Giải bài tập Toán 10 SBT bài 5 chương 4
Toán 10 - Dấu của tam thức bậc hai
VnDoc xin giới thiệu tới bạn đọc tài liệu Giải bài tập Toán 10 SBT bài 5 chương 4, tài liệu kèm theo đáp án sẽ giúp các bạn học sinh rèn luyện giải bài tập Toán lớp 10 một cách chính xác nhất. Mời các bạn học sinh và thầy cô cùng tham khảo.
Giải bài tập Toán 10 SBT ôn tập chương 3
Giải bài tập Toán 10 SBT bài 2 chương 4
Giải bài tập Toán 10 SBT bài 5
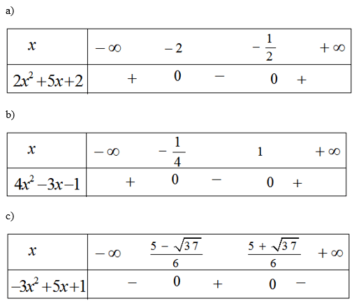
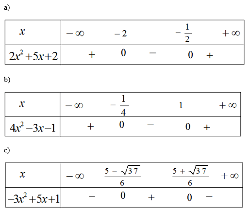
Bài 40 trang 122 Sách bài tập (SBT) Toán Đại số 10
Xét dấu của tam thức bậc hai sau
a)
\(2{x^2} + 5x + 2;\)
b)
\(4{x^2} - 3x - 1;\)
c)
\(- 3{x^2} + 5x + 1;\)
d)
\(3{x^2} + x + 5.\)
Gợi ý làm bài

d) Tam thức
\(3{x^2} + x + 5\) có biệt thức
\(\Delta = - 59 < 0\) và hệ số a = 3 > 0
Vậy
\(3{x^2} + x + 5 > 0,\forall x\)
Bài 41 trang 122 Sách bài tập (SBT) Toán Đại số 10
Giải các bất phương trình sau:
a)
\({x^2} - 2x + 3 > 0;\)
b)
\({x^2} + 9 > 6x.\)
Gợi ý làm bài
a)
\({x^2} - 2x + 3 > 0 \Leftrightarrow {(x - 1)^2} + 2 > 0\) (đúng với mọi x);
b)
\({x^2} + 9 > 6x \Leftrightarrow {(x - 3)^2} > 0\) (đúng với mọi)
Bài 42 trang 122 Sách bài tập Toán 10
Giải các bất phương trình sau:
a)
\(6{x^2} - x - 2 \ge 0;\)
b)
\({1 \over 3}{x^2} + 3x + 6 < 0\)
Gợi ý làm bài
a)
\(6{x^2} - x - 2 \ge 0 \Leftrightarrow x \le - {1 \over 2}\) hoặc
\(x\ge {2 \over 3}\)
b)
\({1 \over 3}{x^2} + 3x + 6 < 0 \Leftrightarrow {x^2} + 9x + 18 < 0 \Leftrightarrow - 6 < x < - 3\)
Bài 43 trang 122 Sách bài tập (SBT) Toán Đại số 10
Giải các bất phương trình sau:
a)
\({{{x^2} + 1} \over {{x^2} + 3x - 10}} < 0;\)
b)
\({{10 - x} \over {5 + {x^2}}} > {1 \over 2}\)
Gợi ý làm bài
a)
\({{{x^2} + 1} \over {{x^2} + 3x - 10}} < 0 \Leftrightarrow {x^2} + 3x - 10 < 0 \Leftrightarrow - 5 < x < 2\)
Bài 44 trang 122 Sách bài tập (SBT) Toán Đại số 10
Giải các bất phương trình sau:
a)
\({{x + 1} \over {x - 1}} + 2 > {{x - 1} \over x};\)
b)
\({1 \over {x + 1}} + {2 \over {x + 3}} < {3 \over {x + 2}}\)
Gợi ý làm bài


⇔x<−3⇔ hoặc −2<x<−1− hoặc x>1
Đáp số: x < -3 hoặc -2 < x < -1 hoặc x > 1
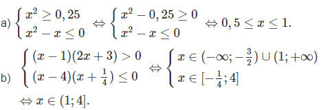
Bài 45 trang 122 Sách bài tập (SBT) Toán Đại số 10
Giải các bất phương trình sau:
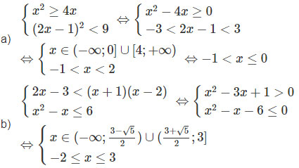
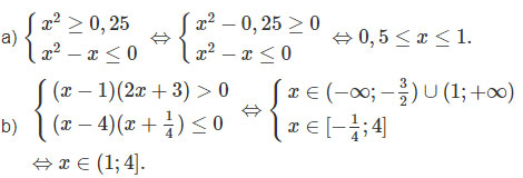
a)
\(\left\{ \matrix{{x^2} \ge 0,25 \hfill \cr {x^2} - x \le 0 \hfill \cr} \right.;\)
b)
\(\left\{ \matrix{(x - 1)(2x + 3) > 0 \hfill \cr (x - 4)(x + {1 \over 4}) \le 0 \hfill \cr} \right.\)
Gợi ý làm bài

