta )cot(\alpha - \beta ) - \tan \alpha \tan \beta\)
d)
\(\cot {\alpha \over 3} - \tan {\alpha \over 3})\tan {{2\alpha } \over 3}\)
Gợi ý làm bài
a)
sin6αcot3α−cos6α
\(= 2\sin 3\alpha \cos 3\alpha .{{\cos 3\alpha } \over {\sin 3\alpha }} - (2{\cos ^2}3\alpha - 1)\)
\(= 2{\cos ^2}3\alpha - 2{\cos ^2}3\alpha + 1 = 1\)
b)
\({{\rm{[}}\tan ({90^0} - \alpha ) - \cot ({90^0} + \alpha ){\rm{]}}^2} - {{\rm{[}}c{\rm{ot(18}}{{\rm{0}}^0} + \alpha ) + \cot ({270^0} + \alpha ){\rm{]}}^2}\)
\(= {(\cot \alpha + \tan \alpha )^2} - {(\cot \alpha - \tan \alpha )^2}\)
\(= {\cot ^2}\alpha + 2 + {\tan ^2}\alpha - {\cot ^2}\alpha + 2 - {\tan ^2}\alpha = 4\)
c)
(tanα−tanβ)cot(α−β)−tanαtanβ
\(= {{\tan \alpha - \tan \beta } \over {\tan (\alpha - \beta )}} - \tan \alpha \tan \beta\)
\(=1 + \tan \alpha \tan \beta - \tan \alpha \tan \beta = 1\)
d)

Bài 20 trang 194 Sách bài tập (SBT) Toán Đại số 10
Không sử dụng bảng số và máy tính, hãy tính
a)
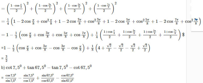
\({\sin ^4}{\pi \over {16}} + {\sin ^4}{{3\pi } \over {16}} + {\sin ^4}{{5\pi } \over {16}} + {\sin ^4}{{7\pi } \over {16}}\)
b)
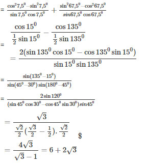
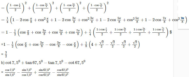
\(\cot 7,{5^0} + \tan 67,{5^0} - \tan 7,{5^0} - \cot 67,{5^0}\)
Gợi ý làm bài
a)
\({\sin ^4}{\pi \over {16}} + {\sin ^4}{{3\pi } \over {16}} + {\sin ^4}{{5\pi } \over {16}} + {\sin ^4}{{7\pi } \over {16}}\)


Bài 21 trang 194 Sách bài tập (SBT) Toán Đại số 10
Rút gọn các biểu thức
a)
\({{\sin 2\alpha + \sin \alpha } \over {1 + c{\rm{os2}}\alpha {\rm{ + cos}}\alpha }}\)
b)
\({{4{{\sin }^2}\alpha } \over {1 - c{\rm{o}}{{\rm{s}}^2}{\alpha \over 2}}}\)
c)
\({{1 + c{\rm{os}}\alpha - \sin \alpha } \over {1 - c{\rm{os}}\alpha - {\rm{sin}}\alpha }}\)
d)
\({{1 + \sin \alpha - 2{{\sin }^2}({{45}^0} - {\alpha \over 2})} \over {4c{\rm{os}}{\alpha \over 2}}}\)
Gợi ý làm bài
a)
\({{\sin 2\alpha + \sin \alpha } \over {1 + c{\rm{os2}}\alpha {\rm{ + cos}}\alpha }} = {{\sin \alpha (2\cos \alpha + 1)} \over {2c{\rm{o}}{{\rm{s}}^2}\alpha {\rm{ + cos}}\alpha }}\)
\(= {{\sin \alpha (2\cos \alpha + 1)} \over {c{\rm{os}}\alpha (2{\rm{cos}}\alpha + 1)}} = \tan \alpha\)
b)
\({{4{{\sin }^2}\alpha } \over {1 - c{\rm{o}}{{\rm{s}}^2}{\alpha \over 2}}} = {{16{{\sin }^2}{\alpha \over 2}{{\cos }^2}{\alpha \over 2}} \over {{{\sin }^2}{\alpha \over 2}}}\)
\(= 16{\cos ^2}{\alpha \over 2}\)
c)
\({{1 + c{\rm{os}}\alpha - \sin \alpha } \over {1 - c{\rm{os}}\alpha - {\rm{sin}}\alpha }}\)
\(= {{2{{\cos }^2}{\alpha \over 2} - 2\sin {\alpha \over 2}\cos {\alpha \over 2}} \over {2si{n^2}{\alpha \over 2} - 2\sin {\alpha \over 2}\cos {\alpha \over 2}}}\)
\(= {{2\cos {\alpha \over 2}(\cos {\alpha \over 2} - \sin {\alpha \over 2})} \over {2\sin {\alpha \over 2}(sin{\alpha \over 2} - \cos {\alpha \over 2})}} = - \cot {\alpha \over 2}\)
d)
\({{1 + \sin \alpha - 2{{\sin }^2}({{45}^0} - {\alpha \over 2})} \over {4c{\rm{os}}{\alpha \over 2}}}\)
\(= {{\sin \alpha + \cos ({{90}^0} - \alpha )} \over {4\cos {\alpha \over 2}}}\)
\(={{\sin \alpha + \sin \alpha } \over {4\cos {\alpha \over 2}}}\)
\(= {{4\sin {\alpha \over 2}\cos {\alpha \over 2}} \over {4\cos {\alpha \over 2}}} = \sin {\alpha \over 2}\)
Bài 22 trang 194 Sách bài tập (SBT) Toán 10
Cho hình thang cân ABCD có đáy nhỏ AB = AD. Biết
\(\tan \widehat {BDC} = {3 \over 4}\) tính các giá trị lượng giác của
\(\widehat {BAD}\)
Gợi ý làm bài
Ta có (h.64)

\(\widehat {ABD} = \widehat {ADB}\)
\(\widehat {ABD} = \widehat {BDC}\)
\(=> \widehat {BDC} = \widehat {ADB}\)
Suy ra
\(\widehat {BAD} = \pi - 2\widehat {BDC}\)
Từ đó ta có:
-----------------------------
Để có kết quả cao hơn trong học tập, VnDoc xin giới thiệu tới các bạn học sinh tài liệu Giải bài tập Toán 10, Giải bài tập Vật Lí 10, Giải bài tập Sinh học 10, Giải bài tập Hóa học 10 mà VnDoc tổng hợp và đăng tải.
