Giải bài tập Toán 10 SBT bài 2 chương 6
Toán 10 - Giá trị lượng giác của một cung
VnDoc xin giới thiệu tới bạn đọc tài liệu Giải bài tập Toán 10 SBT bài 2 chương 6, tài liệu gồm 9 bài tập trang 189, 190 kèm theo đáp án sẽ là nguồn thông tin hữu ích để giúp các bạn học sinh học tập môn Toán được tốt hơn. Mời các bạn học sinh tham khảo.
Giải bài tập Toán 10 SBT bài 3 chương 5
Giải bài tập Toán 10 SBT bài 4 chương 5
Giải bài tập Toán 10 SBT bài 2
Bài 7 trang 189 Sách bài tập (SBT) Toán Đại số 10
Cho
\(\pi < \alpha < {{3\pi } \over 2}\). Xác định dấu của các giá trị lượng giác sau
a)
\(\cos (\alpha - {\pi \over 2});\)
b)
\(\sin ({\pi \over 2} + \alpha );\)
c)
\(\tan ({{3\pi } \over 2} - \alpha );\)
d)
\(\cot (\alpha + \pi )\)
Gợi ý làm bài
a) Với
\(\pi < \alpha < {{3\pi } \over 2}\) thì
\({\pi \over 2} < \alpha - {\pi \over 2} < \pi\), do đó
\(\cos (\alpha - {\pi \over 2}) < 0.\)
b)
\({{3\pi } \over 2} < {\pi \over 2} + \alpha < 2\pi\) nên
\(\sin ({\pi \over 2} + \alpha ) < 0\)
c)
\(0 < {{3\pi } \over 2} - \alpha < {\pi \over 2}\) nên
\(\tan ({{3\pi } \over 2} - \alpha ) > 0\)
d)
\(\pi < \alpha + \pi < {{5\pi } \over 2}\) nên
\(\cot (\alpha + \pi ) > 0\)
Bài 8 trang 189 Sách bài tập (SBT) Toán Đại số 10
Chứng minh rằng với mọi
\(\alpha\), ta luôn có
a)
\(\sin (\alpha + {\pi \over 2}) = \cos \alpha;\)
b)
\({\rm{cos}}(\alpha + {\pi \over 2}) = - \sin \alpha ;\)
c)
\(\tan (\alpha + {\pi \over 2}) = - \cot \alpha;\)
d)
\(\cot (\alpha + {\pi \over 2}) = - \tan \alpha.\)
Gợi ý làm bài
a)
\(\sin (\alpha + {\pi \over 2}) = \sin ({\pi \over 2} - ( - \alpha )) = c{\rm{os( - }}\alpha {\rm{) = cos}}\alpha\)
b)
\({\rm{cos}}(\alpha + {\pi \over 2}) = c{\rm{os(}}{\pi \over 2} - ( - \alpha ) = \sin ( - \alpha ) = - \sin \alpha\)
c)
\(\tan (\alpha + {\pi \over 2}) = {{\sin (\alpha + {\pi \over 2})} \over {\cos (\alpha + {\pi \over 2})}} = {{\cos \alpha } \over { - \sin \alpha }} = - \cot \alpha\)
d)
\(\cot (\alpha + {\pi \over 2}) = {{\cos (\alpha + {\pi \over 2})} \over {\sin (\alpha + {\pi \over 2})}} = {{ - \sin \alpha } \over {\cos \alpha }} = - \tan \alpha\)
Bài 9 trang 189 Sách bài tập (SBT) Toán Đại số 10
Tính các giá trị lượng giác của góc
\(\alpha\), nếu
a)
\({\rm{cos}}\alpha = - {1 \over 4},\pi < \alpha < {{3\pi } \over 2}\)
b)
\({\rm{sin}}\alpha = {2 \over 3},{\pi \over 2} < \alpha < \pi\)
c)
\({\rm{tan}}\alpha = {7 \over 3},0 < \alpha < {\pi \over 2}\)
d)
\({\rm{cot}}\alpha = - {{14} \over 9},{{3\pi } \over 2} < \alpha < 2\pi\)
Gợi ý làm bài
a)
\(\pi < \alpha < {{3\pi } \over 2} = > \sin \alpha < 0\)
Vậy