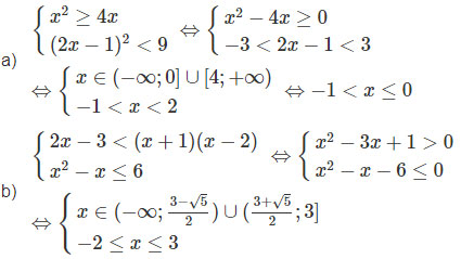
Bài 46 trang 122 Sách bài tập (SBT) Toán Đại số 10
Giải các bất phương trình sau:
a)
\(\left\{ \matrix{{x^2} \ge 0,25 \hfill \cr {x^2} - x \le 0 \hfill \cr} \right.;\)
b)
\(\left\{ \matrix{(x - 1)(2x + 3) > 0 \hfill \cr (x - 4)(x + {1 \over 4}) \le 0 \hfill \cr} \right.\)
Gợi ý làm bài

\(\Leftrightarrow x \in {\rm{[ - 2;}}{{3 - \sqrt 5 } \over 2}) \cup ({{3 + \sqrt 5 } \over 2};3{\rm{]}}\)
Bài 47 trang 122 Sách bài tập (SBT) Toán Đại số 10
Giải các bất phương trình, hệ bất phương trình (ẩn m) sau:
a)
\(2{m^2} - m - 5 > 0;\)
b)
\(- {m^2} + m + 9 > 0.\)
Gợi ý làm bài
a)
\(2{m^2} - m - 5 > 0 \Leftrightarrow m < {{1 - \sqrt {41} } \over 4};m > {{1 + \sqrt {41} } \over 4}\)
b)
\(- {m^2} + m + 9 > 0 \Leftrightarrow {{1 - \sqrt {37} } \over 2} < m < {{1 + \sqrt {37} } \over 2}\)
Bài 48 trang 122 Sách bài tập (SBT) Toán Đại số 10
Giải các bất phương trình, hệ bất phương trình (ẩn m) sau:
a)
\({(2m - 1)^2} - 4(m + 1)(m - 2) \ge 0;\)
b)
\({m^2} - (2m - 1)(m + 1) < 0\)
Gợi ý làm bài
\({(2m - 1)^2} - 4(m + 1)(m - 2) \ge 0 \Leftrightarrow 9 \ge 0\). Bất phương trình có tập nghiệm là R.
b)
\({m^2} - (2m - 1)(m + 1) < 0 \Leftrightarrow - {m^2} - m + 1 < 0\)
\(\Leftrightarrow m \in ( - \infty ;{{ - 1 - \sqrt 5 } \over 2}) \cup ({{ - 1 + \sqrt 5 } \over 2}; + \infty )\)
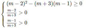
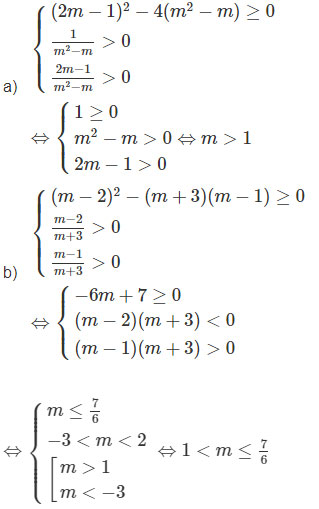
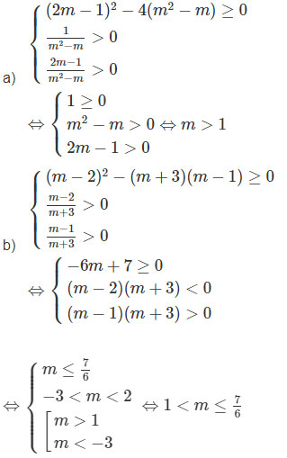
Bài 49 trang 123 Sách bài tập (SBT) Toán Đại số 10
Giải các bất phương trình, hệ bất phương trình (ẩn m) sau:
a)
\(\left\{ \matrix{{(2m - 1)^2} - 4({m^2} - m) \ge 0 \hfill \cr {1 \over {{m^2} - m}} > 0 \hfill \cr {{2m - 1} \over {{m^2} - m}} > 0 \hfill \cr} \right.;\)
b)