\(\sin \alpha = - \sqrt {1 - {{\cos }^2}\alpha } = - \sqrt {1 - {1 \over {16}}} = - {{\sqrt {15} } \over 4}\)
\(\tan \alpha = {{\sin \alpha } \over {{\rm{cos}}\alpha }} = \sqrt {15} ,\cot \alpha = {1 \over {\sqrt {15} }}\)
b)
\({\pi \over 2} < \alpha < \pi = > c{\rm{os}}\alpha {\rm{ < 0}}\)
Vậy
\(\cos \alpha = - \sqrt {1 - {{\sin }^2}\alpha } = - \sqrt {1 - {4 \over 9}} = {{ - \sqrt 5 } \over 3}\)
\(\tan \alpha = {{\sin \alpha } \over {c{\rm{os}}\alpha }}{\rm{ = - }}{2 \over {\sqrt 5 }}{\rm{,cot}}\alpha {\rm{ = - }}{{\sqrt 5 } \over 2}\)
c)
\(0 < \alpha < {\pi \over 2} = \cos \alpha > 0,co{s^2}\alpha = {1 \over {1 + {{\tan }^2}\alpha }}\)
Vậy
\(\cos \alpha = {1 \over {\sqrt {1 + {{49} \over 9}} }} = {3 \over {\sqrt {58} }}\)
\(\sin \alpha = \cos \alpha \tan \alpha = {7 \over {\sqrt {58} }},\cot \alpha = {3 \over 7}\)
d)
\({{3\pi } \over 2} < \alpha < 2\pi = > \sin \alpha < 0,{\sin ^2}\alpha = {1 \over {1 + {{\cot }^2}\alpha }}\)
Vậy
\(\sin \alpha = - {1 \over {\sqrt {1 + {{196} \over {81}}} }} = - {9 \over {\sqrt {277} }}\)
\({\rm{cos}}\alpha {\rm{ = sin}}\alpha {\rm{cot}}\alpha {\rm{ = }}{{14} \over {\sqrt {277} }},\tan \alpha = {1 \over {\cot \alpha }} = - {9 \over {14}}\)
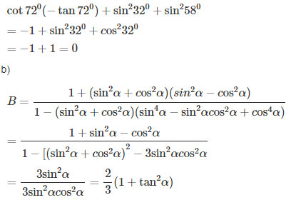
Bài 10 trang 189 Sách bài tập (SBT) Toán Đại số 10
Biết
\(\sin \alpha = {3 \over 4}\) và
\({\pi \over 2} < \alpha < \pi\). Tính
a)
\(A = {{2\tan \alpha - 3\cot \alpha } \over {\cos \alpha + tan\alpha }}\)
b)
\(B = {{{\rm{co}}{{\rm{s}}^2}\alpha + {{\cot }^2}\alpha } \over {\tan \alpha - \cot \alpha }}\)
Gợi ý làm bài
a)
\({\pi \over 2} < \alpha < \pi = > \cos \alpha < 0\)
Ta có:
\(\cos \alpha = - \sqrt {1 - {{\sin }^2}\alpha } = - \sqrt {1 - {9 \over {16}}} = - {{\sqrt 7 } \over 4}\)
\(\tan \alpha = {{\sin \alpha } \over {\cos \alpha }} = - {3 \over {\sqrt 7 }},\cot \alpha = - {{\sqrt 7 } \over 3}\)
Vậy
\(A = {{ - {6 \over {\sqrt 7 }} + \sqrt 7 } \over { - {{\sqrt 7 } \over 4} - {3 \over {\sqrt 7 }}}} = - {4 \over {19}}\)
b)
\(B = {{{7 \over {16}} + {7 \over 9}} \over { - {3 \over {\sqrt 7 }} + {{\sqrt 7 } \over {\sqrt 7 }}}} = {{{{7 \times 25} \over {144}}} \over { - {2 \over {3\sqrt 7 }}}} = - {{175\sqrt 7 } \over {96}}\)
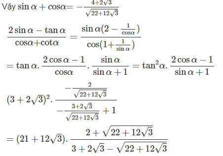
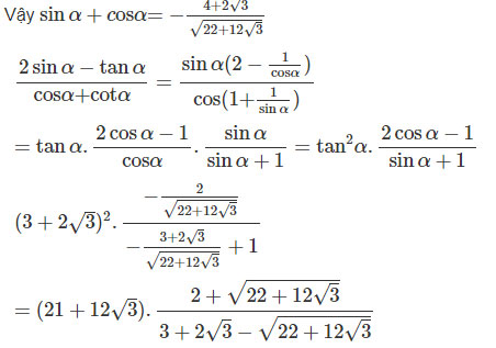
Bài 11 trang 189 Sách bài tập (SBT) Toán Đại số 10
Cho
\(\tan \alpha - 3\cot \alpha = 6\) và
\(\pi < \alpha < {{3\pi } \over 2}\). Tính
a)
\(\sin \alpha + \cos \alpha\)
b)
\({{2\sin \alpha - \tan \alpha } \over {{\rm{cos}}\alpha {\rm{ + cot}}\alpha }}\)
Gợi ý làm bài
Vì
\(\pi < \alpha < {{3\pi } \over 2}\)
Nên