Gợi ý làm bài

Bài 50 trang 123 Sách bài tập (SBT) Toán Đại số 10
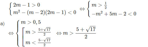
Giải các bất phương trình, hệ bất phương trình (ẩn m) sau:
a)
\(\left\{ \matrix{
2m - 1 > 0 \hfill \cr
{m^2} - (m - 2)(2m - 1) < 0 \hfill \cr} \right.;\)
b)
\(\left\{ \matrix{{m^2} - m - 2 > 0 \hfill \cr {(2m - 1)^2} - 4({m^2} - m - 2) \le 0 \hfill \cr} \right.\)
Gợi ý làm bài
a)

b)
\(\left\{ \matrix{
{m^2} - m - 2 > 0 \hfill \cr
{(2m - 1)^2} - 4({m^2} - m - 2) \le 0 \hfill \cr} \right. \Leftrightarrow \left\{ \matrix{
- 1 < m < 2 \hfill \cr
9 \le 0 \hfill \cr} \right.\)
Hệ vô nghiệm
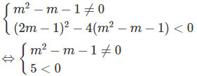
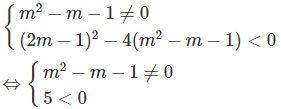
Bài 51 trang 123 Sách bài tập (SBT) Toán Đại số 10
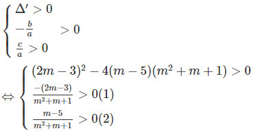
Tìm các giá trị của tham số m để các tam thức bậc hai sau có dấu không đổi (không phụ thuộc vào x).
a)
\(f(x) = 2{x^2} - (m + 2)x + {m^2} - m - 1;\)
b)
\(f(x) = ({m^2} - m - 1){x^2} - (2m - 1)x + 1\)
Gợi ý làm bài
Để tam thức bậc hai
\(f(x) = a{x^2} + bx + c\) có dấu không đổi, điều kiện cần và đủ là
\(\Delta = {b^2} - 4ac < 0\)
a)

\(\Leftrightarrow m \in ( - \infty ;{{6 - \sqrt {120} } \over 7}) \cup ({{6 + \sqrt {120} } \over 7}; + \infty ).\)
b)

Không có giá trị nào của m thỏa mãn điều kiện này.
Bài 52 trang 123 Sách bài tập (SBT) Toán Đại số 10
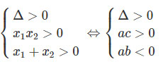
Tìm các giá trị của tham số m để các phương trình sau có hai nghiệm phân biệt trái dấu
a)
\(({m^2} - 1){x^2} + (m + 3)x + ({m^2} + m) = 0;\)
b)
\({x^2} - ({m^3} + m - 2)x + {m^2} + m - 5 = 0.\)
Gợi ý làm bài
Phương trình bậc hai
\(a{x^2} + bx + c = 0\) sẽ có hai nghiệm phân biệt trái dấu khi và chỉ khi ac < 0.
a) Nếu
\(m = \pm 1\) thì phương trình đã cho có nghiệm duy nhất (loại).
(m2−1)(m2+m)<0⇔(m+1)2m(m−1)<0
⇔0<m<1
b)
\({x^2} - ({m^3} + m - 2)x + {m^2} + m - 5 = 0\) có hai nghiệm phân biệt trái dấu khi và chỉ khi
\({m^2} + m - 5 < 0 \Leftrightarrow {{ - 1 - \sqrt {21} } \over 2} < m < {{ - 1 + \sqrt {21} } \over 2}\)
Bài 53 trang 123 Sách bài tập (SBT) Toán Đại số 10
Tìm các giá trị của tham số m để các phương trình sau có hai nghiệm dương phân biệt
a) x2−2x+m2+m+3=0;
b) (m2+m+3)x2+(4m2+m+2)x+m=0
Gợi ý làm bài
Phương trình bậc hai ax2+bx+c=0 có hai nghiệm dương phân biệt, điều kiện cần và đủ là:

a)
\({x^2} - 2x + {m^2} + m + 3 = 0\) có
\(\Delta ' = - {m^2} - m - 2 < 0,\forall m\). Do đó không có giá trị nào của m thỏa mãn yêu cầu bài toán.
b)
\(({m^2} + m + 3){x^2} + (4{m^2} + m + 2)x + m = 0\) có
\(a = {m^2} + m + 3 > 0,\forall m\) và có
\(b = 4{m^2} + m + 2 > 0,\forall m\), nên
\(ab > 0,\forall m\). Vì vậy không có giá trị nào của m để phương trình đã cho có hai nghiệm dương phân biệt.
Bài 54 trang 123 Sách bài tập (SBT) Toán Đại số 10
Với giá trị nào của tham số m hệ phương trình có nghiệm thỏa mãn điều kiện x > 0, y < 0?
\(\left\{ \matrix{
2x - ({m^2} + m + 1)y = - {m^2} - 9 \hfill \cr
{m^4} + (2{m^2} + 1)y = 1 \hfill \cr} \right.\)
Gợi ý làm bài
Chú ý rằng
\({m^2} + m + 1 > 0; - {m^2} - 9 < 0,\forall m\) nên nếu x > 0, y < 0 thì phương trình thứ nhất có vế trái dương, vế phải âm. Do đó không có giá trị nào của m làm cho hệ đã cho có nghiệm thỏa mãn điều kiện x > 0, y < 0.
Bài 55 trang 123 Sách bài tập (SBT) Toán Đại số 10
Tìm các giá trị của tham số m để các bất phương trình sau nghiệm đúng với mọi x
a)
\(5{x^2} - x + m > 0;\)
b)
\(m{x^2} - 10x - 5 < 0.\)
Gợi ý làm bài
a) 5x2−x+m>0,∀x
⇔Δ=1−20m<0⇔m>
\(\frac{1}{20}\)
b) Khi m = 0, bất phương trình trở thành -10x - 5 < 0 , không nghiệm đúng với mọi x.
Do đó bất phương trình nghiệm đúng với mọi x khi và chỉ khi
\(\left\{ \matrix{
m < 0 \hfill \cr
\Delta ' = 25 + 5m < 0 \hfill \cr} \right. \Leftrightarrow m < - 5\)
Bài 56 trang 124 Sách bài tập (SBT) Toán Đại số 10
Tìm các giá trị của tham số m để các bất phương trình sau nghiệm đúng với mọi x
a)
\(\frac{x^2-mx-2}{x^2-3x+4}>-1\)
b)
\(m(m + 2){x^2} + 2mx + 2 < 0\)
Gợi ý làm bài
\(\frac{x^2-mx-2}{x^2-3x+4}>-1\)
⇔x2−mx−2>−x2+3x−4
Do x2−3x+4>0,∀x
⇔2x2−(m+3)x+2>0
Bất phương trình nghiệm đúng với mọi x khi và chỉ khi Δ<0
(m+3)2−16<0
⇔−4<m+3<4⇔−7<m<1
b) +Nếu m = 0 thì bất phương trình nghiệm đúng với mọi x;
+ Nếu m = -2 thì bất phương tình trở thành – 4x + 2 > 0, không nghiệm đúng với mọi x.
+ Nếu m≠0 và m≠−2 thì bất phương trình nghiệm đúng với mọi x khi và chỉ khi

Đáp số: m<−4;m≥0
Bài 57 trang 124 Sách bài tập (SBT) Toán Đại số 10
Tìm m để các bất phương trình sau vô nghiệm
a)
\(5{x^2} - x + m \le 0;\)
b)
\(m{x^2} - 10x - 5 \ge 0\)
Gợi ý làm bài
a) Bất phương trình đã cho vô nghiệm khi và chỉ khi
\(5{x^2} - x + m > 0\) nghiệm đúng với mọi x.
\(\Leftrightarrow 1 - 20m < 0 \Leftrightarrow m > {1 \over {20}}\)
Đáp số:
\(m > {1 \over {20}}\)
b) Cần tìm m để
\(m{x^2} - 10x - 5 > 0,\forall x (1)\)
Nếu m = 0 thì bất phương trình (1) trở thành
\(- 10x - 5 < 0\) không nghiệm đúng với mọi x.
Nếu
\(m \ne 0\) thì bất phương trình (1) nghiệm đúng khi và chỉ khi
\(\left\{ \matrix{
m < 0 \hfill \cr
\Delta ' = 25 + 5m < 0 \hfill \cr} \right. \Leftrightarrow m < - 5\)
Đáp số: m < -5.
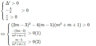
Bài 58 trang 124 Sách bài tập (SBT) Toán 10
Tìm m để các phương trình sau có hai nghiệm dương phân biệt
a) (m2+m+1)x2+(2m−3)x+m−5=0;
b) x2−6mx+2−2m+9m2=0.
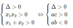
a) Phương trình đã cho có hai nghiệm dương x1, x2 phân biệt khi và chỉ khi

Vì m2+m+1>0 nên bất phương trình (1) ⇔m<32⇔m<
\(\frac{3}{2}\)
và bất phương trình (2) ⇔m>5
Do dó không có giá trị của m thỏa mãn yêu cầu bài toán
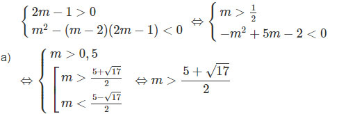
b) Phương trình đã cho có hai nghiệm dương phân biệt khi và chỉ khi

Đáp số: m > 1.
-----------------------------
Để có kết quả cao hơn trong học tập, VnDoc xin giới thiệu tới các bạn học sinh tài liệu Giải bài tập Toán 10, Giải bài tập Vật Lí 10, Giải bài tập Sinh học 10, Giải bài tập Hóa học 10 mà VnDoc tổng hợp và đăng tải.