\(\cos \alpha < 0,\sin \alpha < 0\) và
\(\tan \alpha > 0\)
Ta có:
\(\tan \alpha - 3\cot \alpha = 6 \Leftrightarrow \tan \alpha - {3 \over {\tan \alpha }} - 6 = 0\)
\(\Leftrightarrow {\tan ^2}\alpha - 6\tan \alpha - 3 = 0\)
Vì
\(\tan \alpha > 0\) nên
\(\tan \alpha = 3 + 2\sqrt 3\)
a)
\({\rm{co}}{{\rm{s}}^2}\alpha = {1 \over {1 + {{\tan }^2}\alpha }} = {1 \over {22 + 12\sqrt 3 }}\)
Suy ra
\({\rm{cos}}\alpha {\rm{ = - }}{1 \over {\sqrt {22 + 12\sqrt 3 } }},\sin \alpha = - {{3 + 2\sqrt 3 } \over {\sqrt {22 + 12\sqrt 3 } }}\)
\(\sin \alpha + c{\rm{os}}\alpha {\rm{ = - }}{{4 + 2\sqrt 3 } \over {\sqrt {22 + 12\sqrt 3 } }}\)

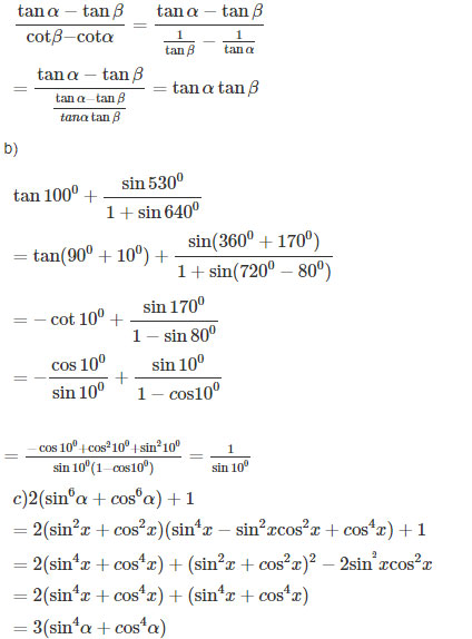
Bài 12 trang 189 Sách bài tập (SBT) Toán Đại số 10
Chứng minh các đẳng thức
a)
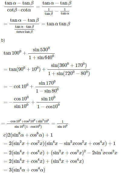
\({{\tan \alpha - \tan \beta } \over {{\rm{cot}}\beta {\rm{ - cot}}\alpha }} = \tan \alpha \tan \beta\)
b)
\(\tan {100^0} + {{\sin {{530}^0}} \over {1 + \sin {{640}^0}}} = {1 \over {\sin {{10}^0}}}\)
c)
\(2({\sin ^6}\alpha + c{\rm{o}}{{\rm{s}}^6}\alpha ) + 1 = 3({\sin ^4}\alpha + c{\rm{o}}{{\rm{s}}^4}\alpha )\)
Gợi ý làm bài
a)

Bài 13 trang 190 Sách bài tập (SBT) Toán Đại số 10
Cho
\(\tan \alpha + \cos \alpha = m\), hãy tính theo m
a)
\({\tan ^2}\alpha + {\cot ^2}\alpha\)
b)
\({\tan ^3}\alpha + {\cot ^3}\alpha\)
Gợi ý làm bài
a)
tan2α+cot2α
=(tanα+cotα)2−2tanαcotα=m2−2
b)
tan3α+cot3α
=(tanα+cotα)(tan2α−tanαcotα+cot2α)
=m(m2−3)
Bài 14 trang 190 Sách bài tập (SBT) Toán Đại số 10
Không dùng bảng số và máy tính, rút gọn các biểu thức
a)
\(A = \tan {18^0}\tan {288^0} + \sin {32^0}\sin {148^0} - \sin {302^0}\sin {122^0}\)
b)
\(B = {{1 + {{\sin }^4}\alpha - c{\rm{o}}{{\rm{s}}^4}\alpha } \over {1 - {{\sin }^6}\alpha - c{\rm{o}}{{\rm{s}}^6}\alpha }}\)
Gợi ý làm bài
a)
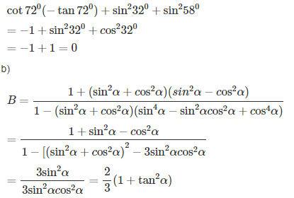
\(A = \tan ({90^0} - {72^0})\tan ({360^0} - {72^0}) + \sin {32^0}\sin ({180^0} - {32^0}) - \sin ({360^0} - {58^0})\sin ({180^0} - {58^0})\)

Bài 15 trang 190 Sách bài tập (SBT) Toán 10
Chứng minh rằng với mọi
\(\alpha\) làm cho biểu thức
\({{\sin \alpha + \tan \alpha } \over {{\rm{cos}}\alpha {\rm{ + cot}}\alpha }}\) có nghĩa, biểu thức đó không thể là một số âm.
Gợi ý làm bài
Ta có:

Vì
\(1 + c{\rm{os}}\alpha \ge {\rm{0}}\) và
\(1 + \sin \alpha \ge {\rm{0}}\) cho nên biểu thức đã cho không thể có giá trị là một số âm.
-----------------------------
Để có kết quả cao hơn trong học tập, VnDoc xin giới thiệu tới các bạn học sinh tài liệu Giải bài tập Toán 10, Giải bài tập Vật Lí 10, Giải bài tập Sinh học 10, Giải bài tập Hóa học 10 mà VnDoc tổng hợp và đăng tải.